Abstract
The composition of dissolved organic matter (DOM) in the coastal waters off Jeju Island, Korea, originates from a complex mixture of organic sources. This study examined the dynamics and sources of dissolved organic carbon (DOC) and dissolved organic nitrogen (DON) in the coastal waters off Jeju Island. Seasonal variation in the DOC and DON concentrations was observed, with significantly higher levels during summer (DOC: 82 ± 15 µM and DON: 6.8 ± 2.0 µM) than during the other seasons. In 2017, the Kuroshio Intermediate Water had a greater impact on the coastal waters off Jeju Island during winter (79%) and spring (69%) than during the other seasons, while the Changjiang Diluted Water (CDW) (12%) and the Kuroshio Surface Water (47%) had a stronger impact during summer and the Yellow Sea Cold Water (10%) had a stronger impact during autumn. Although water mass analysis provides valuable insights, certain aspects of the DOM distribution in coastal seawater remain unexplained. During summer, while the mixing of the CDW influenced the concentrations of DOC and DON, a distinct pulse in these concentrations was observed within a specific salinity range, suggesting microbial activity as a source. The relationship between dissolved inorganic nitrogen (DIN) and salinity also exhibited the opposite trend to that between DON and salinity, indicating the conversion of DON into DIN through microbial activity. These findings suggest that microbial activity plays a key role in the observed DOM pulse, transforming particulate organic matter into DOM and then converting it into DIN during the long transportation from Changjiang River to Jeju Island. This organic matter cycle could thus serve as a source of DIN in oligotrophic regions. However, further research on the sources and distribution of organic matter using biogeochemical parameters is required to gain a better understanding of the intricate processes involved.
1 Introduction
Marine dissolved organic matter (DOM) plays a crucial role as a carbon and nitrogen reservoir (Druffel et al., 1992), influencing carbon and nitrogen cycling and the biogeochemical functioning of the ocean (Hedges, 1992). DOM is released through various processes, including phytoplankton cell lysis, microzooplankton grazing, and heterotrophic microbial activity (Nagata and Kirchman, 1992; Jiao et al., 2010). In particular, dissolved organic carbon (DOC) persists for extended periods at consistently low concentrations in the deep open oceans, primarily due to its resistance to microbial breakdown in the water column (Lechtenfeld et al., 2014). In fact, the amount of DOC as a component of marine DOM is comparable to the carbon dioxide present in the atmosphere (Siegenthaler and Sarmiento, 1993). Nevertheless, coastal and marginal oceans experience significant variation in their DOC concentrations, influenced by intense biological activity and input from terrestrial sources (Liu et al., 2014). Microbial decomposition is a key natural process that alters the characteristics and reactivity of DOM (Hur et al., 2011). In the ocean, a substantial proportion of primary production is converted into DOM, which is further metabolized by osmotrophs such as bacteria, Archaea, coccolithophores, and diatoms (Williams, 2000). In this process, dissolved organic nitrogen (DON), a component of DOM, is an essential nitrogen source for marine microorganisms when dissolved inorganic nitrogen (DIN) is limited (Letscher et al., 2013).
Water masses play a crucial role in ocean circulation, the distribution of bacterioplankton and zooplankton, and the distribution of chemical components (Pöppelmeier et al., 2020). The relatively uniform physical properties of a specific water mass set it apart from the surrounding water, and these properties remain relatively constant as the water mass moves and mixes within the ocean. Nevertheless, water mass mixing and basin-scale mineralization play important roles in explaining the distribution and concentration of DOM in the ocean; for example, they have been shown to affect the generation, distribution, and concentration of DOM in the open Mediterranean Sea (Catalá et al., 2018). Seritti et al. (2003) also found a linear correlation between DOC and the apparent oxygen utilization (AOU) within individual water masses, indicating a potential link between organic matter decomposition and DOC concentration in the Ionian Sea.
The water around Jeju Island is influenced by four major water masses: the Yellow Sea Cold Water (YSCW), Kuroshio Intermediate Water (KIW), Kuroshio Surface Water (KSW), and Changjiang Diluted Water (CDW) (Oh and Pang, 2000; Lee et al., 2016). The Yellow Sea (YS) is a semi-enclosed, shallow continental shelf sea between China and the Korean Peninsula with a depth of less than 100 m (Oh et al., 2013). It is characterized by relatively low temperatures and salinity compared with the surrounding water. The YSCW moves from the central YS to the southwest of Jeju Island along the YS trough (Park, 1986; Wang et al., 2013; Lee et al., 2016). The presence of cold bottom water in the southwest region of Jeju Island and its occasional intrusion into the Jeju Strait have been documented during the summer (Pang et al., 2003). Jeju Island is also significantly influenced by the physiochemical characteristics of the Kuroshio Current (Park et al., 2016). The KIW and KSW are two layers of the Kuroshio Current, a western boundary current influenced by the North Pacific Ocean. The KIW has intermediate temperature and salinity values, whereas KSW is characterized by relatively high temperatures and salinity (Oh and Pang, 2000). The concentration of DOC in the Kuroshio Current has been reported to be 88 ± 17 µM with a range of 60–100 µM (Guo et al., 2018; Ji et al., 2023).
The CDW is not strictly defined as an independent water mass but it is generally treated as one due to its significant influence. The Changjiang River discharge is the fifth largest in the world and has a strong influence on the hydrography and currents of the East China Sea, which has a width of approximately 800 km (Son and Choi, 2022). The CDW has long been known to extend toward Jeju Island during summer every year, though serial hydrographic surveys around Jeju Island show that the characteristics of the CDW are considerably different every year (Kim and Rho, 1994; Moon et al., 2009). Typically, the Chengjiang River flows northeastward and enters the YS during summer, whereas it flows southward along the Chinese coast during winter (Ichikawa and Beardsley, 2002; Isobe et al., 2002; Lie et al., 2003; Chen et al., 2009; Lie and Cho, 2016). Although Jeju Island is located at the branch of the oligotrophic Kuroshio Current, the CDW, which is known for its high concentration of DOM, reaches the vicinity of Jeju Island (~450 km) from the river mouth within 20–35 days during summer (Lee et al., 2014). Thus, due to the enhanced discharge from the Changjiang River during summer, DOM-rich water extends to Jeju Island (Wang et al., 2015).
DOM is essential for the health and functioning of the marine ecosystem of Jeju Island. Its impact on nutrient cycling, energy flow, carbon sequestration, water quality, and biological interactions means that it is important to monitor and understand the DOM dynamics in the seawater surrounding Jeju Island. The DOM in the coastal waters off Jeju Island is a complex mixture of organic matter originating from various sources. This study thus aims to achieve a number of objectives. First, it analyzes the DOC, DON, and nutrient concentrations and the optical properties of DOM to determine its origin in the coastal waters off Jeju Island, South Korea. Second, it calculates the contribution of different water masses to the coastal waters near Jeju Island to gain insights into the sources and dynamics of water masses in the region. Finally, it seeks to advance the understanding of the transport and fate of DOM, nutrients, and chemical species in the coastal waters off Jeju Island.
