Abstract
Introduction:
The oceanic waters around the Azores host a high diversity of cetaceans, with 28 species of toothed and baleen whales present year-round or seasonally. This high cetacean biodiversity likely plays an important role in the structure, functioning and productivity of the ecosystem, and may increase trophic redundancy, thus contributing to food web resilience to disturbances.
Methods:
Here we used stable isotope (δ13C and δ15N) analysis to characterize trophic niches, assess niche overlap, describe the trophic structure and discuss potential redundancy in the cetacean community. Using 407 samples from 12 species, we estimated Standard Ellipse Areas and overlaps between species and used a hierarchical clustering analysis to identify trophic guilds.
Results and discussion:
δ 13C and δ15N values ranged from -20.53 to -15.46‰ and from 7.78 to 14.41‰ respectively, suggesting the use of diverse habitats and resources among cetacean species. Clustering analysis revealed that species were grouped into four trophic guilds, segregated mainly by trophic position (TP): a low-TP guild with three zooplanktivore baleen whales, a mid-TP guild with micronektivores, a high-TP guild with micronekton and nekton consumers, and a cluster with only Pseudorca crassidens. There was significant isotopic niche overlap between one pair of species within each guild, indicating some potential for trophic redundancy in the community. Yet, these pairs also showed some form of spatial or temporal partitioning, suggesting that mechanisms promoting species coexistence could play a key role in structuring the cetacean community in the region and in its ecological role.
1 Introduction
Apex and large-bodied marine predators such as cetaceans play important roles in ecosystem structure, function and productivity. Despite their relatively low abundance compared to other taxa, they can have disproportionate influence on food web structure, exerting top-down controls on prey populations through direct consumption and non-consumptive interactions (Baum and Worm, 2009; Estes et al., 2016). Cetaceans can also influence nutrient dynamics, by releasing nutrient-rich waste in surface waters, transporting nutrients within and across ecosystems through their extensive movements, and transferring nutrients from deep waters to the surface and vice-versa (Roman and McCarthy, 2010; Roman et al., 2014; Doughty et al., 2016; Ratnarajah et al., 2018; Gilbert et al., 2023). However, cetaceans are a very diverse group, and species’ traits (e.g., morphological, physiological, behavioral characteristics) determine their trophic niche and interactions in the food web, which, in turn, govern their contribution to energy and nutrient flows in the ecosystem (Laigle et al., 2018). Knowledge of the trophic structure of cetacean assemblages is therefore fundamental to understand the ability of this community to fill diverse niches and contribute to the diversity of trophic interactions, and to determine how species are distributed among distinct trophic groups. Such knowledge can provide insights into the breadth of functions of the cetacean community as a whole in key ecosystem processes, as well as to the extent to which different species share similar ecological roles.
The Azores (Portugal) is the most remote archipelago in the North Atlantic, distancing about 1000 nm from continental Europe and 3000 nm from North America. Despite being oligotrophic, the region is characterized by dynamic ocean processes which interact with high seafloor complexity creating nutrient pulses that stimulate productivity and attract many marine megafauna species (Afonso et al., 2020). The waters around the Azores host a high diversity of cetaceans, with 28 species documented, including species that are present year-round (e.g., Delphinus delphis, Tursiops truncatus, Grampus griseus, Stenella coeruleoalba, Physeter macrocephalus, Ziphius cavirostris, Mesoplodon bidens, M. densirostris), seasonal visitors (e.g., Balaenoptera musculus, B. physalus, B. borealis, Stenella frontalis, Hyperoodon ampullatus), and regular visitors with no clear seasonality (e.g., Globicephala macrorhynchus, Pseudorca crassidens, Megaptera novaeangliae, B. acutorostrata, Orcinus orca), in addition to other less frequently sighted species (Silva et al., 2014). The community comprises species that typically occupy different feeding guilds: small dolphins that feed on a variety of epipelagic micronekton, toothed whales that consume meso- to bathypelagic prey, and baleen whales that prey on zooplankton and small fish (Silva et al., 2014), likely plays an important role in the local food web (Morato et al., 2016) and may contribute significantly to the supply of nutrients in this nutrient-depleted region (Gilbert et al., 2023). Furthermore, the existence of several species with potentially similar trophic ecologies could contribute to higher trophic redundancy within predator guilds, thereby increasing food web resilience to environmental or anthropogenic disturbances (Sanders et al., 2018). However, our understanding of the ecological role of the cetacean community in this oceanic region is limited by the lack of empirical knowledge of their feeding habits in the area. Such information is typically obtained from the analysis of stomach contents of stranded or bycaught cetaceans, both of which are rare in the region (Silva et al., 2014).
Stable isotope analysis (SIA) has been widely used to reconstruct the diet and trophic ecology of populations and interactions within communities (Boecklen et al., 2011). In the marine system, bulk carbon (δ13C) and nitrogen (δ15N) stable isotope values are the most commonly used isotopes, because δ13C values fluctuate mainly with primary carbon sources, giving information on the origin of food resources (e.g., δ13C values tend to decrease from coastal and benthic sources to offshore and pelagic sources), while δ15N increases by 2-4‰ at each trophic level, mostly reflecting the trophic position of consumers within a particular ecosystem (DeNiro and Epstein, 1978; Carlier et al., 2015). δ13C and δ15N are also increasingly used to characterize isotopic niches (Newsome et al., 2017) as a proxy of ecological niches (Hutchinson, 1957, 1978), and different metrics have been proposed to quantify niche width, diversity, overlap and describe trophic structure at the species or community level (Layman et al., 2007). One advantage of SIA is that it can be performed using small samples of skin tissue collected from live animals, thereby circumventing the lack of stomach samples. Another advantage is that the isotope composition provides dietary information integrated over days to a few months, depending on the tissue turnover rate (Crawford et al., 2008), whereas stomach content analysis (SCA) gives information on recently ingested prey. Indeed, although skin turnover rate is unknown for most species, full incorporation of stable isotopes from prey into skin tissue in cetaceans has been estimated to take 2.5 to 6 months (reviewed in Wild et al., 2018). Because stable isotope data from cetacean skin reflects diet over several months, it provides a time-integrated description of trophic niches and of the community structure, that contrasts with the snapshot view provided by SCA.
