Abstract
Globally, climate change is inducing range shifts and expansions for numerous species. For commercially exploited species, such as those in directed fisheries, this can cause numerous issues with management and jurisdictions as the species shift and expand into areas at levels previously unseen. The black sea bass (Centropristis striata) fishery has rapidly expanded in the northern Atlantic. Over the past decade commercial landings have more than doubled in the New England and Mid-Atlantic regions. This increase is related to a northward shift in the species’ center of biomass and range expansion. There is a crucial need for increased data in this species’ northern range. Oftentimes, large-scale fisheries data collection is limited by available resources and the difficulty of collecting data at-sea. Citizen science, such as fishing industry-based Research Fleets, represent a cost-effective option to help overcome these limitations and allow for the rapid collection of large amounts of data. The Commercial Fisheries Research Foundation and Rhode Island Department of Environmental Management established the Black Sea Bass Research Fleet in 2016. The Research Fleet is composed of fishers representing a variety of gear types who collect fishery-dependent data on black sea bass at-sea on a custom tablet application. In five years, 20 captains participated in the Research Fleet and collected length, visually-identified sex, and disposition data on 40,939 individual black sea bass throughout southern New England and into the Mid-Atlantic Bight. Catch, effort, and basic environmental data from 2,288 sampling sessions have been collected alongside this biological data. We apply the collaborative Research Fleet approach to a finfish for the first time and evaluate its performance over the first five years of sampling through participant engagement, magnitude of data collection, and interest in collected data. Further, we introduce the next steps being undertaken to incorporate the collected data into the management framework. This project illustrates that a science-industry research collaboration such as the Black Sea Bass Research Fleet can consistently collect large amounts of fishery-dependent data on black sea bass, and highlights a mutual interest among fishers, scientists, and managers to expand the collection of reliable data on this important species.
1 Introduction
Worldwide, climate change is impacting the historic distribution of species through both boundary shifts and range expansions due to increased sea temperatures (Perry et al., 2005; Kleisner et al., 2017; Ojea et al., 2020). This phenomenon is dramatically apparent on the United States Northeast Continental Shelf, and specifically the southern New England region, which is expected to warm far above the globally predicted average over the coming years (Kleisner et al., 2017). Sea temperature warming, and the associated species range expansions and shifts, can cause particular concern for exploited species such as those targeted by commercial fisheries due to a plethora of socio-economic issues related to management, jurisdictions, and community resilience and dependence on specific targeted species (Ojea et al., 2020). Sustainable management of a fishery often requires broad data collection across the species range and throughout the gear types which interact with it. The need for this data is confounded when ranges shift and new gear types begin interacting with the species on previously unforeseen scales. Black sea bass (Centropristis striata) are a prime example of an important finfish fishery that is currently experiencing these issues on a large scale.
Black sea bass range along the Atlantic coast of the United States from the Gulf of Mexico to the Gulf of Maine (Moser and Shepherd, 2009). Black sea bass is managed as three separate stocks, the north Atlantic, south Atlantic, and Gulf of Mexico, with significant genetic differentiation among stocks (Roy et al., 2012). The majority of the fishery, and landings, are produced by the north Atlantic stock which ranges from Cape Hatteras to Cape Cod and can be divided into two subunits (NEFSC, 2017). The northern subunit of the north Atlantic black sea bass stock (hereafter ‘northern subunit’) is generally considered to consist of all National Marine Fisheries Service statistical areas north of Hudson Canyon (NEFSC, 2017; ASMFC, 2019a).
Commercial landings from the north Atlantic stock peaked in 1952 at 21.8 million pounds (9,888 metric tons) (ASMFC 2019b). Landings steadily declined in the following decades and reached a low in 1971 at 1.2 million pounds (544 metric tons) (NEFSC, 2017). Throughout the following four decades landings increased slightly but remained relatively steady at around 3 million pounds (1,360 tons) (ASMFC 2019b). In 2000 this stock underwent a rebuilding plan and was declared rebuilt in 2009. Spawning stock biomass has increased substantially across the region since the rebuilding plan was put into effect and after the stock was declared rebuilt; spawning stock biomass was 7,483 metric tons in 2000, 11,125 metric tons in 2009 once declared rebuilt, and most recent updates have spawning stock biomass at 22,199 metric tons in 2018 in the northern subunit (MAFMC, 2013; NEFSC, 2020). Further, there is evidence of a northward shift in the center of biomass, possibly due to climate change and warming waters (Bell et al., 2015). The bulk of black sea bass catch and landings are now coming from the northern subunit; between 2010 and 2017, commercial landings of black sea bass caught in the northern subunit increased by 11% and accounted for 58% of commercial black sea bass landings (ASMFC 2019b). The increase in biomass in the northern range of the species is likely a result of a range expansion, with suitable habitat becoming available for longer periods of time within the year and increased recruitment success in this portion of the range, as has been documented for other species such as Atlantic croaker (Micropogonias undulatus) (Hare and Able, 2007). This expansion is supported by the fact that the increased abundance in the northern subunit was not followed by a decrease in the southern subunit, where abundance has instead remained relatively stable (ASMFC 2019b). These changes in stock structure and distribution have created several challenging management issues.
The foremost management issue is the distribution of the black sea bass resource relative to historic fishing communities and the state allocations of commercial quota. Historically, more northern states, such as those in southern New England, had substantially lower allocations relative to states further south (Table 1, ASMFC 2021a). This is because allocations were based on the statewide landings in the black sea bass fishery from 1980-2001, when the fishery operated largely out of the Mid-Atlantic region (ASMFC 2021a). However, given the recent northward expansion in the biomass of black sea bass, fishing communities in the northern range of the species are interacting with the species on an ever-expanding scale (ASMFC 2021a). Fisheries in the northern range have regularly experienced short seasonal openings with high regulatory discards due to the mismatch of historically based allocations and an expanding northward range of black sea bass. This is the result of relatively low daily catch limits, for example 50 pounds per day in Rhode Island, and the magnitude of black sea bass interaction with a wide variety of gear types. Depending on the season, price, and gear type fished, many vessels catch and land black sea bass primarily as bycatch and not necessarily as a main target species. The landing of black sea bass from bycatch is particularly common within the trawl, gillnet, and lobster/crab pot fisheries. The only fisheries to consistently target black sea bass throughout the year are the fish pot and rod and reel fisheries. Recently, the MAFMC and ASMFC voted to change the state quota allocations to attempt to account for these changes in biomass distribution, with many states in the northern stock receiving increases in quota and more southern states receiving decreases (Table 1, ASMFC 2021a).
Table 1
| State | Historic Allocation | New Allocation | Change |
|---|---|---|---|
| Maine | 0.50% | 0.40% | -0.10% |
| New Hampshire | 0.50% | 0.40% | -0.10% |
| Massachusetts | 13.00% | 15.44% | 2.44% |
| Rhode Island | 11.00% | 13.06% | 2.06% |
| Connecticut | 1.00% | 3.67% | 2.67% |
| New York | 7.00% | 9.79% | 2.79% |
| New Jersey | 20.00% | 19.81% | -0.19% |
| Delaware | 5.00% | 4.09% | -0.91% |
| Maryland | 11.00% | 8.73% | -2.27% |
| Virginia | 20.00% | 15.88% | -4.12% |
| North Carolina | 11.00% | 8.73% | -2.27% |
Percent of black sea bass quota allocated to each state in the black sea bass north Atlantic stock.
Historic allocations were set in 2000 and were in place, unchanged, until the new allocations were put in place for 2022.