2 Materials and methods
2.1 Study site
Jeju Island, a volcanic island situated off the southern coast of the Korean Peninsula, has an area of 1,847 km2 and is predominantly composed of basalt, which is known for its high permeability (Kim et al., 2013; Kim et al., 2016) (Figure 1). The island’s geological properties result in most of its rivers being classified as dry streams (Lee et al., 2022). The quality of the coastal water surrounding Jeju Island is influenced by various factors, including submarine groundwater discharge (SGD), land-based fish farm effluent, wastewater treatment plant (WWTP) effluent, and the surrounding water masses (Cho et al., 2021; Kwon et al., 2022; Lee et al., 2022; Ji et al., 2023). SGD acts as a pathway for the transport of DIN, DON, and trace metals (Jeong et al., 2012; Cho et al., 2019). The fluxes of DIN and DON due to SGD in Hwasun Bay, situated on Jeju Island between stations 2 and 3 in this study area (approximately 8 km apart), were found to exceed the averages observed for major rivers such as the Delaware, Colorado, and Stikine Rivers (Kim et al., 2013). In Hwasun Bay, the SGD-derived input of dissolved nutrients and organic matter accounted for over 90% of the total input flux (Cho et al., 2021). Furthermore, according to Kwon et al. (2022), fish farm effluent is a significant source of anthropogenic DOM and nutrients in coastal waters off Jeju Island. They found that fish farm effluent accounted for approximately 95% of NH4+ (with an average concentration of 5.6 ± 4.1 μM) and 71% of humic-like fluorescent DOM (FDOM; with an average intensity of 0.86 ± 0.49 R.U.) in coastal waters of Jeju Island. WWTP effluent has also been highlighted as a significant source of nutrients in oligotrophic oceans (Lee et al., 2022).
Figure 1

The map of sampling stations in the coastal waters off Jeju Island during four seasons (spring: May, summer: August, autumn: November and winter: January) in 2017.
2.2 Sampling
We employed data from Korea Marine Environment Monitoring sampling stations, which have been established approximately 5 km from the shore for the management of the marine ecosystem in the coastal waters off Jeju Island. Water samples were collected from the coastal waters off Jeju Island, South Korea, during all four seasons in 2017 (February, May, August, and November for winter, spring, summer, and autumn, respectively) (Song, 2020). A total of 109 samples were obtained using a Niskin sampler from 12 sampling stations (Figure 1), made up of surface samples (n = 46; excluding station 9 in May) and water column samples (n = 63; ranging from 10 to 90 m in depth, with an average depth of 36 ± 21 m). The selection of sampling stations in the water column was determined based on the water depth, with the number of stations (ranging from 2 to 3) fluctuating as the depth changed. Bottom water samples were obtained at a distance of approximately 5 m above the ocean floor.
Seawater samples for DOC, total dissolved nitrogen (TDN), dissolved inorganic nutrients (NO3−, NO2−, NH4+, Si(OH)4, and PO43−), and FDOM were filtered using pre-combusted glass fiber filter paper (GF/F; pore size = 0.7 µm; Whatman Inc., UK) subjected to 500°C for 5 h. Filter paper samples with suspended particles were used for the analysis of chlorophyll-a (chl-a); these were stored at −20°C in polypropylene conical tubes until analysis. FDOM samples were stored in pre-combusted amber glass vials and refrigerated (< 4°C) until analysis. The subsamples for DOC and TDN were transferred into pre-combusted glass ampules and acidified with 6 M HCl (pH ~2.0); the ampules were then flame-sealed. The subsamples for the dissolved inorganic nutrients were stored in high-density polyethylene bottles and frozen until analysis.
2.3 Analytical methods
Salinity was measured in situ using a portable sensor (CyberScan PCD650; Thermo Fisher Scientific, MA, USA). DOC and TDN concentrations were analyzed using a TOC-VCPH analyzer (Shimadzu, Japan), with measurements standardized based on the calibration curves for acetanilide (C:N = 8). The measured values of 44 μmol L−1 for DOC (n = 6) and 32 μmol L−1 for TDN (n = 6) were within 5% of the certified values for the deep-sea reference (DSR; University of Miami). The concentration of DON was determined by subtracting the DIN concentration from the TDN concentration, where DIN is the combined concentration of NO3−, NO2−, and NH4+.
Three-dimensional (3D) fluorescence spectroscopy was conducted using a spectrofluorometer (FluoroMate FS-2; SCINCO, Korea). The excitation (Ex) and emission (Em) matrix (EEM) spectra were scanned within a wavelength range of 250–500 nm at 2 nm intervals and 250–600 nm at 5 nm intervals, respectively. Raman scattering by water was accounted for by subtracting daily fresh distilled water signals from the sample EEM data. The fluorescence intensity, measured in counts per second (cps), was normalized using quinine sulfate standards (i.e., the fluorescence spectrum of a quinine sulfate standard solution in 0.1 N H2SO4 at an Ex/Em of 350/450 nm) and expressed as parts per billion of quinine sulfate equivalent (ppb QSE). The EEM for all data with smoothing was obtained using MATLAB with Savitzky–Golay filters. The parallel factor analysis (PARAFAC) model was applied to the 3D EEM data and validated using split-half and core consistency analyses (Stedmon and Bro, 2008).
The fluorescence index (FI) was determined as the ratio of the fluorescence intensity at an Em wavelength of 450 nm to that at an Em wavelength of 500 nm when the excitation wavelength was 370 nm (McKnight et al., 2001). The autochthonous contribution was used as the basis of the biological index (BIX), which was measured as the ratio of the fluorescence intensity at an Em wavelength of 380 nm to that at an Em wavelength of 430 nm when the excitation wavelength was 310 nm (Huguet et al., 2009). The humification index (HIX) was calculated as the ratio of the average fluorescence intensity at an Em wavelength of 300–345 nm to that at an Em wavelength of 435–480 nm when the excitation wavelength was 255 nm (Zhang et al., 2010).
Inorganic nutrients were analyzed using a nutrient autoanalyzer (New QuAAtro39; SEAL Analytical, UK). Artificial seawater (salinity: 35) was used as the sample matrix for the blank and standard. According to the certified reference material (MOOS-1 from National Research Council, Canada), the analytical uncertainty was within 2% for DIN, Si(OH)4, and PO43−.
2.4 Seasonal variation in the water mass distribution
The YSCW, KIW, KSW, and CDW were defined based on the uniformity of their physical properties and previous research (Pang and Hyun, 1998; Lee et al., 2016; Kang and Moon, 2022). Table S1 presents the representative characteristics of the four water masses. To implement a four-component end-member mixing model based on mixing ratios, it is important to establish representative values for the source water masses (Pang and Hyun, 1998; Kang and Moon, 2022). For this purpose, observational data from the YS, East China Sea, and Korean Strait surrounding Jeju Island from 2017 provided by the Korea Oceanographic Data Center were used to construct temperature–salinity (T-S) plots (Figure 2).
Figure 2

(A) The map of stations and (B) the temperature–salinity (T-S) diagram showing the data obtained from observations in the Yellow Sea, East China Sea, and Korean Strait surrounding Jeju Island in 2017, as provided by Korea Oceanographic Data Center, along with the four source water masses (Changjiang Diluted Water (CDW), Yellow Sea Cold Water (YSCW), Kuroshio Surface Water (KSW), and Kuroshio Intermediate Water (KIW)). (C) Diagram representing the method for determining the mixing ratio of the four water masses under the circumstances described in (B).
In the T-S diagram, the fractions A, B, C, and D are the representative points of each source water mass when P is a mixture of four source water masses (Figure 2C). The mixing ratios of these water masses were denoted as ƒa, ƒb, ƒc, and ƒd, respectively, where ƒa + ƒb + ƒc + ƒd = 100%. When lines AB and DC have the ratio m:n, and lines AD and BC have the ratio k:l (where m + n = 1 and k + l = 1), point P satisfies the equation l(nƒa + mƒb) + k(mƒc + nƒd) = 1. The values of ƒa, ƒb, ƒc, and ƒd are thus l·n, l·m, k·m, and k·n, respectively (Pang and Hyun, 1998; Kang and Moon, 2022).
2.5 Statistical analysis
All statistical analyses, including principal component analysis (PCA), were performed using SPSS ver. 19 (IBM Corp., Armonk, NY, USA). Before the PCA, the variables were standardized by transforming them to have a zero mean and unit variance. This method is useful when the variables under analysis have different units of measurement or ranges of values.