In this study, we determined the δ13C and δ15N composition of the skin of 12 species of cetaceans (four baleen whales, six delphinids, one beaked whale and the sperm whale) sampled off the Azores to: 1) characterize their isotopic niche (used as a proxy of trophic niche), identify trophic guilds within the community and assess inter- and intra- guild variability in niche characteristics, and 2) measure isotopic niche overlap among species to better understand resource partitioning and trophic redundancy within the cetacean community. We predict that the community is divided into distinct trophic guilds, driven mainly by variation in δ15N values associated with differences in feeding habits between species. Within each guild, we expect higher niche overlap among species known to be spatially or temporally segregated, and lower niche overlap among species that coexist in the same area and time. Compared to species present year-round, seasonal visitors and migratory species should have wider niche spaces, reflecting a higher diversity of basal sources. Finally, we discuss the potential importance of trophic redundancy within the cetacean community in light of the current knowledge of the spatiotemporal distribution and abundance of each species in the area.
2 Materials and methods
2.1 Sample collection and processing
We analyzed 407 skin samples from 12 species collected between 2002 and 2019 off the archipelago of the Azores, Portugal (Figure 1). Of these, 392 samples were obtained from free-ranging live animals using biopsy darts fired from a crossbow, and 15 samples were from fresh carcasses of stranded animals (decomposition codes 1 and 2 according to Van Canneyt et al. (2015); Supplementary Table S1). Samples collected from live animals were stored in Eppendorf tubes in a cooler until being transferred to a -80°C freezer, while samples from strandings were immediately stored at -80°C. All samples had information on date, time, geographic position, as well as approximate (biopsy samples) or exact (samples from strandings) body length of the sampled individual. Most samples from B. musculus (n=17), B. physalus (n=42) and B. borealis (n=39) have already been analyzed by Silva et al. (2019).
Figure 1

Locations of biopsy and stranding skin samples collected (n=407) from 12 cetacean species (each different point colors) between 2002 and 2019 in the archipelago of the Azores (Portugal). Symbols indicate the taxonomic group: squares = Mysticeti, circles = Delphinidae, triangles = Ziphiidae, diamonds = Physeteridae. Bathymetry lines are every 200 m. See Table 1 for abbreviated name of species.
2.2 Stable isotope analysis
The presence of lipids in samples usually results in more negative δ13C values because lipids are depleted in 13C compared to the proteins contained in the skin. To avoid this bias, lipids can be extracted from samples. Although results were inconsistent, Ryan et al. (2012) found that δ15N can also, to a lesser extent, be affected by lipid-extraction, and the authors suggest measuring δ13C in lipid-extracted tissue and δ15N in non-extracted tissue. Other studies that examined the effect of lipid-extraction on δ15N revealed decreases, increases or no changes in δ15N (Post et al., 2007; Wilson et al., 2014; Giménez et al., 2017). Because biopsy skin samples were also used for genetic analyses, the amount of tissue was not sufficient to analyze each isotope on different sub-samples. Therefore, both δ13C and δ15N were measured in lipid-extracted samples. This method was selected to ensure consistency with prior studies which have used the same samples and maintaining coherence within the existing literature.
Lipids were extracted from the skin using a 2:1 chloroform:methanol solution and washed using 15 Ω water, and lipid-extracted samples were stored in Eppendorf tubes without water at -80°C. Samples were then freeze-dried for 48 hours and manually ground until a homogeneous fine powder was obtained. Powder samples of approximately 1 mg were analyzed through and isotope ratio mass spectrometer (University of New Hampshire Stable Isotope Laboratory, Marinova, IsoAnalytics, Centres Científics i Tecnològics of the University of Barcelona (CCiT-UB), precision always <0.3 ‰ for δ13C and <0.4 ‰ for δ15N). Carbon and nitrogen stable isotope values are expressed as δ in ‰ relative to the Vienna Pee Dee Belemnite (PDB) standard and atmospheric nitrogen (AIR), respectively. For samples with a mass C:N higher than 3.5 after lipid extraction (n=22), δ13C values were mathematically corrected using the equation from Post et al. (2007).
2.3 Data analysis
Prior to analysis, skin δ13C values were corrected to account for the Suess effect -0.026‰ per year (Körtzinger et al., 2003).