Management adaptation of the black sea bass stock has been hindered due to significant data gaps for the species, particularly for the north Atlantic stock (Shepherd, 2009; NEFSC, 2017). Discard characterizations, as well as expanded biological data collection within the black sea bass fishery, have been identified as top priorities (Miller et al., 2009; NEFSC, 2017; ACCSP, 2021). Further, the current assessment model for this species only differentiates between the trawl and non-trawl fishery, though several gear types are used to catch black sea bass. Biological characterization of the catch and discards within specific fisheries may help inform biological reference points, reduce the overall uncertainty in the stock assessment, and allow for more representative management of the black sea bass stock. Despite the need for expanded biological data collection and catch and discard characterizations, there have been no regional or coastwide efforts to increase monitoring of the species. One alternative to expand data collection and obtain critically needed data to help fill in these gaps in our knowledge is to engage the fishing community through citizen science.
The application of citizen science has expanded rapidly in recent decades. Across the United States, and globally, there are a multitude of examples of data collected by citizen scientists having direct impacts on the formation or alteration of policy and the advancement of science (Bonney et al., 2009; Dickinson et al., 2012; Aceves-Bueno et al., 2015). The strength of citizen science often lays in the broad reach of data collection, creating a data stream so spatially expansive it would generally be cost-prohibitive from a traditional monitoring survey standpoint (Tulloch et al., 2013; Goldstein et al., 2014; Thiel et al., 2014; Theobald et al., 2015). Citizen science has been applied to track the presence of invasive species, detect range shifts for a variety of species in response to climate change, track movement and migration of species across state and international boundaries, and among many other uses, monitor the spread of diseases (Dickinson et al., 2012).
The confluence of citizen science and fisheries science is less common than between other fields, as the logistics of sampling at-sea are difficult for many who lack a platform and experience with at-sea work (Gawarkiewicz and Malek Mercer, 2019). To address this issue, a variety of citizen science-based models for fishery data collection have been piloted and employed across the United States and globally. One such approach is the Research Fleet model, which was first developed for crustaceans (the Lobster and Jonah Crab Research Fleet was established in 2013; Mercer et al., 2018; Gawarkiewicz and Mercer, 2019). The Research Fleet approach leverages the time on the water of the commercial fishing industry to collect targeted fishery-dependent-data for assessment and management of species in a cost-efficient manner (Mercer et al., 2018). It accomplishes this by using modern technology that enables the efficient collection of data at-sea through a tablet application (Mercer et al., 2018; Gawarkiewicz and Malek Mercer, 2019). Importantly, Research Fleets represent a collaborative, rather than cooperative, approach to data collection (Wendt & Starr 2009). Research Fleet participants retain joint ownership of data and provide input on project development, and this transparency fosters a high level of trust and mutual interest in project results (Mercer et al., 2018). Importantly, Research Fleet participants are compensated for data collection with a monthly sampling stipend. The stipend acknowledges the high opportunity cost of collecting fishery dependent data at-sea as well as the high threshold barrier (permits, crew, vessels, fuel, etc.) to participate in fisheries science.
There is still apprehension about utilizing fishermen as citizen scientists on both the management and industry side. Managers are often hesitant to apply data collected from fishermen due to the potential of a conflict of interest (Bonney et al., 2021). Further, fishermen are often hesitant to collect and self-report data, due to the fear of unintentionally providing data that is used to impose stricter regulations (Ebel et al., 2018). Self-reported discard data is one of the most contentious as fishermen are generally concerned any reported discards will be held against them when setting possession limits and quotas (Bell et al., 2017). However, accurate discard estimations are critical for proper fishery management through informing stock assessments about those portions of the population removals (Punt et al., 2006; Aarts and Poos, 2009). Despite these hesitations, data from the Lobster and Jonah Crab Research Fleet was incorporated into the 2020 American Lobster Stock Assessment (Gawarkiewicz and Malek Mercer, 2019; ASMFC, 2020), and additional data will be utilized in the upcoming Jonah Crab Benchmark Stock Assessment (ASMFC 2021b). In addition, self-reported discard data from the NEFSC Cooperative Research Study Fleet was found to produce similar results when compared to fishery-dependent data collected by scientists, further suggesting that such data could be used to accurately characterize fishery discards and to inform management (Bell et al., 2017).
To collect critically needed black sea bass data from a wide variety of commercial fisheries in the southern New England and Mid-Atlantic Bight regions, a black sea bass Research Fleet (hereafter Research Fleet) was established in 2016 by the Commercial Fisheries Research Foundation (CFRF) and the Rhode Island Department of Environmental Management Division of Marine Fisheries (RIDEM). This Research Fleet aimed to adapt the Research Fleet model to a finfish species for the first time. Data collection by the Research Fleet was targeted to address the needs of management and uncertainty in the assessment to characterize the composition of black sea bass caught by various gear-types that interact with the species. The goal of this paper is distinctly different from the goals of the Research Fleet. The information presented herein is intended to provide an outline of the methods used to establish the Research Fleet as well as provide a vetted framework for implementing a similar citizen science strategy applicable to other climate change induced species management issues. This study will evaluate the effectiveness of the citizen-science based Research Fleet to answer the following questions: 1) Can the Research Fleet model be adapted for the multi-gear black sea bass fishery? 2) Can a fishermen-based citizen science Research Fleet consistently collect biological fishery-dependent data from their black sea bass catch and discards? And 3) Will the self-reported discard data collected by the Research Fleet program be useful for fisheries managers and assessment scientists and what must be done for the data to be incorporated into management decisions?
2 Materials and methods
The first step towards launching the Black Sea Bass Research Fleet and addressing the research questions noted above was the formation of a project steering committee. The project steering committee brought together a group of stakeholders from the fishing industry, management community, and fisheries scientists. The steering committee met numerous times to strategize the role of the Research Fleet and which data sources would be most valuable to the assessment and management process. Managers and fisheries scientists discussed specific data needs in the black sea bass stock assessment and industry members provided input on the feasibility of fishery-dependent data collection while at-sea. Collaboratively, the steering committee settled on what was believed to be the most logistically feasible and scientifically impactful data parameters to be collected by the Research Fleet; catch and discard characterization derived from disposition (retained for sale or discarded), individual total length, and visually identified sex collected in tandem with simple gear -specific effort metrics. At-sea sampling protocols to collect the chosen parameters were then developed alongside the steering committee to ensure the protocols would produce data of the quality envisioned by fisheries scientists and managers that fully utilized the time on the water of at-sea citizen science fishermen. The at-sea sampling protocols were designed to be minimally intrusive on the commercial fishing operations of participating vessels while addressing the data gaps in the stock assessment by collecting gear-specific discard characterizations.
The sampling protocols and associated data parameters can be divided into two components: individual black sea bass, and sampling sessions. It was decided that each individually sampled black sea bass would be measured for total length (cm), visually sexed (male, female, and unknown), and disposition status (retained and discarded) recorded. Alongside this biological data collected per individual black sea bass, catch and effort metrics, as well as basic environmental data, are recorded for each sampling session, which is defined as one discrete gear haul from a unique location in time and space. Due to the unique multi-gear nature of the black sea bass fishery, the Black Sea Bass Research Fleet required adaptation from the original Research Fleet model, as described by Mercer et al., 2018, to include vessels from multiple, rather than a singular, gear types. This required a broader definition of a sampling session relative to the original Research Fleet model and allowed for standardized effort data collection across multiple gear types. As a result, unique effort metrics were identified for each gear type that regularly interacts with black sea bass (Table 2). Data parameters for both individual fish and sampling session data were aligned with the Atlantic Coastal Cooperative Statistics Program (ACCSP), which serves as the federal data repository for fishery data on the east coast of the United States, to allow for streamlined transfer to state and federal managing agencies. To collect the chosen data parameters at-sea, the CFRF followed the original Research Fleet model and developed a tailored tablet application (On Deck Data) for data collection and an online database to allow for wireless data transmission (Mercer et al., 2018).