3 Results
3.1 Concentration of DOC, DON, nutrients, and chlorophyll-a
The concentration of DOC in the coastal waters off Jeju Island ranged from 58 to 124 µM, with a significantly higher concentration observed during summer (mean: 82 ± 15 µM) than during the other seasons (winter: 63 ± 6.2 µM; spring: 71 ± 3.7 µM; and autumn: 69 ± 6.5 µM; p < 0.05) (Table 1; Figure S1A). These DOC concentrations were similar to those found in the East China Sea (60–120 µM), the coastal waters of Southeast Asia (50–110 µM), and major oceans such as the Pacific, Indian, and North Atlantic Oceans (60–80 µM), but slightly lower than those in China coastal waters (85–120 µM) (Carlson and Ducklow, 1995; Hansell and Carlson, 1998; Doval and Hansell, 2000; Hung et al., 2003; Kim et al., 2020; Sanwlani et al., 2022). Similarly, the concentration of DON also exhibited seasonal variation, with an overall range of 1.3 to 17.0 µM. The DON concentration during summer was significantly higher (mean: 6.8 ± 2.0 µM) than that during the other seasons (winter: 5.5 ± 1.5 µM, spring: 5.2 ± 2.8 µM, and autumn: 4.0 ± 0.8 µM; p < 0.05) (Table 1; Figure S1B). The DON concentration in the coastal waters off Jeju Island was comparable to the East China Sea (1.9–11 µM) and the East/Japan Sea (4–7 µM) and was slightly lower than that reported for the East China Sea in 2003 (6–9 µM) (Hung et al., 2003; Kim and Kim, 2013; Kim et al., 2020).
Table 1
| DOC (µM) | DON (µM) | TDN (µM) | DIN (µM) | chl-a (mg·m-3) | PO43− (µM) | Si(OH)4 (µM) | |
|---|---|---|---|---|---|---|---|
| Winter | 63 ± 6.2 | 5.5 ± 1.5 | 10 ± 2.8 | 4.5 ± 1.6 | 0.4 ± 0.1 | 0.6 ± 0.3 | 8.8 ± 2.2 |
| Spring | 71 ± 3.6 | 5.2 ± 2.8 | 7.7 ± 2.5 | 2.4 ± 2.0 | 1.2 ± 1.1 | 0.6 ± 0.2 | 7.9 ± 2.5 |
| Summer | 82 ± 15 | 6.8 ± 2.0 | 11 ± 1.9 | 3.7 ± 2.5 | 1.0 ± 0.8 | 0.8 ± 0.0 | 6.7 ± 2.9 |
| Autumn | 69 ± 6.5 | 4.0 ± 0.8 | 7.9 ± 1.8 | 3.9 ± 1.8 | 0.8 ± 0.3 | 0.5 ± 0.2 | 7.9 ± 2.6 |
| Average | 71 ± 11 | 5.4 ± 2.1 | 3.2 ± 0.9 | 3.7 ± 1.9 | 0.8 ± 0.7 | 0.6 ± 0.2 | 7.8 ± 2.4 |
Concentration of dissolved organic carbon (DOC), dissolved organic nitrogen (DON), total dissolved nitrogen (TDN), dissolved inorganic nitrogen (DIN), Chlorophyll-a (chl-a), PO43−, and Si(OH)4 in the coastal waters off Jeju Island across four seasons.
The concentrations of DOC and DON were comparable between all sampling stations during the individual seasons (Figure S2). When comparing the difference in the concentration of DOC and DON between the surface and water column, in summer, the DOC and DON concentrations were significantly higher in surface water than those in the water column (p < 0.05; Figure S2B). The average concentrations of TDN, DIN, PO43−, and Si(OH)4 were 3.2 ± 0.9, 3.7 ± 1.9, 0.8 ± 0.7, 0.6 ± 0.2, and 7.8 ± 2.4 µM, respectively (Table 1). In summer, the concentration of TDN (11 ± 1.9 µM) and PO43− (0.8 ± 0.0 µM) was higher than during the other seasons. In contrast, the concentrations of DIN (4.5 ± 1.6 µM) and Si(OH)4 (8.8 ± 2.2 µM) were the highest in winter (Table 1; Figure S2). The mean concentration of chl-a was found to be low at 0.4 ± 0.1, 1.2 ± 1.1, 1.0 ± 0.8, and 0.8 ± 0.3 mg/m3 in winter, spring, summer, and autumn, respectively.
3.2 Fluorescence indices
The variation in the three fluorescence indices according to the season is presented in Figure 3. The FI ranged from 0.8 to 7.0, with a mean of 2.6 ± 1.1 over all seasons (winter: 2.7 ± 1.1; spring: 2.1 ± 0.7; summer: 2.2 ± 0.4; and autumn: 3.2 ± 1.3). An HIX value less than 1.5 and a BIX value larger than 1 indicate a biological or aquatic bacterial origin (Huguet et al., 2009; Zhang et al., 2010). In the present study, the HIX ranged from 0.2 to 1.4 (average: 0.6 ± 0.2), and the BIX ranged from 0.9 to 3.1 (average: 1.5 ± 0.4) across all seasons.
Figure 3

Bar graphs depicting the (A) fluorescence index (FI), (B) humification index (HIX), and (C) biological index (BIX) for four seasons (winter, spring, summer, and autumn) in 2017. The yellow area represents microbial activity.
3.3 Seasonal characteristics of water masses
To investigate the underlying cause of the high DOC and DON concentrations, the mixing ratio of the water masses was analyzed. As previously documented, Jeju Island is influenced by the YSCW, KIW, KSW, and CDW (Pang and Hyun, 1998; Lee et al., 2016). The results of the four-component end-member mixing model revealed that the KIW and KSW were the primary contributors to the DOM levels, accounting for 59 ± 20 and 28 ± 13%, respectively, across all seasons, while the contributions of the YSCW and CDW were only 7.8 ± 2.2% and 5.2 ± 5.1%, respectively (Table 2). However, the contributions of these water masses varied between the seasons. Figure 4 presents the PCA results for the ratio of the four water masses based on seasonal differences. The normalized values of the ratio of the four water masses in 103 of the 109 samples (i.e., those without missing temperature or salinity data) were used as input data for the PCA. The first two principal components (PC1 and PC2) accounted for 73% and 26% of the variance, respectively. The seasonal distribution fraction within the score plot could be explained by the distribution of the water mass in the loading plot (Figure 4B). According to the score plot, winter and spring samples exhibited a higher clustering within the KIW fraction (79% and 69%, respectively) of the loading plot. In contrast, the samples collected during summer were more strongly associated with the CDW and KSW fractions, suggesting that the CDW (12 ± 4.8%) and KSW (47 ± 16%) had a stronger impact during summer than during other seasons. The autumn samples were mostly clustered in the YSCW fraction of the loading plot, indicating that the YSCW (10 ± 4.3%) had a stronger impact during autumn than during other seasons. However, the samples were not clearly separated in the score plots by station (Figure 4C).