Studies on the effects of decomposition on skin isotopic ratios of cetaceans have provided contrasting results. While Payo-Payo et al. (2013) did not detect any significant changes in either δ15N or δ13C in the skin of S. coeruleoalba after 62 days at ambient temperature, Burrows et al. (2014) showed that Orcinus orca skin was significantly enriched in 15N and 13C after 3 days at 20°C, and continued to increase up to 14 days, reaching values 6.4‰ higher in δ15N and 1‰ higher in δ13C. Although samples from animals showing signs of decomposition were not included in the analysis, we performed an outlier analysis to identify any potential bias due to decomposition. We used the Mahalanobis distance (MD) to calculate the distance between each δ13C-δ15N pair in the bivariate plot space and the centroid of the cloud encompassing all samples (Ghorbani, 2019). Individual distances were then compared to a chi-squared distribution with two dependent variables: δ13C and δ15N. If the MD was greater than the threshold defined at the 99% confidence interval of the chi-square distribution, the individual was considered an outlier. The analysis was conducted in the rstatix package (Kassambara, 2023). No sample was considered an outlier, therefore, isotopic measurements from biopsy and stranding samples were pooled for further analysis. For two species (M. bidens and S. coeruleoalba), only samples from stranded animals were available, which made the comparison with biopsy samples impossible. All samples from these two species were collected from fresh specimens with no evident signs of decomposition, and we chose to keep these data for a more comprehensive analysis of the trophic ecology of the cetacean community off the Azores. Nevertheless, results for these species should be interpreted with caution.
Differences in δ13C and δ15N between species were assessed using Generalized Linear Mixed Models (GLMMs), as data were not normally distributed (Shapiro-Wilk test results Supplementary Table S2). Separate models were fit for each isotope, using species as a fixed effect, and year and season as random effects, to account for potential temporal variability in isotope compositions. The significance of differences in δ13C and δ15N between species was determined by pairwise comparisons of the estimated marginal means, adjusted for multiple comparisons by Bonferroni corrections. GLMMs were fit using the lme4 package (Bates et al., 2015) and pairwise comparisons with the emmeans package (Lenth, 2022).
We used Layman metrics (Layman et al., 2007) to characterize species’ isotopic niche spaces, determine the distribution of sampled individuals within those niches, and compare niche characteristics between species. For each species, six metrics were computed: δ15N range, δ13C range, total area (TA), mean distance to centroid (CD), mean nearest neighbor distance (NND) and standard deviation of nearest neighbor distance (SDNND). The range of δ15N and δ13C (in ‰) provides information on the trophic length and diversity of basal resources for each species, respectively. TA is a measure of niche width (in ‰²), while CD (in ‰) is a proxy for niche diversity. Individual similarity and evenness in distribution within the species δ15N-δ13C niche space are estimated by the NND and the SDNND (both in ‰), respectively (low NND indicates high density or clustering of individuals within the niche space, and low SDNND indicates more even distribution of individuals within the niche space). All metrics were calculated using the SIBER package (Jackson et al., 2011) in R. Estimates of δ13C and δ15N ranges and TA are especially affected by extreme values and therefore highly sensitive to sample size (Jackson et al., 2011). To reduce the bias caused by small sample sizes and uneven number of samples between species, we bootstrapped all the metrics with replacement (n=10 000) using the boot package (Canty and Ripley, 2022).
To estimate species’ isotopic niche size and overlaps between species we calculated Bayesian ellipses (SEAB) using the ‘bayesianOverlap’ function in SIBER package (Jackson et al., 2011). SEAB were calculated as the mean of the 4000 replicates of basic Standard Ellipse Areas (SEA), which contain approximately 40% of the data for each species (modes ± SE in Supplementary Table S3) (Jackson et al., 2011). Then, for every pair of 4000 SEAB generated by the model, we calculated the mean (and 95% credible intervals) proportion of the ellipse of species A overlapping in the ellipse of species B (i.e., the area of overlap/area of species B) and vice versa.
Finally, we used a hierarchical clustering to define trophic guilds within the community. A dissimilarity matrix was done using the Euclidean distance between mean δ13C and δ15N values of each species, and clusters were determined using the Ward’s method. The optimal number of clusters was assessed using the Jaccard similarity coefficient (hereafter Jaccard index, JI) which ranges from 0 to 1, with values ≤0.6 indicating an unstable cluster, values between 0.6-0.75 indicating a pattern in the data, and those ≥0.75 a stable cluster (Hennig, 2023). Analyses were performed using the packages stats (R Core Team, 2022) and fpc (Hennig, 2023) in R.
All analyses were done in R version 4.2.2 (R Core Team, 2022).
3 Results
A total of 407 skin samples from 12 cetacean species were included in the trophic niche analyses. These species showed a wide range of δ15N (from 7.78‰ to 14.41‰) and δ13C values (from -20.53‰ to -15.46‰) (Table 1; Figure 2).