Table 2
| Bottom Otter Trawl | Sink Gillnet | Comm. R&R | Charter | Lobster Pot | Fish Pot |
|---|---|---|---|---|---|
| Mesh size (in.) | # of panels per string | Time fishing (hours) | Time fishing (hours) | Soak time (days) | Soak time (days) |
| Tow time (hours.decimal) | Length of net panels (feet) | # of rods fished | # of rods fished | # of traps | # of traps |
| Sweep length (feet) |
Mesh size (in.) | # of hooks used | # of hooks used | Escape vent size (in.) | Escape vent size (in.) |
| Soak Time (days) | Escape vent shape | Entrance size (in.) | |||
| Net Height (Feet) | |||||
| Tie Downs (Inches) |
Effort metrics collected for each gear type in the Research Fleet.
Users have the option to select “other” gear if none of the six above gears were used to catch black sea bass (such as oyster aquaculture gear and commercial whelk pots). Comm. R&R stands for Commercial Rod and Reel.
Prior to commencement of Research Fleet sampling, power analyses were performed to estimate the total number of sampling events and total number of black sea bass to target each sampling event each month to maximize the scientific power of collected data. Analysis was completed using data provided from the RIDEM state trawl and ventless fish pot surveys. The power analyses were run using R statistical software (ver.3.2.4). The function used was power.t.test from the stats package in R. The function was configured by using the calculated standard deviation from each data group, an effect size value (Δ) as defined in the data section above, a significance value (α) = 0.2, a power value = 0.8, and defining the analysis as a one sample test. The default method for the function is to run a two tailed test, so the default was used in these analyses. Based on results from the power analysis, the sampling protocols were modified to request that participants sample 50 discarded black sea bass from commercial catch from three unique sampling sessions per month for up to a total of 150 black sea bass sampled per month to reach the desired statistical power.
With defined at-sea sampling protocols, pre-determined sampling targets, and a data collection tablet application in development, the CFRF and RIDEM announced a public application period for interested Research Fleet participants. The application announcement was advertised among local Rhode Island industry through the CFRF and RIDEM email list-servs for fishing industry members, physical postings at local docks, and by word of mouth. The CFRF reviewed all applications and picked top choice candidates based on establishing a Research Fleet which covered the major fisheries interacting with black sea bass, as a target species or bycatch, in the southern New England and Mid-Atlantic Bight region and number of days fished per year.
All data is collected at-sea from commercial fishing trips by the participating Research Fleet vessel’s captain and/or crew using On Deck Data. When gear is hauled from a unique location in time and space, and black sea bass is present in the catch, a sampling session is initiated by a fisherman in On Deck Data. Once the session has begun, the date, time, and latitude and longitude are automatically pulled from the tablet’s internal clock and global positioning system. The area fished is described by the associated statistical area used in assessments (NOAA NEFSC, 2020), bottom water depth, and bottom habitat type classification (hard, soft, or structure). Next, the user selects a gear type and records the accompanying gear specific effort metrics (Table 2). If black sea bass are not the target species, then the target species is selected from a preset list or is typed in manually. After this data has been entered, users are brought to the biological sampling screen where Research Fleet members record data for individual black sea bass [total length (cm), visually identified sex (male, female, or unknown), and disposition (kept, discarded)]. After all black sea bass are sampled for the session, users finish the sampling session by entering catch data; members have the option to record the total number of black sea bass retained and the total number of black sea bass discarded for the gear haul or, alternatively, record the total estimated hail weight of the total black sea bass catch. Ideally, Research Fleet members repeat the sampling session steps described above three times per month, recording 50 black sea bass per session to hit the target of 150 black sea bass sampled monthly. While sampling within a sampling session, Research Fleet members first target sampling all black sea bass that will be discarded. Due to the catch rates of some gear types, catching 50 discarded black sea bass per sampling session (as described above) may not be a common occurrence. If there is an insufficient number of discarded black sea bass caught per sampling session, retained black sea bass may be randomly sampled as the fish comes on board during the sampling session until the target of 50 is reached. Further, and to encourage more regular sampling from the Research Fleet, the “other” gear type option was added to On Deck Data. Many of the fishing vessels operating within the Research Fleet fish multiple gear types throughout the year, all of which interact with black sea bass at some point during the year. Feedback from Research Fleet members indicated a desire to continue sampling for the Research Fleet when operating in gear types outside of what was included in On Deck Data. However, updating the application for every gear type desired was cost prohibitive and since the “other” gear types are utilized less frequently, the steering committee decided it was best to allow for Fleet Members to select “other” but not include any effort metrics as it would be difficult to collect in an easily quantifiable way. Instead, the CFRF just requests Fleet Members to include a note alongside submitted data which fishery the vessel was operating within when data is recorded with an “other” gear type.
All data collected by the Research Fleet is stored in the tablets until uploaded through wireless internet. Once uploaded, the data is removed from the tablet automatically to save space and is entered directly into a database operated by the CFRF. The CFRF routinely audits data for inconsistencies and errors. Research Fleet members are compensated through a monthly stipend system to cover time spent sampling; the total monthly sampling stipend amount is set by the CFRF after consultation with the project Steering Committee and the CFRF Board of Directors and is based exclusively off the number of black sea bass sampled in a month. Sampling requirements must be fulfilled to be eligible to receive a stipend each month; if sampling targets are not met within any given month; Research Fleet Members may be eligible for a reduced stipend if partial sampling was completed. For example, a full stipend will be paid out if more than half of the sampling target is sampled in a month, while a half stipend will be paid out if less than half (but more than zero) black sea bass are sampled. If no sampling was completed within a month, the Research Fleet Member is ineligible for a sampling stipend for that month. All sampling stipend decisions and payouts are verified against the number of black sea bass sampled with accompanying data submitted to the CFRF via the data collection application On Deck Data, for a stipend to be paid out the Fleet Member must first collect and submit the data to the CFRF. Beyond the time commitment required to sample during commercial fishing trips, Research Fleet members are also asked to attend annual Research Fleet meetings to discuss trends in the fishery over the past year and review all the collected data. The CFRF distributes data reports back to all Research Fleet members, alongside copies of the raw data individually collected, quarterly. All fishermen participating in the Research Fleet retain joint ownership of their own collected data with the CFRF and RIDEM.
The CFRF worked directly with lead data coordinators at the ACCSP to establish data submission protocols for Research Fleet collected data. Collected data was agreed to be submitted to the black sea bass biosamples database, which serves as the primary biological data repository for the black sea bass stock assessment. Data formats and parameters were agreed upon to allow for seamless incorporation in the existing black sea bass biosamples database. Data submission occurs biannually, with the first submission occurring in June 2017. Since the initial data submission, the CFRF has submitted data every six months with any newly collected black sea bass data. Specifically, the CFRF submits every individually measured black sea bass total length alongside visually determined sex, disposition, latitude and longitude of the gear haul, gear type, soak time, depth, and statistical area. After the methods to develop, support, and distribute data collected by the Research Fleet were established, protocols to track the implementation of the Research Fleet and monitor sampling were devised. Data requests for Research Fleet collected data submitted to the ACCSP may be made directly through the ACCSP (https://accsp.org). Requests must be made through the ACCSP data request form and reference the program ID “cfrfbsb.”