Table 2
| Winter | Spring | Summer | Autumn | Aver. | ||
|---|---|---|---|---|---|---|
| Water masses (%) | CDW | 1.0 ± 0.1 | 2.3 ± 0.7 | 12 ± 4.8 | 5.2 ± 1.0 | 5.2 ± 5.1 |
| YSCW | 4.9 ± 0.8 | 7.5 ± 1.9 | 8.4 ± 4.2 | 10 ± 4.3 | 7.8 ± 2.2 | |
| KIW | 78 ± 2.0 | 69 ± 5.6 | 32 ± 17 | 55 ± 3.1 | 59 ± 20 | |
| KSW | 16 ± 2.5 | 21 ± 5.9 | 47 ± 16 | 30 ± 6.3 | 28 ± 13 | |
| DOC (µM) |
in CDW | 0.6 ± 0.1 | 1.6 ± 0.1 | 10 ± 1.9 | 3.6 ± 0.3 | 3.9 ± 3.8 |
| in YSCW | 3.1 ± 0.3 | 5.3 ± 0.3 | 6.9 ± 1.3 | 7.1 ± 0.7 | 5.5 ± 1.8 | |
| in KIW | 49 ± 4.9 | 49 ± 2.5 | 26 ± 5.0 | 38 ± 3.5 | 41 ± 10 | |
| in KSW | 10 ± 1.0 | 15 ± 0.8 | 38 ± 7.2 | 21 ± 1.9 | 21 ± 11 | |
| DON (µM) |
in CDW | 0.1 ± 0.0 | 0.1 ± 0.1 | 0.9 ± 0.3 | 0.2 ± 0.0 | 0.3 ± 0.3 |
| in YSCW | 0.3 ± 0.1 | 0.4 ± 0.2 | 0.6 ± 0.2 | 0.4 ± 0.1 | 0.4 ± 0.2 | |
| in KIW | 4.3 ± 1.2 | 3.6 ± 1.9 | 2.2 ± 0.7 | 2.2 ± 0.4 | 3.1 ± 1.5 | |
| in KSW | 0.9 ± 0.2 | 1.1 ± 0.6 | 3.2 ± 0.9 | 1.2 ± 0.2 | 1.6 ± 1.1 |
Contribution of the Changjiang Diluted Water (CDW), Yellow Sea Cold Water (YSCW), Kuroshio Surface Water (KSW), and Kuroshio Intermediate Water (KIW) to the coastal waters off Jeju Island during the four seasons of 2017, and the concentration of dissolved organic carbon (DOC) and dissolved organic nitrogen (DON) based on the ratio of each water mass.
Figure 4

Principal component analysis of (A) the ratio of four water masses (CDW, YSCW, KSW, and KIW) across (B) seasons (red: winter; yellow: spring; blue: summer; and green: autumn) and depths (squares = surface and circles = water column) and (C) sampling stations. The results are presented as (A) a loading plot and (B, C) score plots.
4 Discussion
4.1 Spatiotemporal distribution of DOM
The concentrations of DOC and DON were comparable at all sampling stations during each season (Figure S2A), while the stations were not clearly separated in the PCA (Figure 4C), suggesting that the seawater was well mixed in this region. There was also no statistical difference (p < 0.05) in the concentration of DOM between the surface and water column samples, except during summer (Figure S2B). As illustrated in Figure 4B, the seasonal distribution was explained by the distribution of the water masses; however, the samples from the surface and water column were not clearly separated in the score plot except during summer, when the samples collected from surface water were orientated toward the CDW and KSW, while those from the water column were more strongly associated with the YSCW.
In this study, the four surrounding water masses (the YSCW, KIW, KSW, and CDW) were considered as sources of DOM in the coastal waters off Jeju Island. The contribution of each of these water masses can vary depending on the season, weather patterns, and ocean currents (Oh et al., 2013). Water mass analysis revealed that the KIW and KSW were the primary contributors to DOM across all seasons. These results are similar to those of a previous study that reported, based on salinity and 228Ra diagrams, that Kuroshio water was the highest contributor (up to 65%) to DOM in the vicinity of Jeju Island (Lee et al., 2014). However, the PCA of the ratio of the four water masses by season showed that the KIW had a greater impact on the coastal waters off Jeju Island during winter (79%) and spring (69%) than during the other seasons in 2017. In summer, the CDW (12%) and KSW (47%) had a stronger impact during summer than during the other seasons, while YSCW (10%) had a stronger impact during autumn. Ignoring the contribution of DOM production from biological processes due to the weak correlation between chl-a concentrations and DOC (r2 = 0.051, p > 0.01) and DON (r2 = 0.0006, p > 0.01) concentrations in this study area (Figure S3), it was found that during winter, 49 ± 4.9 µM of DOC and 4.3 ± 1.2 µM of DON originated from the KIW. For spring, contributions were 49 ± 2.5 µM of DOC and 3.6 ± 1.9 µM of DON from the KIW. During summer, the contribution of the CDW resulted in DOC and DON concentrations of 10 ± 1.9 and 0.9 ± 0.3 µM, respectively, whereas the contribution of KSW resulted in DOC and DON concentrations of 38 ± 7.2 and 3.2 ± 0.9 µM, respectively.
Based on the results of the present study, it appears that the DOM distribution in the coastal waters off Jeju Island approximately 5 km from the shore is primarily influenced by the surrounding water masses rather than other sources such as SGD or fish farm and WWTP wastewater. While SGD is recognized as an important source of nutrients and trace metals around Jeju Island (Jeong et al., 2012; Cho et al., 2019), the DOC concentration in SGD is generally lower (26 ± 11 μM) than that in seawater, indicating a negligible contribution to the overall DOC inventory in seawater (Kim and Kim, 2017). Additionally, the TDN concentration (0.13 ± 0.03 mg/L) in the study area, which can act as a marker of aquaculture activity, was lower than that recorded from drainage samples (0.74 ± 0.46 mg/L) directly obtained at the discharge outlet in the aquafarm region and in the coastal water near the aquafarm outlet (0.25 ± 0.26 mg/L). However, it was similar to the TDN concentration observed at a control site (0.12 ± 0.05 mg/L) located more than 5 km away from the aquafarms (Kim et al., 2022).
Furthermore, in contrast to the findings reported by Oh et al. (2021) for areas influenced by fresh/saline groundwater and land-based fish farm wastewater within 0.5 km of the coast, we observed that the DIN concentration did not follow the expected pattern of a decrease with an increase in salinity (Table S2), exhibiting an increase instead (Spearman’s r = 0.290, p < 0.01). This suggests that the study area was not directly influenced by SGD and fish farm effluent. Moreover, the ratio of reduced dissolved inorganic nitrogen (RDIN: NO2− and NH4+) to total dissolved inorganic nitrogen (TDIN: NO3−, NO2−, and NH4+) in the coastal water off Jeju Island (RDIN/TDIN: 0.4 ± 0.3) was lower than the ratio observed at eight WWTP effluent sites (0.9 ± 0.1) (Lee et al., 2022). The higher RDIN/TDIN ratio indicates that there is a larger proportion of nitrogen in its reduced state (RDIN) that has not undergone complete oxidation in the presence of WWTP effluent. However, certain specific patterns or variations in the distribution of DOM in the coastal seawater are not fully accounted for or explained by the conducted water mass analysis. These unexplained observations could stem from complex interplays of hydrodynamic or biochemical processes that extend beyond the scope of water mass analysis alone.