Table 1
| Species | Taxonomic group | Abr | N | Year | δ 13C | δ 15N | Presence in the Azores | ||
|---|---|---|---|---|---|---|---|---|---|
| Mean ± SD | Min-Max | Mean ± SD | Min-Max | ||||||
| Balaenoptera borealis | Mysticeti | Bbo | 39 | 2005 – 2019 | -17.53 ± 0.96 | -19.56 – -15.80 | 9.06 ± 0.53 | 7.78 – 10.27 | Spring – early summer |
| Balaenoptera musculus | Mysticeti | Bmu | 24 | 2008 – 2019 | -18.83 ± 0.89 | -19.76 – -16.33 | 9.16 ± 0.70 | 8.03 – 11.03 | Spring – early summer |
| Balaenoptera physalus | Mysticeti | Bph | 127 | 2002 – 2017 | -19.37 ± 0.50 | -20.53 – -17.29 | 9.37 ± 0.61 | 8.3 – 11.92 | January – October (peak in May – June) |
| Megaptera novaeangliae | Mysticeti | Mno | 4 | 2010–2017 | -19.31 ± 0.41 | -19.55 – -18.70 | 10.42 ± 0.76 | 9.39 – 11.12 | No seasonal pattern |
| Delphinus delphis | Delphinidae | Dde | 69 | 2005 – 2009 | -18.33 ± 0.44 | -19.24 – -16.96 | 10.66 ± 0.66 | 8.99 – 12.87 | Year-round but decrease in summer and autumn |
| Stenella coeruleoalba | Delphinidae | Sco | 7 | 2002 – 2018 | -18.15 ± 0.39 | -18.51 – -17.41 | 11.85 ± 0.77 | 10.96 – 13.01 | Transient |
| Stenella frontalis | Delphinidae | Sfr | 61 | 2005 – 2013 | -18.3 ± 0.45 | -18.96 – -16.86 | 11.00 ± 0.59 | 9.97 – 13.18 | Early May – October |
| Mesoplodon bidens | Ziphiidae | Mbi | 4 | 2009 | -17.66 ± 0.18 | -17.86 – -17.46 | 11.68 ± 0.06 | 11.63 – 11.77 | Summer |
| Globicephala macrorhynchus | Delphinidae | Gma | 10 | 2004 – 2014 | -16.82 ± 0.52 | -17.49 – -15.89 | 12.33 ± 0.52 | 11.7 – 13.11 | No seasonal pattern – Transient |
| Pseudorca crassidens | Delphinidae | Pcr | 5 | 2009 | -15.9 ± 0.3209 | -16.16 – -15.46 | 13.30 ± 0.41 | 12.73 – 13.71 | Transient |
| Physeter macrocephalus | Physeteridae | Pma | 42 | 2008 – 2019 | -17.26 ± 0.3905 | -17.78 – -16.16 | 12.84 ± 0.47 | 11.54 – 14.22 | Year-round |
| Tursiops truncatus | Delphinidae | Ttr | 15 | 2005 – 2014 | -17.51 ± 0.4678 | -18.26 – -16.86 | 12.53 ± 0.70 | 11.51 – 14.41 | Year-round |
Mean (± SD) and range of δ13C and δ15N (expressed in ‰) for 12 cetacean species used in the analysis.
Number of samples (N), sampling years (Year), taxonomic group and abbreviated name (Abr) are indicated for each species. Presence of each species in the Azores is based on Silva et al. (2014).
Figure 2

Mean Bayesian Standard Ellipse Area (SEAB) for the cetacean community of the Azores. See Table 1 for abbreviated name of species. Symbols indicate the taxonomic group: squares = Mysticeti, circles = Delphinidae, triangles = Ziphiidae, diamonds = Physeteridae.
3.1 Intra- and interspecific variation in stable isotope values and isotopic niches
GLMM results showed that season and year of sampling had no significant effect on the isotopic composition of species (Supplementary Tables S4 and S5). Pairwise tests (Supplementary Table S6) showed significant differences in stable isotope values between several species, except for M. bidens and M. novaeangliae, for which nearly all tests were non-significant, likely due to the small sample size. The Mysticeti B. borealis, B. musculus and B. physalus had the lowest δ15N of all sampled cetaceans (Table 1) and pairwise tests indicated that differences to other species were statistically significant (Supplementary Table S6). The three Balaenoptera species all differed significantly in δ13C: B. borealis were more enriched in 13C, followed by B. musculus and by B. physalus, which had the lowest δ13C values of all cetaceans, whereas their δ15N values were similar.
P. crassidens had significantly higher values of δ13C than P. macrocephalus and T. truncatus, and these three species along with G. macrorhynchus had significantly higher δ15N relative to other species but did not differ from each other. D. delphis showed significant differences in δ15N with all other species of odontocetes except S. frontalis and M. bidens.