All data was analyzed using R and R Studio (R, 2021). Sampling rates were calculated fleet wide for each of the five years of sampling. Sampling rates were calculated three ways; annual sampling rate, fished sampling rate, and interaction sampling rate. To calculate annual sampling rate, presence or absence was assigned for each month for each vessel in the Research Fleet if black sea bass samples were recorded or not. The total number of months with presence of samples each year divided by the total number of possible sampling months for the entire Fleet through the sampling year. For example, year-1 of sampling had eight active Research Fleet members potentially sampling from 12 months which would equal 96 total possible sampling months. To calculate fished sampling rate, each Research Fleet member provided the months which they actively fish each year. If the Fleet member did not fish year-round, the months where the Fleet member did not fish were removed from the total possible sampling months. In the above example, where year-1 had 96 total possible sampling months from eight Research Fleet members, the actual total possible sampling months would be reduced to 80 possible sampling months if half of the Research Fleet only fished eight months out of the year and the other half of the Fleet fished year-round. Finally, since black sea bass is a seasonal fishery for many of the Research Fleet members, Fleet members also provided the months in which black sea bass are encountered regularly as either a target species or as bycatch, this was used to calculate the interaction sampling rate. Every month where black sea bass was not expected to be caught as either a target species or as bycatch was removed from the total possible sampling months. For example, in the second example above for calculating the fished sampling rate in year-1, if the four vessels that fish year-round only expected to encounter black sea bass eight months out of the year and the four vessels that only fish eight months out of the year expect to interact with black sea bass every month fished, then the total possible sampling months would equal 64.
To further evaluate the consistency of data collection by the Research Fleet, preliminary exploration of the data was conducted. Discard ratios and size selectivity within the Research Fleet as well as between gear types were established. Gear-specific total length characteristics of black sea bass recorded by the Research Fleet were also investigated. Data was analyzed separately between discarded and commercially retained fish to further explain how discard characteristics vary between gear types. Finally, to evaluate the usefulness of Research Fleet collected data to assessment scientists and fishery managers, the acceptance of Research Fleet data into federal data repositories and data requests submitted and fulfilled were evaluated.
3 Results
The Research Fleet was officially launched in December 2016 with a project kickoff meeting for all new Black Sea Bass Research Fleet members. The newly formed Research Fleet included eight fishing vessel captains and/or owners representing 10 different vessels from six unique gear types. Two of the new members were the owners and operators of two vessels. Over the course of multiple years of operation, the Research Fleet has since grown to up to 20 total members representing eight gear types (Table 3). Vessels are considered inactive if the captain retires from fishing, the vessel is out of the water for an extended period for repairs, or no data is collected over a 12-month span. Inactive vessels may still retain their spot in the Research Fleet if desired. The Research Fleet has advertised open positions to the industry on three separate occasions over the past five years of operation. Every application announcement garners substantial interest from the industry with an excess of applications being received from each announcement. Nineteen vessels have had to be turned down from joining the Research Fleet due to lack of funding.
Table 3
| Gear Type(s) Sampled | Dates Active (MM/YY) |
|---|---|
| Commercial Rod and Reel, Fish Pots, Lobster Traps | 05/17 – 08/21* |
| Charter, Commercial Rod and Reel | 07/17 – 12/21* |
| Commercial Rod and Reel, Fish Pots, Gillnet, Lobster Traps | 12/16 – 06/20 |
| Trawl | 12/16 – 12/18 |
| Trawl | 11/16 – 06/17 |
| Conch Pots, Fish Pots, Lobster Traps, Trawl | 05/17 – 01/22* |
| Gillnet, Fish Pots, Lobster Traps | 07/17 – 10/20 |
| Charter, Commercial Rod and Reel, Oyster Aquaculture, Lobster Traps, Trawl, | 12/16 – 12/21* |
| Lobster Traps | 02/18 – 05/20 |
| Trawl | 03/19 – 05/22* |
| Fish Pots, Other | 07/19 – 09/21* |
| Commercial Rod and Reel, Gillnet, Fish Pots | 06/17 – 07/21* |
| Gillnet, Fish Pots, Lobster Traps | 10/19 – 11/20 |
| Lobster Traps | 12/19 – 12/21* |
| Trawl | 12/19 – 04/21* |
| Lobster Traps | 05/21 – 04/22* |
| Fish Pots | 05/21 – 05/22* |
| Fish Pots | 04/21 – 08/21* |
| Fish Pots | 06/21 – 05/22* |
| Fish Pots | 05/21 – 05/22* |
All Black Sea Bass Research Fleet members, the gear types sampled, and the dates active in the Research Fleet.
Dates are updated through May 2022. Asterisks (*) denote Research Fleet members that are considered active as of this date. Each line represents a single participant.
The Research Fleet has individually sampled 40,939 black sea bass over a five-year span from December 1, 2016 through December 31, 2021 with most of the sampling occurring between the months of May and November annually (Figure 1). The individual black sea bass were sampled through 2,288 distinct sampling sessions. Over the span of the five years of data collection, this represents a mean sampling rate of 49%. Sampling rates, cumulative and adjusted for months fished and months interacted with black sea bass displayed above in Table 4. The sampling rate by the Research Fleet was substantially higher (61% mean sampling rate) when analyzed by the months in which black sea bass is interacted with as bycatch or target species.
Figure 1

Minimum, maximum, and average number of black sea bass sampled per month by the Research Fleet across all years of sampling.
Table 4
| Year | Annual Sampling Rate | Fished Sampling Rate | Interaction Sampling Rate |
|---|---|---|---|
| 2017 | 56% | 62% | 72% |
| 2018 | 48% | 53% | 59% |
| 2019 | 51% | 55% | 60% |
| 2020 | 40% | 45% | 52% |
Sampling rates and adjusted sampling rates from the Black Sea Bass Research Fleet over the four years of data collection.
Sampling rates displayed are the cumulative average of all vessels active through each year. Fished sampling rate represents are calculated based on the total number of months fished each year provided by each Research Fleet participants whereas Interaction Sampling Rate is the provided total number of months each Research Fleet participant interacts with black sea bass as catch or discards during their months fished.
Overall, the Research Fleet interacts with the entire size range of black sea bass with total length records as small as 1 cm to as large as 63 cm (Figure 2). The mean total length recorded by the Research Fleet (31.5 cm) is well above the 11-inch (27.94 cm) Rhode Island commercial minimum size. Of the 40,939 total recorded black sea bass, 29,199 fish, or 71%, were discarded with the remaining 11,740 fish, or 29%, retained for commercial sale. Black sea bass are discarded throughout the entire recorded size range by the Research Fleet (Figure 3). Discarding legal, including even the largest black sea bass with the highest ex-vessel price, is a common occurrence within the Research Fleet with 12,132 fish, or 42%, of all discarded black sea bass being above the Rhode Island minimum legal commercial size.
Figure 2

Frequency plot of black sea bass total length (cm) records (n=40,939). Dashed line indicates the Rhode Island minimum size of 11 inches (27.94 cm).
Figure 3

Frequency plot of black sea bass total length (cm) records (n=40,939) shaded by disposition status; dark shaded area represents discarded black sea bass while the light shaded area represents retained black sea bass. Black dashed line indicates the Rhode Island minimum size of 11 inches (27.94 cm).