4.2 DOC and DON pulse in summer
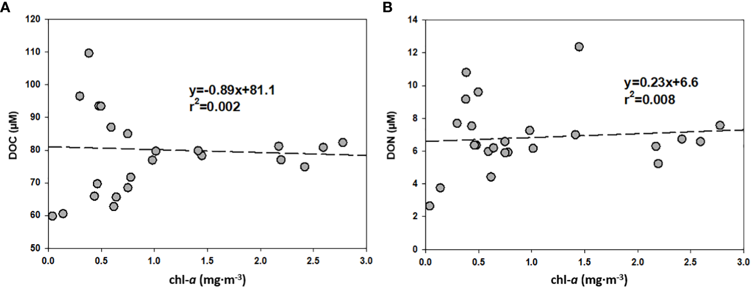
The relationship between DOC and DON concentrations and salinity during the four seasons in 2017 is summarized in Figure 5. The DOC and DON concentrations exhibited a significant and weak negative correlation with salinity only during summer (r2 = 0.868, p < 0.01 and r2 = 0.416, p < 0.01, respectively), suggesting that the DOC and DON concentrations during the summer are primarily influenced by the CDW (Moon et al., 2009; Kim et al., 2020). Additionally, the outcomes of the water mass analysis in Section 4.1 corroborate that the concentrations of DOC and DON are impacted by the CDW. However, a DOC and DON pulse was observed in the salinity range of 29.8–33.6 (Figure 5), and the extrapolated DOC and DON values (522 µM and 49 µM, respectively) at zero salinity were approximately three times higher than that previously reported at the Changjiang River mouth (DOC: 156 µM; DON: 14.5 µM) at zero salinity (Hung et al., 2003; Zhao and Gao, 2019). This suggests that the DOC and DON derived from the CDW did not undergo conservative mixing in this study area, implying that some mechanism led to the creation or alteration of DOC and DON rather than their simple preservation and transfer to Jeju waters. In general, DOM is mainly associated with phytoplankton production in the ocean (Duursma, 1961; Libby and Wheeler, 1997). However, the chl-a concentration was low in the present study (1.0 ± 0.8 µg/L), and there was a weak relationship between chl-a and DOC (r2 = 0.002, p > 0.01) and between chl-a and DON (r2 = 0.008, p > 0.01) (Figure 6). In a previous study, a pulse of DOC was observed within a salinity range of approximately 24–35 in the East China Sea and YS adjacent to Jeju Island (Kim et al., 2020). It was suggested that the increase in DOC was related to microbial metabolism, indicated by the high percentage of particulate organic carbon in the suspended particulate matter of the estuarine mixing zone. Similarly, due to the activity of bacterial hydrolytic ectoenzymes, a portion of the settled organic matter may be continuously released in the form of DOM (Smith et al., 1992; Glibert, 1993).
Figure 5

Scatterplots showing the relationship of (A) dissolved organic carbon (DOC) and (B) dissolved organic nitrogen (DON) concentrations with salinity in the coastal waters off Jeju Island during the winter (purple), spring (red), summer (blue), and autumn (yellow) of 2017. The regression lines for summer are depicted in black. The black-dotted lines represent the theoretical mixing line of end-members (between seawater with the highest salinity and the Changjiang River water), derived from previous studies (Hung et al., 2003; Zhao and Gao, 2019).
Figure 6

Scatterplots of the (A) dissolved organic carbon (DOC) and (B) dissolved organic nitrogen (DON) concentrations against the chlorophyll-a (chl-a) concentration during summer, 2017. The black-dotted lines indicate regression lines.
The FI, HIX, and BIX results supported the conclusion that microbial activity was the source of the DOC and DON pulse. The FI is commonly used to determine the origin of FDOM, with values below 1.4 suggesting a terrestrial source, values ranging from 1.4 to 1.9 indicating terrestrially and microbially derived fulvic acids, and values above 1.9 suggesting a microbial origin (McKnight et al., 2001; Zhang et al., 2010). HIX values less than 1.5 and BIX values larger than 1 indicate a biological or aquatic bacterial origin (Huguet et al., 2009; Zhang et al., 2010). In the present study, the FI, HIX and BIX values all fell within the ranges associated with microbial activity across all seasons (Figure 3).
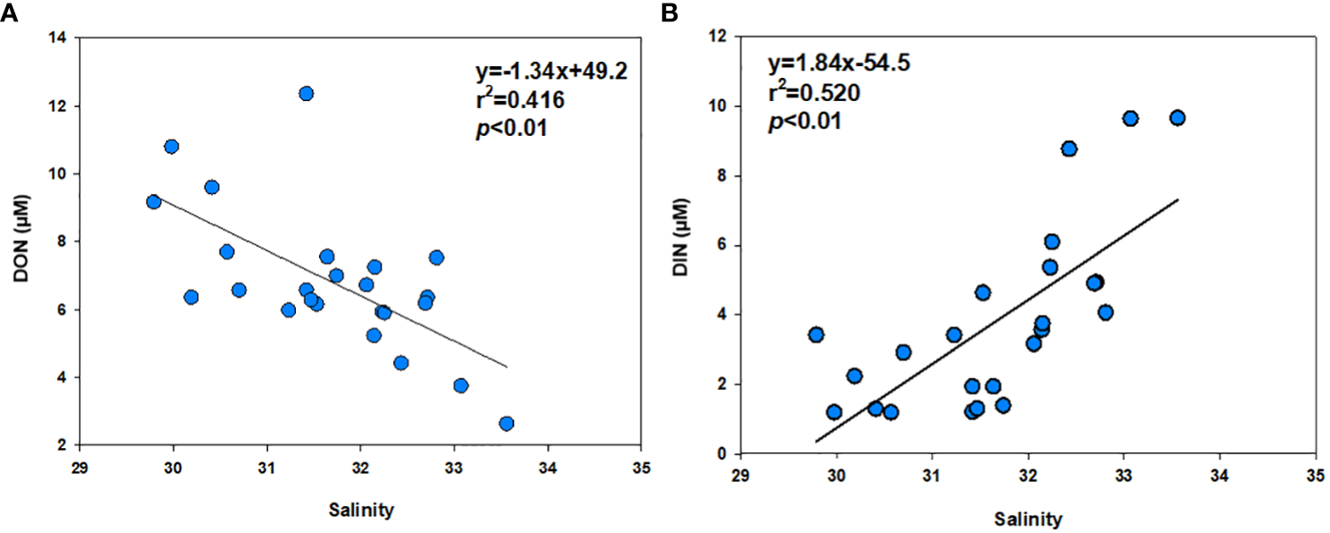
According to Kim et al. (2020), particulate organic matter can be transformed into DOM through heterotrophic microbial activity, which is then converted into inorganic nutrients. During the summer season, this process was confirmed using PCA, with PC1 and PC2 accounting for 53% and 22% of the total variance, respectively, and using Spearman’s analysis (Figure 7; Table S3). PC1 exhibited positive loadings for DOC and DON and negative loadings for salinity and DIN. The DOC concentration had a significant negative correlation with both salinity and DIN (Spearman’s r = -0.957 and -0.785, p < 0.01, respectively), indicating an inverse relationship. Similarly, the DON concentration had a significant negative correlation with both salinity and DIN (Spearman’s r = -0.540 and -0.716, p < 0.01, respectively). In the study region, the DON concentration was observed to decrease depending on the salinity range (29.8–33.6) (Figure 8). An extrapolated value of approximately 5.1 µM was obtained using linear regression analysis (y = -1.34x + 49.2, r2 = 0.416). In contrast, the DIN concentration increased with a higher salinity within the range of 29.8–33.6. An extrapolated value of approximately 6.91 µM was derived using linear regression analysis (y = 1.84x + 54.5, r2 = 0.520). The DIN concentration can be influenced by the infiltration of land-based nitrogen fertilizers and their subsequent transport into the coastal ocean through SGD (Cho et al., 2019). However, when considering the relationship between DIN and salinity, the DIN concentration appeared to be influenced by sources other than SGD. The opposite patterns observed for the DON and DIN concentrations suggest that DON was converted into DIN through microbial activity. DON is the main source of reactive nitrogen in the surface ocean, with DON degradation leading to the release of inorganic nutrients when DOC is consumed by bacteria (Letscher et al., 2013).
Figure 7

The principal component analysis loading plot for water characteristics (temperature, salinity, dissolved oxygen (DO)), chlorophyll-a (chl-a), dissolved organic carbon (DOC), dissolved organic nitrogen (DON), and inorganic nutrients (NO3-, NO2-, NH4+, Si(OH)4, and PO43−) during summer, 2017.
Figure 8

Scatterplots showing the relationship of (A) dissolved organic nitrogen (DON) and (B) dissolved inorganic nitrogen (DIN) concentrations with salinity in the coastal waters off Jeju Island during summer in 2017. The regression lines are depicted in black.