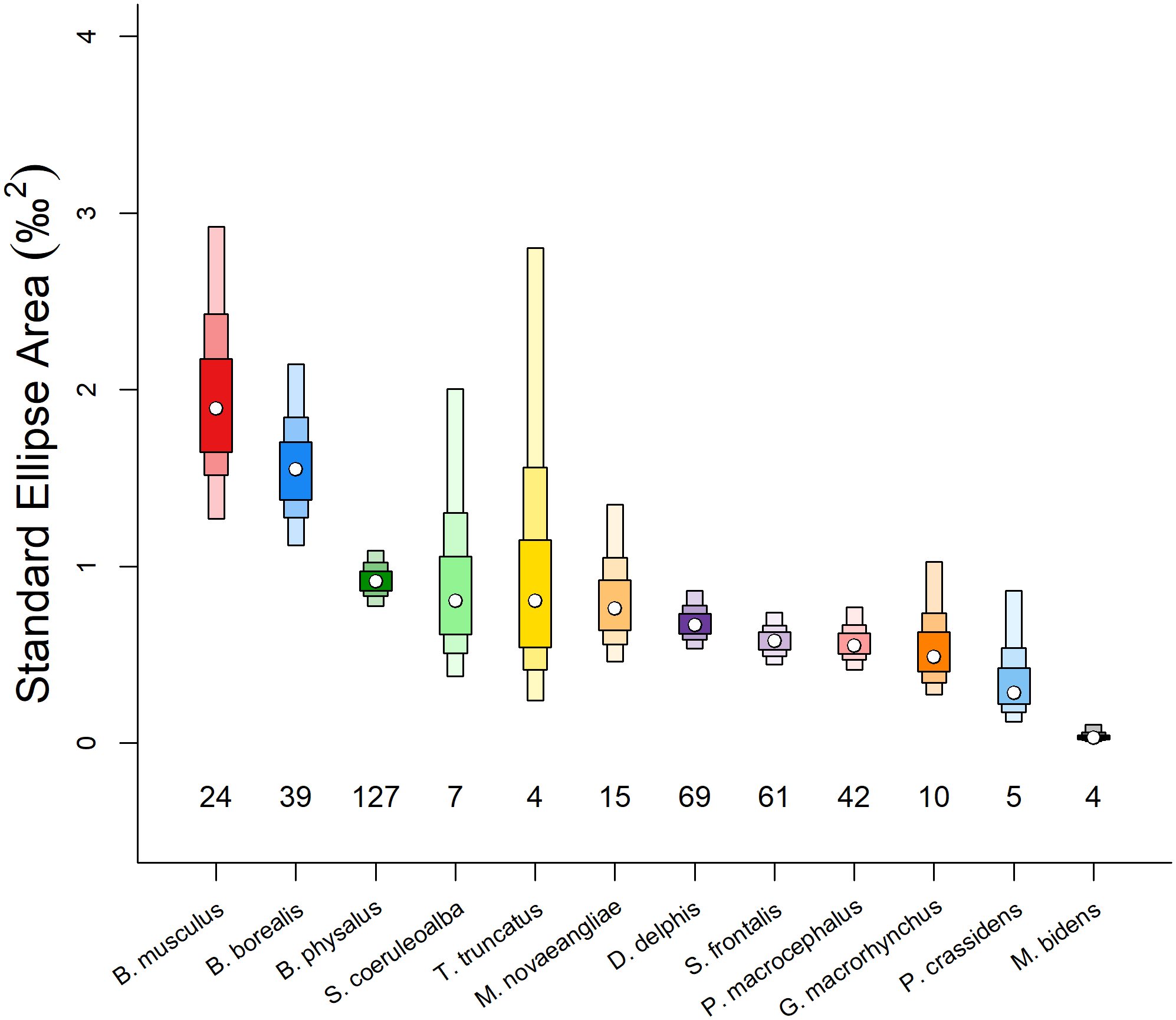
Baleen whales B. borealis, B. musculus and B. physalus displayed the widest ranges in δ13C (Figure 3A), the largest niche widths (TA) (Figure 3C) and the greatest core niches (SEAB estimates) of all studied cetaceans (Figure 4). Along with D. delphis, B. physalus also showed one of the highest δ15N ranges (Figure 3B). Conversely, M. bidens, P. crassidens, M. novaeangliae and S. coeruleoalba, the species with fewer samples (≤7), generally displayed low ranges in both isotopes and small niche widths (Figures 3A, B). G. macrorhynchus also showed one of the lowest δ15N ranges and niche widths. Amongst all species, Odontocetes S. frontalis, T. truncatus and P. macrocephalus showed intermediate values in niche width and δ13C and δ15N ranges, with S. frontalis showing slightly higher values in all metrics relative to the other two species (T. truncatus and P. macrocephalus). With the exception of B. borealis, B. musculus and M. bidens, credible intervals of SEAB of the remaining species largely overlapped (Figure 4). Compared to the previously discussed Layman metrics, niche diversity (CD) varied less across all species, with the highest diversity recorded in two baleen whales (B. borealis and B. musculus), and the lowest in the Ziphiidae species M. bidens (Figure 3D). M. novaeangliae (Mysticeti), S. coeruleoalba and P. crassidens (Delphinidae) showed the lowest degree of clustering (higher NND) and strongest uneven distribution of individuals (higher SDNND) within niche space, although variability in both metrics was very high (Figures 3E, F). Density of individual packing and evenness in individual distribution was greater in B. physalus, D. delphis, S. frontalis and P. macrocephalus.
Figure 3

Distribution of Layman metrics (A)δ13C range, (B)δ15N range, (C) TA (Total Area), (D) CD (Centroid Distance), (E) NND (Nearest Neighbor Distance), (F) SDNND (Standard Deviation of Nearest Neighbor Distance) of the Azores cetacean community by species estimated by bootstrapping with n=10 000 replicates. Distributions are showed by boxplots. The lower and upper hinges correspond to the first and third quartiles (the 25th and 75th percentiles), the bar inside represents the median, and the whiskers extend to 1.5 * IQR (Inter-Quartile Range). Dots represent outliers (i.e., data beyond the whiskers). See Table 1 for abbreviated name of species.
Figure 4

Density plots of Bayesian Standard Ellipse Areas (SEAB) (in ‰²) showing the credible intervals at 50% (dark boxes), 75% (intermediate boxes) and 95% (light boxes), and mode values of SEAB (white dot). Species are ordered by mode values. Sample sizes for species are indicated below each box. See Table 1 for abbreviated species names.
3.2 Trophic guilds in the cetacean community
The hierarchical clustering analysis classified the 12 cetacean species into four clusters: Cluster 1 contained three baleen whale species (B. borealis, B. musculus, B. physalus), Cluster 2 included two small dolphins (D. delphis, S. frontalis) and the last baleen whale species M. novaeangliae, Cluster 3 comprised three delphinids (G. macrorhynchus, T. truncatus, S. coeruleoalba), one Physeteridae P. macrocephalus, and the Ziphiidae M. bidens, while P. crassidens formed a separate cluster. The Jaccard index (JI) suggests that assignment of species to some of these clusters should be taken with caution, with cluster 1 and 3 being stable (JI=0.75 and JI=0.76, respectively), clusters 2 indicating a pattern (JI=0.70) and cluster 4 being unstable (JI=0.55) (Supplementary Figure S1).