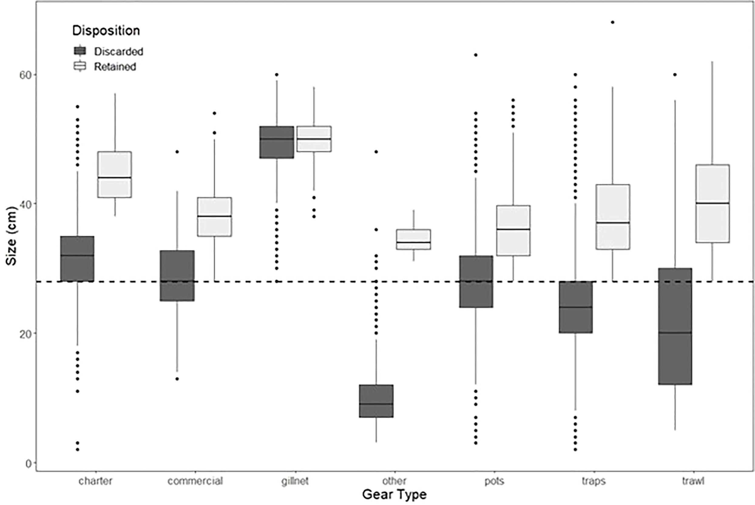
All gear types except, oyster aquaculture, discarded and retained black sea bass whereas all black sea bass caught in oyster aquaculture gear were discarded. Fish pot, lobster trap, rod and reel, and trawl all retained black sea bass from a similarly large range of total lengths with black sea bass total lengths ranging in size from just over the commercial minimum at 28cm to as large as 62cm (Figure 4). Gillnet gear retained black sea bass only from the largest of size classes with all retained black sea bass falling within a range of 38cm to 58cm total length. Conch pot retained a similarly small range of black sea bass as gillnet however it was on the other end of the size range and only included black sea bass just over the commercial minimum size ranging from 30cm to 48cm total length (Figure 4). Of the discarded black sea bass, fish pot, lobster trap, rod and reel, and trawl discarded a wide range of sizes. Oyster aquaculture and conch only discarded the smaller size ranges of black sea bass whereas gillnet was still on the other end of the spectrum, discarding only the largest of individuals of all gear types.
Figure 4

Median total length of black sea bass recorded by the Research Fleet in each gear type; dark boxes represent discarded black sea bass and light boxes represent retained black sea bass. Black dashed line indicates the Rhode Island minimum size of 11 inches (27.94 cm). Other includes oyster aquaculture and conch pots. Charter refers to for-hire recreational vessels, commercial indicates commercial rod and reel, gillnet is exclusively sink gillnet (large and small mesh), pots refer to fish pots, traps cover the mixed lobster and crab pot fishery, and trawl is exclusively bottom otter trawl gear.
To date, all the data collected by the Research Fleet has been incorporated into the ACCSP biosamples database on the agreed upon biannual timeframe, and the commercial length and disposition data will be utilized in the upcoming black sea bass stock assessment. Beyond the direct submission and acceptance of Research Fleet collected data into the ACCSP biosamples database, the Research Fleet has also served as a valuable source of data for other regional efforts to manage and study the species. Predominately, the Research Fleet data has been used directly by RIDEM, including using the data to investigate the seasonal presence of larger black sea bass in inshore state water with potential management implications for altering the seasonal start of the fishery, as well as a length frequency supplement to the Rhode Island state trawl survey. Further, The Nature Conservancy has used Research Fleet data to cross-validate electronic monitoring collected data on vessels which participate in both the Research Fleet and an electronic monitoring project. The Research Fleet has provided a platform for the collection of black sea bass samples for laboratory work for multiple organizations. For example, the Massachusetts Division of Marine Fisheries used otoliths collected by the Research Fleet sample collection program in a published study that validated aging methods for black sea bass across regions (Koob et al., 2021). Northeastern University also utilized the Research Fleet to assist in whole specimen and tissue sample collections from southern New England for genetic work to compare origin of black sea bass in mid-coast Maine to northern Massachusetts and southern New England. In addition, the Research Fleet has provided over 2,400 otoliths to the largest black sea bass otolith aging database run by the Virginia Institute of Marine Science. Finally, the Research Fleet has also collected live black sea bass to support various graduate level projects at the University of Rhode Island to investigate ex-situ predation of Jonah crab and lobster by juvenile black sea bass as well as stable isotope ratios and trophic overlap with cod.
4 Discussion
Overall, the adaptation of the Research Fleet model to collect critically important catch and discard data from the rapidly expanding, multi-gear black sea bass fishery has been a success, and this approach can be applied to help fill in data gaps for other commercially important species that have been traditionally under sampled and/or species that are undergoing range shifts or expansions. The ability to consistently collect black sea bass catch and discard data from a citizen science Research Fleet model is proven by the fact that the Research Fleet has been able to measure and record data from over 40,000 individual black sea bass in the span of five years. The initial hesitation from industry members to self-report discard data was calmed through the collaborative nature of the Research Fleet. Close communication with stock assessments scientists at RIDEM and federal agencies allowed industry members participating in the Research Fleet to fully appreciate and support the utility of the data collected and allowed for a first-hand perspective of how the data might allow for better management of the species. From the beginning, the CFRF and RIDEM were able to communicate to industry partners a shared project goal of more successful management of the black sea bass fishery. This is evidenced by the interest the Research Fleet has garnered by the local industry. Every open application period has received more applications than open slots and a wait-list of interested industry vessels is maintained for when new slots in the Research Fleet are available.
The success of the Research Fleet was accomplished by maintaining a close working relationship with the Research Fleet members and scientific community and being responsive to suggestions from both parties. The close working relationship serves as an opportunity to build trust amongst all stakeholders and is a significant motivator to encourage industry participation in citizen science (Ebel et al., 2018). Due to the multi-gear nature of the black sea bass fishery, it was critically important for the data collected to be applicable to each gear type but also useful to management and science. To accomplish this, the CFRF worked closely with commercial fishermen on the project steering committee and on the CFRF Board of Directors to develop data parameters which made sense to collect from each gear type. Further, the CFRF worked with fishery managers on the steering committee to plan the biological fields to collect from individual fish as well as protocols for which black sea bass should be sampled. Direct input from the steering committee members is what determined the various data fields collected to describe the sampling session, effort, and black sea bass catch.
During Research Fleet operation, it became apparent that the On Deck Data application must be a dynamic product that can be updated to accommodate feedback from the Research Fleet participants. Close contact with Research Fleet members creates a constant stream of feedback on performance of the sampling application and tablet and allow for the Research Fleet sampling to become ever more efficient while preserving the consistency and quality of the data being recorded. For example, due to comments received after the first year of data collection about how frequently large numbers of similarly sized black sea bass were caught, On Deck Data was updated to include a “quantity” field that allows users to efficiently record multiple black sea bass of the same total length, sex, and disposition status at once. The intention of incorporating Fleet Member feedback into the sampling process and On Deck Data was primarily to streamline sampling, however it also had an arguably more important impact on the overall success of the Research Fleet; increasing stakeholder buy-in through the integration of their knowledge directly into the protocols of the project. Willingness to listen to feedback and incorporate it into the design of the project can go a long way to building trust among stakeholders (Hartley and Robertson, 2009), it signals that participation within the Research Fleet has a positive impact over time and shows a respect for one another’s opinions.