These results could be explained by the observed organic matter cycle and the long journey of the CDW from the Changjiang River mouth to Jeju Island (~450 km). In summer, the CDW reaches the vicinity of Jeju Island within 20–35 days (Lee et al., 2014). During this period, the DIN concentration in the East China Sea rapidly decreases, particularly 100–200 km from the Changjiang River mouth (Kwon et al., 2018). This depletion is associated with the rapid DIN consumption by phytoplankton during long-range transportation. During transportation to Jeju Island, primary production is reduced due to the depletion of inorganic nutrients, and particulate organic matter derived from primary production can be produced. This particulate organic matter can be converted to DOM through microbial activity (Davis and Benner, 2005; Kaiser and Benner, 2009; Ji et al., 2023) and then to inorganic nutrients in the vicinity of Jeju Island. During the experimental period of 10 to 15 days, the average DON concentration decreased by 40-70%, and this is explained by increased microbial biomass and DIN concentration (Seitzinger and Sanders, 1997). The observed organic matter cycle, in which particulate organic matter is transformed into DOM and then converted into DIN through the influence of water masses in the study area, is a likely contributor as a source of DIN in oligotrophic regions such as Jeju Island.
5 Conclusion
Disregarding the influence of biological processes on DOM production due to the limited correlation between chl-a concentrations and DOC as well as DON concentrations in this study region, water mass analysis identified the key contributors to DOM as the KIW and the KSW throughout all seasons. The PCA of water mass ratios by season indicated varying contributions from the four water masses. Specifically, the KIW had a substantial impact during winter and spring, while the CDW and KSW played more substantial roles in summer. A unique phenomenon observed during summer was the DOC and DON pulse within a specific salinity range. The DOC and DON concentrations showed a significant negative correlation with salinity, reflecting the influence of the CDW. Microbial activity was identified as a significant source of the observed DOC and DON pulse, indicated by various indices including the FI, HIX, and BIX. Moreover, the relationship between salinity, DIN, and DON concentrations suggested that microbial conversion of DON to DIN played a role in this ecosystem. POM is transformed into DOM and further converted into DIN through the influence of water masses in the study area, implying that the organic matter cycle could serve as a source of DIN in oligotrophic regions. This study highlighted the significant effects of microbial activity and water mass dynamics on DOM distribution and seasonal variation in the coastal waters off Jeju Island in 2017. These results partially fill the knowledge gaps regarding the organic matter cycle in the coastal waters off Jeju Island. However, further research investigating the sources and distribution of DOM, including biological and anthropogenic sources, atmospheric deposition, precipitation, and water mass dynamics, using biogeochemical parameters such as δ13C, δ14C, δ15N, or 228Ra is essential to gain a better understanding.
Statements
Data availability statement
The original contributions presented in the study are included in the article/Supplementary Material, further inquiries can be directed to the corresponding author/s.
Author contributions
YKS, YHO, DJJ and THK conceptualized this study. YKS. and JHK carried out the analysis under the supervision of THK. YKS wrote the original draft, and all authors contributed to the article and approved the submitted version.
Funding
This work was supported by the National Research Foundation of Korea (NRF) grant funded by the Korea government (NRF-2021R1A4A3029447, 2021M3I6A1089658, 2022M3I6A1085692, and 2022M3I6A1085990).
Acknowledgments
The authors thanks to all MBL members for helping in undertaking the field sampling and S.Y. Kang of Jeju National University for helping analysis of water mass ratio.
Conflict of interest
The authors declare that the research was conducted in the absence of any commercial or financial relationships that could be construed as a potential conflict of interest.
Publisher’s note
All claims expressed in this article are solely those of the authors and do not necessarily represent those of their affiliated organizations, or those of the publisher, the editors and the reviewers. Any product that may be evaluated in this article, or claim that may be made by its manufacturer, is not guaranteed or endorsed by the publisher.
Supplementary material
The Supplementary Material for this article can be found online at: https://www.frontiersin.org/articles/10.3389/fmars.2023.1250601/full#supplementary-material
References
1
Carlson C. A. Ducklow H. W. (1995). Dissolved organic carbon in the upper ocean of the central equatorial Pacific Ocean 1992: daily and finescale vertical variations. Deep Sea Res. Part ІІ Top. Stud. Oceanogr.42, 639–656. doi: 10.1016/0967-0645(95)00023-J
2
Catalá T. S. Martínez-Pérez A. M. Nieto-Cid M. Álvarez M. Otero J. Emelianov M. et al . (2018). Dissolved Organic Matter (DOM) in the open Mediterranean Sea. I. Basin–wide distribution and drivers of chromophoric DOM. Prog. Oceanogr.165, 35–51. doi: 10.1016/j.pocean.2018.05.002
3
Chen C. C. Shiah F. K. Chiang K. P. Gong G. C. Kemp W. M. (2009). Effects of the Changjiang (Yangtze) River discharge on planktonic community respiration in the East China Sea. J. Geophys. Res. Oceans114, C03005. doi: 10.1029/2008JC004891
4
Cho H. M. Kim T. H. Moon J. H. Song B. C. Hwang D. W. Kim T. et al . (2021). Estimating submarine groundwater discharge in Jeju volcanic island (Korea) during a typhoon (Kong-rey) using humic-fluorescent dissolved organic matter-Si mass balance. Sci. Rep.11 (1), 941. doi: 10.1038/s41598-020-79381-0
5
Cho H. M. Kim G. Shin. K. H. (2019). Tracing nitrogen sources fueling coastal green tides off a volcanic island using radon and nitrogen isotopic tracers. Sci. Total Environ.665, 913–919. doi: 10.1016/j.scitotenv.2019.02.212
6
Davis J. Benner R. (2005). Seasonal trends in the abundance, composition and bioavailability of particulate and dissolved organic matter in the Chukchi/Beaufort Seas and western Canada Basin. Deep Sea Res. Part II Top. Stud. Oceanogr.52 (24-26), 3396–3410. doi: 10.1016/j.dsr2.2005.09.006
7
Doval M. Hansell D. A. (2000). Organic carbon and apparent oxygen utilization in the western South Pacific and central Indian Ocean. Mar. Chem.68, 249–264. doi: 10.1016/S0304-4203(99)00081-X
8
Druffel E. R. Williams P. M. Bauer J. E. Ertel J. R. (1992). Cycling of dissolved and particulate organic matter in the open ocean. J. Geophys. Res. Oceans.97 (C10), 15639–15659. doi: 10.1029/92JC01511
9
Duursma E. K. (1961). Dissolved organic carbon, nitrogen and phosphorus in the sea. Neth. J. Sea Res.1 (1-2), 1–141. doi: 10.1016/0077-7579(61)90002-3
10
Glibert P. M. (1993). The interdependence of uptake and release of NH4+ and organic nitrogen. Mar. Microb. Food Webs7 (1), 53–67.