3.3 Interspecific overlap in isotopic niches
The highest overlaps were observed for two baleen whales: B. physalus SEAB in the SEAB of B. musculus (62.7%, 95% CI: 17.3, 100), followed by two delphinids S. frontalis and D. delphis (55.8%, 95% CI: 22.2, 90.1 and 47.4%, 95% CI: 18.8, 76.7), and P. macrocephalus in T. truncatus (45%, 95% CI: 0, 91.3) (Table 2). Interestingly, while overlaps between the two latter pairs were approximately symmetrical, the overlap between B. physalus and B. musculus was clearly asymmetrical (Table 2). The remaining pairwise overlaps were notably lower. In Cluster 1, niche overlaps ranged from 0% (B. physalus - B. borealis) to 18.4% (95% CI: 0, 49.8; B. borealis in B. musculus), with B. musculus showing the highest overlaps of all whales (Table 2). Mysticeti from Cluster 1 also overlapped with M. novaeangliae, the largest overlap being B. physalus in M. novaeangliae (13%, 95% CI: 0, 69.7). In Cluster 2, overlaps between the baleen whale M. novaeangliae and the delphinids were low. In Cluster 3, S. coeruleoalba overlapped in T. truncatus (17.1%), and M. bidens showed relatively high overlaps in T. truncatus (13.6%) and S. coeruleoalba (19.1%), but credible intervals indicate high uncertainty in these estimates (95% CI: 0, 100 in both cases) (Table 2). Lastly, P. crassidens showed a greater overlap in G. macrorhynchus niche than in other species (7%, 95% CI: 0, 64.4).
Table 2
| Species B (row) | Bbo | Bmu | Bph | Dde | Mno | Sfr | Mbi | Pma | Sco | Ttr | Gma | Pcr | |
|---|---|---|---|---|---|---|---|---|---|---|---|---|---|
| Species A (column) | Cluster 1 | Cluster 2 | Cluster 3 | Cluster 4 | |||||||||
| Bbo | Cluster 1 |
18.4
[0, 49.8] |
0 | 0 |
1.4
[0, 22.4] |
0 | 0 | 0 | 0 | 0 | 0 | 0 | |
| Bmu |
14.5
[0, 40.2] |
29.2
[8.4, 50.4] |
0.8
[0, 7.8] |
8
[0, 45.2] |
0
[0, 0.2] |
0 | 0 |
0.2
[0, 0.7] |
0 | 0 | 0 | ||
| Bph | 0 |
62.7
[17.3, 100] |
0.2
[0, 2.5] |
13
[0, 69.7] |
0 | 0 | 0 |
0.3
[0, 0] |
0 | 0 | 0 | ||
| Dde | Cluster 2 | 0 |
2.6
[0, 23.2] |
0.2
[0, 3] |
10.5
[0, 72.7] |
47.4
[18.8, 76.7] |
0.3
[0, 4.5] |
0 |
11.3
[0, 67.7] |
0.5
[0, 5.9] |
0.5
[0, 5.2] |
0 | |
| Mno |
1.4
[0, 20.7] |
13.1
[0, 67.8] |
10.5
[0, 53.5] |
6.3
[0, 42.7] |
4.2
[0, 32.7] |
0.1
[0, 0.2] |
0 |
3
[0, 36.8] |
0.2
[0, 0] |
0.1
[0, 0] |
0 | ||
| Sfr | 0 |
0.2
[0, 0.8] |
0 |
55.8
[22.2, 90.1] |
8.5
[0, 69.7] |
0.5
[0, 6.3] |
0 |
21.7
[0, 84.9] |
2.1
[0, 23.9] |
1.1
[0, 15.8] |
0 | ||
| Mbi | Cluster 3 |
0.2
[0, 0] |
0.2
[0, 0] |
0.1
[0, 0] |
4.4
[0, 81.9] |
1.5
[0, 7.6] |
7.3
[0, 92.3] |
2.7
[0, 51.5] |
19.1
[0, 100] |
13.6
[0, 100] |
8.3
[0, 99.5] |
0.4
[0, 0] |
|
| Pma | 0 | 0 | 0 | 0 |
0.2
[0, 0] |
0 |
0.2
[0, 3.8] |
6.6
[0, 65.6] |
45
[0, 91.3] |
8.5
[0, 48.2] |
1.7
[0, 27.1] |
||
| Sco | 0 |
0.3
[0, 1] |
0.2
[0, 0] |
7.2
[0, 41.1] |
3.1
[0, 37.1] |
12.6
[0, 47.5] |
0.8
[0, 5.6] |
3.1
[0, 29.9] |
17.1
[0, 71.2] |
3
[0, 30.3] |
0.3
[0, 0] |
||
| Ttr | 0 | 0 | 0 |
0.3
[0, 3.9] |
0.5
[0, 0] |
1.3
[0, 14.3] |
0.6
[0, 5.6] |
30.7
[0, 64.9] |
20.3
[0, 80.6] |
5.6
[0, 42] |
1.1
[0, 17.3] |
||
| Gma | 0 | 0 | 0 |
0.5
[0, 5.5] |
0.3
[0, 0] |
0.9
[0, 13.7] |
0.6
[0, 6.1] |
8.4
[0, 47.6] |
5.5
[0, 61.1] |
8.1
[0, 61.7] |
5
[0, 47] |
||
| Pcr | Cluster 4 | 0 | 0 | 0 | 0 |
0.1
[0, 0] |
0 | 0 |
1.9
[0, 30.7] |
0.6
[0, 0] |
1.8
[0, 29.7] |
7
[0, 64.4] |
|
Mean (bold) and 95% credible intervals (inside brackets) of pairwise overlaps in Bayesian ellipses (in %) calculated on SEAB.
