Error in Figure/Table
In the published article, there was an error in Figures 3, 4, as well as Supplemental Figures S3–7, S9 as published. These were outdated figures that contained genotype clones of Orbicella faveolata, which were discovered and amended during the review process. In the published figures, there are 12 genotypes of O. faveolata but OF32 (clone of OF11) and OF12 (clone of OF27) should not be included. The corrected Figures 3, 4 and their captions appear below. The corrected Supplemental Figures S3–7, S9 and their captions have been updated in the original article.
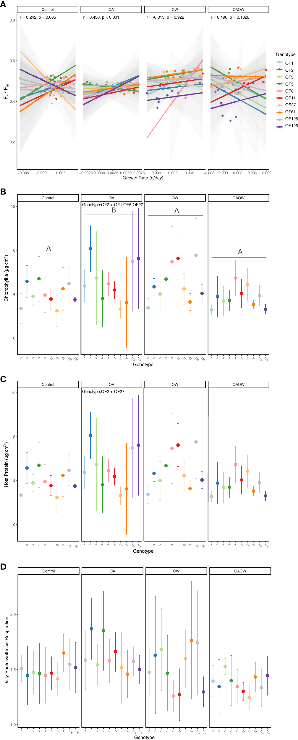
Figure 3

Physiological trait measurements of (A) growth rate correlated with end Fv/Fm, (B) chlorophyll a, (C) host soluble protein, and (D) daily net Photosynthesis: Respiration (P:R) ratio for each genotype of O. faveolata, faceted by treatment (Control, OA, OW, OAOW). Pearson correlation coefficients and p-values are within each treatment for panel (A). Significant pairwise comparisons among treatment are indicated by capital letters in each treatment facet and Tukey HSD significant pairwise comparisons among genotype are specified within treatment, where applicable. Points are colored by genotype and represent mean ± 95% confidence intervals (n=5-6 per treatment).
Figure 4

Heatmaps of scaled mean physiological trait values (x-axis) for each genotype (y-axis) of P. clivosa (left) and O. faveolata (right) under the OAOW treatment, where red indicates higher values (= higher performance) and blue are lower values (= lower performance). Values in the ‘Total’ column correspond to the summed average trait values for each genotype.
The authors apologize for this error and state that this does not change the scientific conclusions of the article in any way. The original article has been updated.
Statements
Publisher’s note
All claims expressed in this article are solely those of the authors and do not necessarily represent those of their affiliated organizations, or those of the publisher, the editors and the reviewers. Any product that may be evaluated in this article, or claim that may be made by its manufacturer, is not guaranteed or endorsed by the publisher.
Summary
Keywords
coral restoration, coral bleaching, ocean acidification (OA), climate change, Florida’s Coral Reef, Orbicella faveolata , Pseudodiploria clivosa , massive corals
Citation
Klepac CN, Eaton KR, Petrik CG, Arick LN, Hall ER and Muller EM (2023) Corrigendum: Symbiont composition and coral genotype determines massive coral species performance under end-of-century climate scenarios. Front. Mar. Sci. 10:1229114. doi: 10.3389/fmars.2023.1229114
Received
25 May 2023
Accepted
28 June 2023
Published
31 July 2023
Volume
10 - 2023
Edited by
Kefu Yu, Guangxi University, China
Reviewed by
Lei Jiang, Chinese Academy of Sciences (CAS), China
Updates
Copyright
© 2023 Klepac, Eaton, Petrik, Arick, Hall and Muller.
This is an open-access article distributed under the terms of the Creative Commons Attribution License (CC BY). The use, distribution or reproduction in other forums is permitted, provided the original author(s) and the copyright owner(s) are credited and that the original publication in this journal is cited, in accordance with accepted academic practice. No use, distribution or reproduction is permitted which does not comply with these terms.
*Correspondence: Courtney N. Klepac, cklepac@mote.org
†ORCID: Courtney N. Klepac, orcid.org/0000-0002-3935-8275
Disclaimer
All claims expressed in this article are solely those of the authors and do not necessarily represent those of their affiliated organizations, or those of the publisher, the editors and the reviewers. Any product that may be evaluated in this article or claim that may be made by its manufacturer is not guaranteed or endorsed by the publisher.