One major component contributing to the success of the Research Fleet was encouraging equitable participation among gear types. The original Research Fleet model was first developed for directed lobster and crab fisheries. However, with the goal of the Research Fleet being the characterization of discards from various commercial gear types, the threshold for participating in the Research Fleet and receiving a sampling stipend needed to be adjusted. Due to differing catch rates between gear types, sampling requirements to receive the stipend were relaxed to allow for more equitable participation. For example, commercial rod and reel/charter are highly mobile throughout the day and will often cover many unique locations throughout a single day of fishing and likewise will catch significantly less black sea bass per location compared to other gear types such as trawl. As a result, this prohibits some vessels from sampling 50 black sea bass per session due to the gear type and fishery the vessel operates within. To address this issue, the requirement to qualify for the monthly sampling stipend was changed to only consider total number of black sea bass sampled per month.
As each year of data collection passed the Research Fleet persisted with success, however the consistent collection of catch and discard data presented some unique challenges. Maintaining a high sampling rate was a difficult task. First, the black sea bass fishery is highly seasonal. In addition, unlike the original Lobster and Jonah Crab Research Fleet, the Black Sea Bass Research Fleet includes data collection from several gear types which, despite catching and landing black sea bass, are not primarily targeting the species during much of their fishing effort. Expanding on this issue, in some cases vessels are actively trying to avoid catching black sea bass because the vessel’s daily quota may already be filled, the season may be closed, or it would impact the vessel’s catch of primary target species. This resulted in a large amount of uncertainty in the anticipated sampling rates; as a result, sampling rates were lower than anticipated, however this created opportunity to regularly add new Research Fleet members and increase the number of gear-type replicates in the Research Fleet. The lesson learned from the highly variable sampling rates from year to year and between different gear types was a common one; to manage expectations. The expectation of a 100% sampling rate by the Research Fleet is not an attainable goal considering the rate at which various gear types operate within a fishery. Further, being receptive to the fact that participant Fleet Members’ primary responsibility while on the water is the operation of their business; the goal of Research Fleet sampling design should be to fit smoothly within that normal operation.
The seasonality of the fishery is evidenced by the Research Fleet’s variable average samples collected throughout the year (Figure 1). For example, the Research Fleet regularly exhibits large pulses in data collection in the summer and fall due to the increased presence of black sea bass inshore during these months, as well as the active status of seasonal fishing vessels, such as those using fish pot gear. Interestingly, the dip in average black sea bass sampled in August (Figure 1), when black sea bass are in greatest abundance inshore, is likely a result of seasonal closures. Many of the vessels in the Research Fleet are homeported in the state of Rhode Island which typically closes the commercial fishery for black sea bass in August. This results in several vessels reducing their fishing effort in the month of August. Closure of the fishery in August impacts fish pot vessel sampling activity more so than other gear types as black sea bass is one of their primary target species whereas most other gear types commonly have other species as the primary target. Sampling rates are then punctuated by dips in data collection through the winter and spring, as this is when black sea bass migrate further offshore and seasonal vessels conclude their fishing seasons (Moser and Shepherd, 2009) so we witness a smaller pool of Research Fleet vessels interacting with a smaller pool of black sea bass depending on gear type and area fished. This period of the year is dominated by samples from gear types such as trawl gear, of which the Research Fleet has fewer replicates compared to gear types such as fish pots and lobster/crab traps; this was an intentional decision as steering committee members identified the “non-trawl” fishery to have the largest need for additional data sources.
The self-reported data collected by the Research Fleet has proven to be useful to fisheries managers and scientists. This is evidenced by the fact that Research Fleet data has been accepted, and continues to be accepted, into the black sea bass biosamples database at the ACCSP and will be used in the upcoming stock assessment. Research Fleet collected data is now housed alongside traditional state and federal trawl survey data used in the stock assessment process making it available for use. For any new data source, such as the Research Fleet collected data, to be used within the stock assessment it must be verified against existing fishery independent or dependent data sources. That exact work is currently being done (Verkamp personal communication) for the Research Fleet as part of the 2022 black sea bass research track stock assessment. Research Fleet collected length and disposition data will be compared against data collected from the Northeast Fisheries Observer Program from vessels of comparable gear types. The process to assess the reliability of Research Fleet collected data is not new and will follow a similar set of principles laid out by Roman et al., 2009 which compared a similar, federally funded, industry collected data source; the Study Fleet, to Northeastern Fishery Observer Program data and seafood dealer data reported to the National Marine Fisheries Service. Beyond that, the inquiries and data requests received from The Nature Conservancy and RIDEM Division of Marine Fisheries have shown that the self-reported discard data can be used in other avenues outside of direct application to the stock assessment. The operation and stability of the Research Fleet over the past five years has allowed other regional researchers access to biological samples which may have been too costly to obtain without a direct connection to the industry.
The strength of the Research Fleet is the ability to leverage the time on the water of commercial fishermen to rapidly collect large amounts of data throughout the year over a large spatial scale. Traditional state and federally operated surveys will always serve a vital role in assessing and managing fisheries, however there are limitations to those data sources. For example, in the context of black sea bass, due to the species’ association with structured habitats, black sea bass are poorly sampled by standard trawl surveys (Waltz et al., 1979; Steimle et al., 1999; Drohan et al., 2007; DeCelles et al., 2013). In addition, the limited coverage of black sea bass habitat and semi-seasonal (spring/fall) sampling schedule of the NEFSC trawl survey limit the suitability of this data for the stock assessment (ASMFC 2013). Mobilizing a citizen science-based Research Fleet can help fill data gaps that arise from traditional surveys, such as discard characterizations provided by the Black Sea Bass Research Fleet that can help reduce uncertainty in assessment results. A similar approach could be applied to other species in need of additional data sources for assessment and management, and this approach could be especially helpful for fisheries/species that are expanding at a rapid rate that outpaces the rate at which traditional state and federal surveys can adjust to compensate for such changes.
Further, through active participation and collaboration in the data collection process, the Research Fleet helps build trust between the fishing and management communities. Finally, the Research Fleet has provided resiliency to our fisheries management network. Throughout the year of 2020, numerous state and federal fisheries independent sampling surveys were postponed or had seasonal survey windows cancelled as a result of the COVID-19 pandemic. Although the pandemic certainly resulted in decreased fishing effort, the sampling rate remained consistent within the Research Fleet. Maintaining a consistent flow of fishery-dependent data, which can be quickly tailored and targeted for specific data gaps that arise from unforeseen circumstances can improve the fisheries management process and help build more resilient fisheries coastwide.
The development and implementation of the Research Fleet followed a similar set of principles for citizen science as described by Bonney et al. (2009). The first three steps; forming a scientific question, establishing a project team, and developing/refining data collection protocols were conducted early on in this Research Fleet project through the formation of a project steering committee of industry members, scientists, and managers. The project steering committee developed the scientific question; are there differences in the black sea bass discard characteristics between commercial gear types? Afterwards, the project steering committee assisted in the development of sampling protocols for the Research Fleet. Once the general outline of the Research Fleet duties was established, participants were recruited and trained through a public call for applicants and review by the project steering committee. The CFRF staff then trained selected citizen scientists in the sampling protocols and the Research Fleet was launched. The final steps outlined by Bonney et al. (2009) have been an ongoing task throughout the project; accept and edit data, analyze data, disseminate results, and measure outcomes. These steps have been completed through consistent fishery-dependent data collection by the Research Fleet, data management by the CFRF, submission of data biannually to the ACCSP, quarterly reports and communication delivered to Research Fleet participants, and presentation of project findings at conferences and meetings.