Proportion of area of species A (column) overlapping area of species B (row) in each row. Highlighted cells are the largest overlaps in each cluster. See Table 1 for abbreviated name of species.
This table must be read by row, ex: The percentage of the niche of Bmu overlapping in the niche of Mno is 8%; the opposite is 13.1%. Mean (bold) and 95% credible intervals (inside brackets) of pairwise overlaps in Bayesian ellipses (in %) calculated on SEAB.
4 Discussion
We present here the first assessment of the trophic structure of the Azorean community of cetaceans, as revealed by the analysis of stable isotopes of 12 species representing the most important taxonomic groups present, and diverse ecological and functional traits. Results show that these species occupy a broad range of isotopic niches, indicating that these species feed at various trophic levels and in habitats with diverse basal resources. Our work suggests that cetacean species can be grouped into four distinct trophic guilds, revealing resource partitioning between some species and potential trophic redundancy between others, allowing a better understanding of intra and inter-guild trophic interactions, and offering new insights into the ecological role of the community.
4.1 Community trophic structure and inter-guild niche partitioning
Niche partitioning is a key mechanism to reduce competition among coexisting species and plays a major role in driving the composition, diversity and structure of communities (HilleRisLambers et al., 2012). Niche partitioning may take several forms, including resource partitioning, where species feed on different food or prey items, spatial partitioning, where species exploit different areas or habitats, and temporal partitioning, where species differ in foraging times at daily or seasonal scales (Schoener, 1974). As predicted, resource partitioning plays an important role in the trophic structure of the cetacean community in the Azores and in driving the organization of species into multiple guilds. Trophic differentiation between guilds was largely determined by differences in trophic position (TP), indicating strong dietary divergence between guilds through feeding on prey at different trophic levels. This does not mean that all species use the same foraging habitats and spatial partitioning does not occur locally. However, in oceanic systems, especially those located at lower latitudes such as the Azores, variability in baseline δ13C values at small spatial scales is generally low (Magozzi et al., 2017), making it difficult to detect consumption of different local basal food resources. This also means that substantial deviation in δ13C values from the ~1‰ δ13C enrichment at each trophic level observed for some species (e.g., B. borealis, M. novaeangliae, P. crassidens) indicates feeding on carbon isoscapes very distinct from that of the Azores region (see next section). Variation in isotopic baselines between feeding areas can also influence the δ15N composition of species’ skin and contribute to differences in estimated TP, and we discuss potential biases in more detail when describing species’ niches. Nevertheless, the relative position of species within the community described here is consistent with that reported for other areas.
The hierarchical cluster analysis indicated that the cetacean community consists of four trophic clusters. These are a low-TP cluster with all Balaenoptera species (B. borealis, B. musculus and B. physalus), a mid-TP cluster with one baleen whale (M. novaeangliae) and two small dolphins (D. delphis and S. frontalis), a high-TP cluster including one small (S. coeruleoalba) and two larger delphinids (T. truncatus, G. macrorhynchus), a beaked whale (M. bidens) and the sperm whale (P. macrocephalus), and a fourth cluster occupying the highest TP formed only by P. crassidens. Of these, only the high-TP and the low-TP clusters can be considered a meaningful and stable cluster, based on the Jaccard coefficient. The mid-TP cluster should be viewed with caution as species’ assignment to this cluster might be unreliable, while the separate cluster formed by P. crassidens might be entirely spurious. Despite these uncertainties, clusters identified in this study are in broad agreement with the trophic clusters and feeding habits of these species reported in other areas (Kenney, 1985), where the low-TP cluster likely represents zooplanktivores, the mid-TP cluster represents micronektivores, the high-TP comprises both micronekton and nekton piscivores and teuthivores, and the P. crassidens cluster representing large nekton consumers. Gavrilchuk et al. (2014) and MacKenzie et al. (2022) also reported that M. novaeangliae occupied a higher trophic position than the Balaenopterid whales. Amongst the odontocetes, smaller dolphins like D. delphis, S. frontalis and S. coeruleoalba are at lower trophic positions than T. truncatus and G. macrorhynchus (Bode et al., 2022), while P. crassidens and P. macrocephalus generally occupy the highest trophic positions in the community (Bisi et al., 2013; Bode et al., 2022).
Clearly, species occupying different trophic guilds are unlikely to show substantial trophic overlap. Indeed, overlap in isotopic niches between species from different guilds was generally low (<8%), with the exception of overlaps between M. novaeangliae and two other baleen whales from the low-TP guild (B. musculus and B. physalus), and between S. coeruleoalba and other dolphins from the mid-TP guild (D. delphis and S. frontalis). This is not surprising, given than these baleen whale and dolphin species have similar morphological, behavioral and ecological traits (size, feeding strategy, dive depths, migration) and in other locations are known to share common food resources and often overlap in isotopic niches (Gavrilchuk et al., 2014; Gaspar et al., 2022; MacKenzie et al., 2022). Nevertheless, M. novaeangliae and S. coeruleoalba feed at higher trophic levels than the other species in their respective guilds, and resource competition should be reduced, as long as resources are not limited. On the other hand, there was a high degree of overlap in isotopic niches between some pairs of species within the same guild. Intra-guild niche overlap is discussed below in the context of trophic redundancy.