11
Guo J. Q. Liang S. K. Li X. J. Li W. Wang Y. F. Su R. G. (2018). Composition and bioavailability of dissolved organic matter in different water masses of the East China sea. Estuar. Coast. Shelf Sci.212, 189–202. doi: 10.1016/j.ecss.2018.07.009
12
Hansell D. A. Carlson C. A. (1998). Net community production of dissolved organic carbon. Glob. Biogeochem. Cycles12, 443–453. doi: 10.1029/98GB01928
13
Hedges J. I. (1992). Global biogeochemical cycles: progress and problems. Mar. Chem.39 (1-3), 67–93. doi: 10.1016/0304-4203(92)90096-S
14
Huguet A. Vacher L. Relexans S. Saubusse S. Froidefond J. M. Parlanti E. (2009). Properties of fluorescent dissolved organic matter in the Gironde Estuary. Org. Geochem.40 (6), 706–719. doi: 10.1016/j.orggeochem.2009.03.002
15
Hung J. J. Chen C. H. Gong G. C. Sheu D. D. Shiah F. K. (2003). Distributions, stoichiometric patterns and cross-shelf exports of dissolved organic matter in the East China Sea. Deep Sea Res. Part II Top. Stud. Oceanogr.50 (6-7), 1127–1145. doi: 10.1016/S0967-0645(03)00014-6
16
Hur J. Lee B. M. Shin H. S. (2011). Microbial degradation of dissolved organic matter (DOM) and its influence on phenanthrene–DOM interactions. Chemosphere85 (8), 1360–1367. doi: 10.1016/j.chemosphere.2011.08.001
17
Ichikawa H. Beardsley R. C. (2002). The current system in the Yellow and East China Seas. J. Oceanogr.58, 77–92. doi: 10.1023/A:1015876701363
18
Isobe A. Ando M. Watanabe T. Senjyu T. Sugihara S. Manda A. (2002). Freshwater and temperature transports through the Tsushima-Korea Straits. J. Geophys. Res. Oceans.107 (C7), 2–1. doi: 10.1029/2000JC000702
19
Jeong J. Kim G. Han S. (2012). Influence of trace element fluxes from submarine groundwater discharge (SGD) on their inventories in coastal waters off volcanic island, Jeju, Korea. Appl. Geochem.27 (1), 37–43. doi: 10.1016/j.apgeochem.2011.08.014
20
Ji C. X. Yang G. P. Chen Y. He Z. Li Y. Zhang L. (2023). Contrast the distribution, transformation, and degradation of dissolved and particulate organic matter in the South Yellow Sea, the East China Sea, and its adjacent Kuroshio Current. Mar. Chem.248, 104210. doi: 10.1016/j.marchem.2023.104210
21
Jiao N. Herndl G. J. Hansell D. A. Benner R. Kattner G. Wilhelm S. W. et al . (2010). Microbial production of recalcitrant dissolved organic matter: long-term carbon storage in the global ocean. Nat. Rev. Microbiol.8 (8), 593–599. doi: 10.1038/nrmicro2386
22
Kaiser K. Benner R. (2009). Biochemical composition and size distribution of organic matter at the Pacific and Atlantic time-series stations. Mar. Chem.113 (1-2), 63–77. doi: 10.1016/j.marchem.2008.12.004
23
Kang S. Y. Moon J. H. (2022). Distribution of water masses and characteristics of temperature inversion in the Western Seas of Jeju Island in spring. Ocean. Polar Res.44 (3), 191–207. doi: 10.4217/OPR.2022018
24
Kim S. Frontalini F. Martins V. Lee W. (2016). Modern benthic foraminiferal diversity of Jeju Island and initial insights into the total foraminiferal diversity of Korea. Mar. Biodivers.46, 337–354. doi: 10.1007/s12526-015-0364-2
25
Kim T. H. Kim G. (2013). Factors controlling the C: N: P stoichiometry of dissolved organic matter in the N-limited, cyanobacteria-dominated East/Japan Sea. J. Mar. Syst.115, 1–9. doi: 10.1016/j.jmarsys.2013.01.002
26
Kim J. Kim G. (2017). Inputs of humic fluorescent dissolved organic matter via submarine groundwater discharge to coastal waters off a volcanic island (Jeju, Korea). Sci. Rep.7 (1), 7921. doi: 10.1038/s41598-017-08518-5
27
Kim J. Kim Y. Park S. E. Kim T. H. Kim B. G. Kang D. J. et al . (2022). Impact of aquaculture on distribution of dissolved organic matter in coastal Jeju Island, Korea, based on absorption and fluorescence spectroscopy. Environ. Sci. Pollut. Res.29, 553–563. doi: 10.1007/s11356-021-15553-3
28
Kim J. Kim T. H. Park S. R. Lee H. J. Kim J. K. (2020). Factors controlling the distributions of dissolved organic matter in the East China Sea during summer. Sci. Rep.10 (1), 11854. doi: 10.1038/s41598-020-68863-w
29
Kim T. H. Kwon E. Kim I. Lee S. A. Kim G. (2013). Dissolved organic matter in the subterranean estuary of a volcanic island, Jeju: Importance of dissolved organic nitrogen fluxes to the ocean. J. Sea Res.78, 18–24. doi: 10.1016/j.seares.2012.12.009
30
Kim I. O. Rho H. K. (1994). A study on China coastal water appeared in the neighbouring seas of Cheju Island. Korean J. Fish. Aquat. Sci.27 (5), 515–528.
31
Kwon H. K. Kim G. Hwang J. Lim W. A. Park J. W. Kim T. H. (2018). Significant and conservative long-range transport of dissolved organic nutrients in the Changjiang diluted water. Sci. Rep.8 (1), 12768. doi: 10.1038/s41598-018-31105-1
32
Kwon H. K. Kim G. Kim T. H. Park S. E. Lee W. C. (2022). Quantification of groundwater versus fish-farm sources of nutrients in the coastal water off Jeju Island, Korea, using fluorescent dissolved organic matter as a tracer. J. Sea Res.188, 102270. doi: 10.1016/j.seares.2022.102270
33
Lechtenfeld O. J. Kattner G. Flerus R. McCallister S. L. Schmitt-Kopplin P. Koch B. P. (2014). Molecular transformation and degradation of refractory dissolved organic matter in the Atlantic and Southern Ocean. Geochim. Cosmochim. Acta126, 321–337. doi: 10.1016/j.gca.2013.11.009
34
Lee H. Kim G. Kim J. Park G. Song K. H. (2014). Tracing the flow rate and mixing ratio of the Changjiang diluted water in the northwestern Pacific marginal seas using radium isotopes. Geophys. Res. Lett.41 (13), 4637–4645. doi: 10.1002/2014GL060230
35
Lee J. H. Pang I. C. Moon J. H. (2016). Contribution of the Yellow Sea Bottom Cold Water to the abnormal cooling of sea surface temperature in the summer of 2011. J. Geophys. Res.: Oceans121, 3777–3789. doi: 10.1002/2016JC011658
36
Lee M. Y. Park H. J. Moon J. H. Kim S. Kim S. Choi Y. et al . (2022). Effects of wastewater effluent-borne nutrients on phytoplankton off the coast of Jeju Island. Mar. Pollut. Bull.185, 114280. doi: 10.1016/j.marpolbul.2022.114280
37
Letscher R. T. Hansell D. A. Carlson C. A. Lumpkin R. Knapp A. N. (2013). Dissolved organic nitrogen in the global surface ocean: Distribution and fate. Glob. Biogeochem. Cycles.27, 141–153. doi: 10.1029/2012GB004449
38
Libby P. S. Wheeler P. A. (1997). Particulate and dissolved organic nitrogen in the central and eastern equatorial Pacific., Deep Sea Res. Part I Oceanogr. Res. Pap.44, 345–361. doi: 10.1016/S0967-0637(96)00089-1
39
Lie H. J. Cho C. H. (2016). Seasonal circulation patterns of the Yellow and East China Seas derived from satellite-tracked drifter trajectories and hydrographic observations. Prog. Oceanogr.146, 121–141. doi: 10.1016/j.pocean.2016.06.004
40
Lie H. J. Cho C. H. Lee J. H. Lee S. (2003). Structure and eastward extension of the Changjiang River plume in the East China Sea. J. Geophys. Res. Oceans.108 (C3), 3077. doi: 10.1029/2001JC001194
41
Liu Q. Pan D. Bai Y. Wu K. Chen C. T. A. Liu Z. et al . (2014). Estimating dissolved organic carbon inventories in the East China Sea using remote-sensing data. J. Geophys. Res.119, 6557–6574. doi: 10.1002/2014jc009868
42
McKnight D. M. Boyer E. W. Westerhoff P. K. Doran P. T. Kulbe T. Andersen D. T. (2001). Spectrofluorometric characterization of dissolved organic matter for indication of precursor organic material and aromaticity. Limnol. Oceanogr.46 (1), 38–48. doi: 10.4319/lo.2001.46.1.0038
43
Moon J. H. Pang I. C. Yoon J. H. (2009). Response of the Changjiang diluted water around Jeju Island to external forcings: A modeling study of 2002 and 2006. Cont. Shelf Res.29 (13), 1549–1564. doi: 10.1016/j.csr.2009.04.007
44
Nagata T. Kirchman D. L. (1992). Release of macromolecular organic complexes by heterotrophic marine flagellates. Mar. Ecol. Prog. Ser.83, 233–240.