Overall, CFRF and RIDEM were able to adapt the Research Fleet model for the multi-gear black sea bass fishery to consistently collect fishery-dependent data on black sea bass catch and discards by following the steps of successful citizen science. The citizen scientists participating in the Research Fleet were able to consistently collect fishery-dependent biological data from their black sea bass catch and discards for over five years and counting. Finally, the data collected by the Research Fleet has already proven to be useful to outside fisheries scientists and will be incorporated into the black sea bass stock assessment after verification against other fishery dependent data sources currently in use (Verkamp personal communication). This latest adaptation of the Research Fleet concept highlights the willingness of fishers to participate in science when given the opportunity to contribute in a meaningful way, and the data collected by the Research Fleet represents a significant contribution to black sea bass data sources available for stock assessment and to inform management. This collaborative effort was a success due to the reliance on stakeholder input throughout the project as well as the commitment to the transparency of data collection and use among fishing industry, management, and scientific stakeholders. The incorporation of modern technology to capitalize on fishermen’s time at-sea during commercial fishing trips, streamlined to make data collection as efficient and minimally intrusive as possible, allowed the Black Sea Bass Research Fleet to provide high quality, self-reported data throughout the first five years of sampling. Continued sampling by the Research Fleet will continue to increase the impact of this collaborative initiative.
Statements
Data availability statement
The original contributions presented in the study are included in the article/supplementary material. Further inquiries can be directed to the corresponding author.
Author contributions
TH and JM contributed to the original design of the Research Fleet and HV and NB have expanded on and supported the Research Fleet after its inception. TH is the primary author and HV provided significant input and edits on the manuscript while JM and NB also reviewed and edited the manuscript. All authors contributed to the article and approved the submitted version.
Funding
Funding for the Research Fleet has been provided by NOAA Award #NA16NMF4740182 and NOAA Award #NA16NMF4740181.
Acknowledgments
The authors would like to thank all the commercial fishing vessels, captains, and crewmembers that have participated in the Research Fleet over the years, without their dedication to improving their fisheries this work would not have been possible. The authors would also like to thank Anna Mercer for being the original project initiator and securing funding to begin the Research Fleet.
Conflict of interest
The authors declare that the research was conducted in the absence of any commercial or financial relationships that could be construed as a potential conflict of interest.
Publisher’s note
All claims expressed in this article are solely those of the authors and do not necessarily represent those of their affiliated organizations, or those of the publisher, the editors and the reviewers. Any product that may be evaluated in this article, or claim that may be made by its manufacturer, is not guaranteed or endorsed by the publisher.
References
1
Aarts G. Poos J. J. (2009). Comprehensive discard reconstruction and abundance estimation using flexible selectivity functions. ICES J. Mar. Sci.66, 763–771. doi: 10.1093/icesjms/fsp033
2
Aceves-Bueno E. Adeleye A. S. Bradley D. Tyler Brandt W. Callery P. Feraud M. et al . (2015). Citizen science as an approach for overcoming insufficient monitoring and inadequate stakeholder buy-in in adaptive management: Criteria and evidence. Ecosystems18, 493–506. doi: 10.1007/s10021-015-9842-4
3
Atlantic Coastal Cooperative Statistics Program (2021). Biological sampling priority matrix Vol. FY2023 (Arlington, VA: Report, ACCSP), 4.
4
Atlantic States Marine Fisheries Commission (2019a). Plan development team report: Black Sea bass commercial management (Arlington, VA: Report, ASMFC), 43.
5
Atlantic States Marine Fisheries Commission (2019b). Review of the interstate fishery management plan for black sea bass (Centropristis striata) 2019 fishing year (Arlington, VA: Report, ASMFC), 17.
6
Atlantic States Marine Fisheries Commission (2020). American Lobster benchmark stock assessment and peer review report (Arlington, VA: Report, ASMFC), 548.
7
Atlantic States Marine Fisheries Commission (2021a). Addendum XXXIII to the summer flounder, scup, and black sea bass fishery management plan, black sea bass commercial allocation (Arlington, VA: Report, ASMFC), 16.
8
Atlantic States Marine Fisheries Commission (2021b). Jonah Crab pre-assessment data workshop report (Arlington, VA: Report, ASMFC), 80.
9
Atlantic States Marine Fisheries Commission (ASMFC) (2013). Research Priorities and Recommendations to Support Interjurisdictional Fisheries Management. Special Report # 89. ASMFC; Arlington, VA, 58pp.
10
Bell R. J. Gervelis B. Chamberlain G. Hoey J. (2017). Discard estimates from self-reported catch data: an example from the U.S. northeast shelf. North Am. J. Fisheries Manage.37, 1130–1144. doi: 10.1080/02755947.2017.1350219
11
Bell R. J. Richardson D. E. Hare J. A. Lynch P. D. Fratantoni P. S. (2015). Disentangling the effects of climate, abundance, and size on the distribution of marine fish: an example based on four stocks from the northeast US shelf. ICES J. Mar. Sci.72, 1311–1322. doi: 10.1093/icesjms/fsu217
12
Bonney R. Byrd J. Carmichael J. T. Cunningham L. Oremland L. Shirk J. et al . (2021). Sea Change: Using citizen science to inform fisheries management. BioScience71, 519–530. doi: 10.1093/biosci/biab016
13
Bonney R. Cooper C. B. Dickinson J. Kelling S. Phillips T. Rosenberg K. V. et al . (2009). Citizen science: A developing tool for expanding science knowledge and scientific literacy. BioScience59, 977–984. doi: 10.1525/bio.2009.59.11.9
14
DeCelles G. Barkley A. Cadrin S. X. (2013). Mid-Atlantic research set-aside (RSA) report: 2012 fishery independent scup and black Sea bass survey of hard bottom areas in southern new England waters. Dover, DE: Report, MAFMC25.
15
Dickinson J. L. Shirk J. Bonter D. Bonney R. Crain R. L. Martin J. et al . (2012). The current state of citizen science as a tool for ecological research and public engagement. Front. Ecol. Environ.10, 291–297. doi: 10.1890/110236
16
Drohan A. F. Manderson J. P. Packer D. B. (2007). “Essential fish habitat source document: Black sea bass, centropristis striata, life history and habitat characteristics,” in NOAA Technical memo, 2nd Edition (NMFS-NE-200: Woods Hole, MA), 78.
17
Ebel S. A. Beitl C. M. Runnebaum J. Alden R. Johnson T. R. (2018). The power of participation: Challenges and opportunities for facilitating trust in cooperative fisheries research in the Maine lobster fishery. Mar. Policy90, 47–54. doi: 10.1016/j.marpol.2018.01.007
18
Gawarkiewicz G. Malek Mercer A. (2019). Partnering with fishing fleets to monitor ocean conditions. Annu. Rev. Mar. Sci.11, 391–411. doi: 10.1146/annurev-marine-010318-095201
19
Goldstein E. A. Lawton C. Sheehy E. Butler F. (2014). Locating species range frontiers: a cost and efficiency comparison of citizen science and hair-tube survey methods for use in tracking an invasive squirrel. Wildl. Res.41, 64. doi: 10.1071/WR13197
20
Hare J. A. Able K. W. (2007). Mechanistic links between climate and fisheries along the east coast of the united states: explaining population outbursts of Atlantic croaker (Micropogonias undulatus). Fisheries Oceanogr16, 31–45. doi: 10.1111/j.1365-2419.2006.00407.x
21
Hartley T. Robertson R. (2009). Stakeholder collaboration in fisheries research: Integrating knowledge among fishing leaders and science partners in northern new England. Soc. Natural Resources.22, 42–55. doi: 10.1080/08941920802001010
22
Hyder K. Townhill B. Anderson L. G. Delany J. Pinnegar J. K. (2015). Can citizen science contribute to the evidence-base that underpins marine policy? Mar. Policy59, 112–120. doi: 10.1016/j.marpol.2015.04.022
23
Kleisner K. M. Fogarty M. J. McGee S. Hare J. A. Moret S. Parretti C. T. et al . (2017). Marine species distribution shifts on the U.S. northeast continental shelf under continued ocean warming. Prog. Oceanogr.153, 24–36. doi: 10.1016/j.pocean.2017.04.001
24
Koob E. R. Elzey S. P. Mandelman J. W. Armstrong M. P. (2021). Age validation of the northern stock of black sea bass (Centropristis striata) in the Atlantic ocean. Fishery Bull.119 (4), 261–273. doi: 10.7755/FB.119.4.6
25
Mercer A. M. Ellertson A. Spencer D. Heimann T. (2018). Fishers fill data gaps for American lobster (Homarus americanus) and Jonah crab (Cancer borealis) in the northeast USA. Bull. Mar. Sci.94 (3), 1121–1135. doi: 10.5343/bms.2017.1105
26
Mid-Atlantic Fishery Management Council (2002). Black sea bass advisory panel information document (Dover, DE: Report, MAFMC), 17.
27
Mid-Atlantic Fishery Management Council (2013). Amendment 13 to the summer flounder, scup, and black sea bass fishery management plan Vol. 1 (Dover, DE: Report, MAFMC), 602.
28
Miller T. Muller R. O’Boyle B. Rosenberg A. (2009). Report by the peer review panel for the northeast data poor stocks working group (Woods Hole, MA: Report, NEFSC), 38.
29
Moser J. Shepherd G. R. (2009). Seasonal distribution and movement of black Sea bass (Centropristis striata) in the Northwest Atlantic as determined from a mark-recapture experiment. J. Northw. Atl. Fish. Sci.40, 17–28. doi: 10.2960/J.v40.m638
30
Northeast Fisheries Science Center (2017). 62th northeast regional stock assessment workshop (62th SAW) assessment report Vol. 17-03 (US Dept Commerce, Northeast Fish Sci Cent Ref Doc: Woods Hole, MA), 822.
31
Northeast Fisheries Science Center (2020). Operational assessment of the black Sea bass, scup, bluefish, and monkfish stocks, updated through 2018 Vol. 20-01 (US Dept Commerce, Northeast Fish Sci Cent Ref Doc: Woods Hole, MA), 164.
32
Ojea E. Lester S. E. Salgueiro-Otero D. (2020). Adaptation of fishing communities to climate-driven shifts in target species. One Earth2 (6), 544–556. doi: 10.1016/j.oneear.2020.05.012"
33
Perry A. L. Low P. J. Ellis J. R. Reynolds J. D. (2005). Climate change and distribution shifts in marine fishes. Science308 (5730), 1912–1915. doi: 10.1126/science.1111322
34
Punt A. E. Smith D. C. Tuck G. N. Methot R. D. (2006). Including discard data in fisheries stock assessments: Two case studies from south-eastern Australia. Fisheries Res.79, 239–250. doi: 10.1016/j.fishres.2006.04.007
35
R Core Team (2021). R: A language and environment for statistical computing (Vienna, Austria: R Foundation for Statistical Computing). Available at: https://www.R-project.org/.
36
Roman S. Jacobson N. Cadrin S. X. (2009). Assessing the reliability of Fisher self-sampling programs. North Am. J. Fisheries Manage.31 (1), 165–175. doi: 10.1080/02755947.2011.562798
37
Roy E. M. Quattro J. M. Greig T. W. (2012). Genetic management of black Sea bass: Influence of biogeographic barriers on population structure. Mar. Coast. Fisheries4, 391–402. doi: 10.1080/19425120.2012.675983
38
Shepherd G. R. (2009). “Black Sea bass 2009 stock assessment update,” in National marine fisheries service, 166 water Street, woods hole, MA 02543-1026, vol. 09-16. (US Dept Commer, Northeast Fish Sci Cent Ref Doc), 30. Available at: http://www.nefsc.noaa.gov/nefsc/publications/.
39
Steimle F. W. Zetlin C. A. Berrien P. L. Chang S. (1999). “Essential fish habitat source document: Black sea bass, Centropristis striata, life history and habitat characters,” in NOAA Technical Memorandum NMFS-NE-143Woods Hole, MA. 1–42.
40
Theobald E. J. Ettinger A. K. Burgess H. K. DeBey L. B. Schmidt N. R. Froehlich H. E. et al . (2015). Global change and local solutions: Tapping the unrealized potential of citizen science for biodiversity research. Biol. Conserv.181, 236–244. doi: 10.1016/j.biocon.2014.10.021
41
Thiel M. Penna-Díaz M. A. Luna-Jorquera G. Salas S. Sellanes J. Stotz W. (2014). “Citizen scientists and marine research: Volunteer participants, their contributions, and projection for the future,” in Oceanography and marine biology. Eds. HughesR. N.HughesD. J.SmithI. P. (CRC Press), 257–314. doi: 10.1201/b17143-6
42
Tulloch A. I. T. Possingham H. P. Joseph L. N. Szabo J. Martin T. G. (2013). Realising the full potential of citizen science monitoring programs. Biol. Conserv.165, 128–138. doi: 10.1016/j.biocon.2013.05.025
43
Waltz W. Roumillat W. A. Ashe P. K. (1979). “Distribution, age structure, and sex composition of the black sea bass, centropristis striata, sampled along the southeastern coast of the united states,” in Marine Resources Research Institute, South Carolina Wildlife and Marine Resources Department. Technical Report Number 43, , December 1979South Carolina Wildlife and Marine Resources Dept 1979: Charleston SC.
44
Wendt D. E. Starr R. M. (2009). Collaborative research: An effective way to collect data for stock assessments and evaluate marine protected areas in California. Mar. Coast. Fisheries1, 315–324. doi: 10.1577/C08-054.1
Summary
Keywords
fisheries, fishery dependent data, collaborative research, citizen science, New England, black sea bass
Citation
Heimann T, Verkamp H, McNamee J and Bethoney ND (2023) Mobilizing the fishing industry to address data gaps created by shifting species distribution. Front. Mar. Sci. 10:1043676. doi: 10.3389/fmars.2023.1043676
Received
13 September 2022
Accepted
31 January 2023
Published
15 February 2023
Volume
10 - 2023
Edited by
Matthew R. Baker, North Pacific Research Board, United States
Reviewed by
José Lino Vieira De Oliveira Costa, University of Lisbon, Portugal; Jocelyn Runnebaum, The Nature Conservancy, United States
Updates
Copyright
© 2023 Heimann, Verkamp, McNamee and Bethoney.
This is an open-access article distributed under the terms of the Creative Commons Attribution License (CC BY). The use, distribution or reproduction in other forums is permitted, provided the original author(s) and the copyright owner(s) are credited and that the original publication in this journal is cited, in accordance with accepted academic practice. No use, distribution or reproduction is permitted which does not comply with these terms.
*Correspondence: Thomas Heimann, theimann@cfrfoundation.org
This article was submitted to Marine Fisheries, Aquaculture and Living Resources, a section of the journal Frontiers in Marine Science
Disclaimer
All claims expressed in this article are solely those of the authors and do not necessarily represent those of their affiliated organizations, or those of the publisher, the editors and the reviewers. Any product that may be evaluated in this article or claim that may be made by its manufacturer is not guaranteed or endorsed by the publisher.