45
Oh Y. H. Kim Y. Park S. R. Lee T. Son Y. B. Park S. E. et al . (2021). Spatiotemporal change in coastal waters caused by land-based fish farm wastewater-borne nutrients: Results from Jeju Island, Korea. Mar. Pollut. Bull.170, 112632. doi: 10.1016/j.marpolbul.2021.112632
46
Oh K. H. Lee S. Song K. M. Lie H. J. Kim Y. T. (2013). The temporal and spatial variability of the Yellow Sea Cold Water Mass in the southeastern Yellow Sea 2009–2011. Acta Oceanologica. Sin.32, 1–10. doi: 10.1007/s13131-013-0346-9
47
Oh K. H. Pang I. C. (2000). A seasonal circulation in the East China Sea and the Yellow Sea and its possible cause. J. Korean Soc Oceanogr.35 (4), 161–169.
48
Pang I. C. Hong C. S. Chang K. I. Lee J. C. Kim J. T. (2003). Monthly variation of water mass distribution and current in the Cheju Strait. J. Korean Soc Oceanogr.38 (3), 87–100.
49
Pang I. C. Hyun K. H. (1998). Seasonal variation of water mass distributions in the eastern Yellow Sea and the Yellow Sea Warm Current. J. Kor. Soc Oceanogr.33 (3), 41–52.
50
Park Y. H. (1986). Water characteristics and movements of the Yellow Sea Warm Current in summer. Prog. Oceanogr.17 (3), 243–254. doi: 10.1016/0079-6611(86)90047-9
51
Park J. Shin Y. H. Byrne R. (2016). Late-Holocene vegetation and climate change in Jeju Island, Korea and its implications for ENSO influences. Quat. Sci. Rev.153, 40–50. doi: 10.1016/j.quascirev.2016.10.011
52
Pöppelmeier F. Gutjahr M. Blaser P. Oppo D. W. Jaccard S. L. Regelous M. et al . (2020). Water mass gradients of the mid-depth Southwest Atlantic during the past 25,000 years. Earth Planet. Sci. Lett.531, 115963. doi: 10.1016/j.epsl.2019.115963
53
Sanwlani N. Evans C. D. Müller M. Cherukuru N. Martin P. (2022). Rising dissolved organic carbon concentrations in coastal waters of northwestern Borneo related to tropical peatland conversion. Sci. Adv.8 (15), eabi5688. doi: 10.1126/sciadv.abi5688
54
Seitzinger S. P. Sanders R. W. (1997). Contribution of dissolved organic nitrogen from rivers to estuarine eutrophication. Mar. Ecol. Prog. Ser.159, 1–12. doi: 10.3354/meps159001
55
Seritti A. Manca B. B. Santinelli C. Murru E. Boldrin A. Nannicini L. (2003). Relationships between dissolved organic carbon (DOC) and water mass structures in the Ionian Sea (winter 1999). J. Geophys. Res. Oceans.108 (C9), 8112. doi: 10.1029/2002JC001345
56
Siegenthaler U. Sarmiento J. L. (1993). Atmospheric carbon dioxide and the ocean. Nature365 (6442), 119–125. doi: 10.1038/365119a0
57
Smith D. Simon M. Alldredge A. L. Azam F. (1992). Intense hydrolytic enzyme activity on marine aggregates and implications for rapid particle dissolution. Nature359, 139–142. doi: 10.1038/359139a0
58
Son Y. B. Choi J. K. (2022). Mapping the Changjiang diluted water in the East China Sea during summer over a 10-year period using GOCI satellite sensor data. Front. Mar. Sci.9. doi: 10.3389/fmars.2022.1024306
59
Song J. W. (2020). Seasonal characteristics of dissolved organic matter (DOM) in coastal water of Jeju Island (Korean: Jeju National University).
60
Stedmon C. A. Bro R. (2008). Characterizing dissolved organic matter fluorescence with parallel factor analysis: a tutorial. Limnol. Oceanogr-Meth.6 (11), 572–579. doi: 10.4319/lom.2008.6.572
61
Wang B. Hirose N. Moon J. H. Yuan D. (2013). Difference between the Lagrangian trajectories and Eulerian residual velocity fields in the southwestern Yellow Sea. Ocean Dyn.63 (5), 565–576. doi: 10.1007/s10236-013-0607-3
62
Wang Y. Jiang H. Jin J. Zhang X. Lu X. Wang Y. (2015). Spatial-temporal variations of chlorophyll-a in the adjacent sea area of the Yangtze River estuary influenced by Yangtze River discharge. Int. J. Environ. Res. Public Health12 (5), 5420–5438. doi: 10.3390/ijerph120505420
63
Williams P. J. L. B. (2000). “Heterotrophic bacteria and the dynamics of dissolved organic material,” in Microbial ecology of the oceans, 1st ed. Ed. KirchmanD. L. (New York: Wiley-Liss), 153–200.
64
Zhang Y. Zhang E. Yin Y. Van Dijk M. A. Feng L. Shi Z. et al . (2010). Characteristics and sources of chromophoric dissolved organic matter in lakes of the Yungui Plateau, China, differing in trophic state and altitude. Limnol. Oceanogr.55 (6), 2645–2659. doi: 10.4319/lo.2010.55.6.2645
65
Zhao L. Gao L. (2019). Dynamics of dissolved and particulate organic matter in the Changjiang (Yangtze River) Estuary and the adjacent East China Sea shelf. J. Mar. Syst.198, 103188. doi: 10.1016/j.jmarsys.2019.103188
Summary
Keywords
dissolved organic carbon, dissolved organic nitrogen, Jeju island, water mass, microbial activity
Citation
Song YK, Kim J, Oh YH, Joung D and Kim T-H (2023) Factors controlling the distribution of dissolved organic carbon and nitrogen in the coastal waters off Jeju Island. Front. Mar. Sci. 10:1250601. doi: 10.3389/fmars.2023.1250601
Received
30 June 2023
Accepted
22 August 2023
Published
14 September 2023
Volume
10 - 2023
Edited by
Jun Sun, China University of Geosciences Wuhan, China
Reviewed by
Satheeswaran Thangaraj, Hebrew University of Jerusalem, Israel; Mi Sun Yun, Tianjin University of Science and Technology, China
Updates
Copyright
© 2023 Song, Kim, Oh, Joung and Kim.
This is an open-access article distributed under the terms of the Creative Commons Attribution License (CC BY). The use, distribution or reproduction in other forums is permitted, provided the original author(s) and the copyright owner(s) are credited and that the original publication in this journal is cited, in accordance with accepted academic practice. No use, distribution or reproduction is permitted which does not comply with these terms.
*Correspondence: Tae-Hoon Kim, thkim80@jnu.ac.kr
Disclaimer
All claims expressed in this article are solely those of the authors and do not necessarily represent those of their affiliated organizations, or those of the publisher, the editors and the reviewers. Any product that may be evaluated in this article or claim that may be made by its manufacturer is not guaranteed or endorsed by the publisher.