4.2 Inter- and intra-specific variation in niche characteristics within trophic guilds
4.2.1 Low-trophic position
The Mysticeti B. musculus, B. physalus and B. borealis occupied the lowest trophic positions, consistent with their known preference for zooplankton prey (Smith et al., 2015; Skern-Mauritzen et al., 2022). Large differences in δ13C between the three species indicate the use of distinct habitats before reaching the sampling area (Silva et al., 2019). As already noted by Silva et al. (2019), B. physalus and B. borealis also differed significantly in δ15N values, suggesting a greater contribution of higher trophic level prey to the diet of B. physalus than that of B. borealis. While differences in isotopic baselines could have contributed to accentuate the difference in δ15N between the two species, these results agree with diet studies based on SCA, which show that B. physalus feeds mainly on euphausiids but also consume a variety of small schooling fish, whereas B. borealis feeds primarily on lower-trophic level calanoid copepods (Sigurjónsson and Víkingsson, 1997).
In agreement with our predictions, these migratory baleen whales had the widest isotopic niches and the widest ranges in δ13C values, which clearly indicates use of multiple carbon sources. Nevertheless, there were considerable interspecific differences in niche characteristics. B. musculus and B. borealis had larger niches (SEAB) and higher niche diversity (CD) than B. physalus (Figures 3D and 4) and these differences were primarily driven by their wide range in δ13C values and to a lesser extent by variation in δ15N. Conversely, B. musculus and B. borealis showed lower degree of clustering (NND) and more uneven distribution (SDNND) of individuals within the niche space relative to B. physalus. Taken together these results indicate that, within the population of B. musculus and of B. borealis, different individuals exploited distinct habitats along the coast-open ocean gradient in baseline δ13C values (or varied in time spent foraging in different baselines), suggesting higher plasticity in foraging habitat use in these species. On the other hand, B. physalus showed larger variations in δ15N (3.62‰; the largest of all species) than in δ13C (3.20‰), indicating exploitation of a wider range of feeding resources than B. musculus and B. borealis. In addition, B. physalus had the lowest NND and SDNND among all cetaceans, suggesting restricted inter-individual variability in diet and foraging habitats, regardless of age class, although we cannot ignore potential effects from sample size as highlighted by Layman et al. (2007).
4.2.2 Mid-trophic position
Estimates of isotopic niche size and Layman metrics of M. novaeangliae should be viewed with caution as they are likely biased by low sample size (Jackson et al., 2011). Still, the presence of M. novaeangliae in this guild, rather than in the low-TP guild, is in agreement with previous studies that indicate a greater reliance on higher trophic level prey, in particular small schooling fish, compared to other baleen whales (Johnson and Davoren, 2021).
D. delphis and S. frontalis dolphins had very similar niche characteristics and sizes (Figures 3 and 4). Samples from both species (D. delphis and S. frontalis) were collected mainly in July and August, and skin isotopic incorporation for dolphins has been estimated at 180 ± 71 days (Giménez et al., 2016). Therefore, isotopic compositions in our study correspond to prey and habitats from winter and spring. D. delphis is found year-round in the Azores, while S. frontalis only occurs from late spring to early autumn (Silva et al., 2014). δ13C values of S. frontalis therefore reflect carbon sources from various habitats. However, both species have extremely similar δ13C values, which suggests that the habitat used by S. frontalis before reaching the sampling area is comparable to the Azores: an oceanic environment depleted in 13C. Seasonality in sightings suggests that S. frontalis may move between the Azores, Madeira and the Canary Islands (Quérouil et al., 2010; Silva et al., 2021). These oceanic Macaronesian archipelagos share similar oceanographic characteristics, potentially leading to comparable carbon baselines. This is supported by previous studies that also failed to detect significant differences in muscle isotope values of D. delphis and S. frontalis from the three archipelagos (Moreira et al., 2018; Bode et al., 2022).
δ 15N ranges of D. dephis and S. frontalis were amongst the largest and δ13C ranges were intermediate between those of Balaenoptera whales and other cetaceans. As with B. physalus, the wide range of δ15N values suggests high intraspecific diet plasticity. Knowledge of the feeding habits of both species in the Azores is scarce but in other areas they are known to be generalist predators that can feed on a variety of epipelagic, mesopelagic and benthic fishes, squids, and invertebrates (Perrin, 2009; Herzing and Perrin, 2018; Peters et al., 2020). In addition, both species displayed high levels of clustering (NND) and even distribution (SDNND) of individuals within the respective niches (Figure 3), indicating that all individuals fed on similar isotopic sources and habitats.
4.2.3 High- trophic position
This guild is the most diverse in terms of the number and traits of species, encompassing both small and large delphinids and toothed whales. Although species within this guild occur year-round off the Azores (T. truncatus, S. coeruleoalba, P. macrocephalus and M. bidens) or visit the region regularly (G. macrorhynchus), the distribution range of individual groups may extend beyond this area. In fact, photo-identification data has documented movements of individuals of T. truncatus, G. macrorhynchus and P. macrocephalus between the Macaronesian archipelagos (Alessandrini, 2016; Alves et al., 2018; Dinis et al., 2021; Ferreira et al., 2022), and it is possible they occasionally venture outside Macaronesia. Similarly to what was observed for S. frontalis, however, species within this guild showed relatively low δ13C values, but also narrow ranges of δ13C values, indicating they foraged mainly in oceanic waters. The only exception was G. macrorhynchus that was slightly enriched in 13C relative to other guild members, suggesting a greater contribution of food from coastal and/or more productive food webs.
The inclusion of S. coeruleoalba in this guild seems somewhat surprising. Pairwise tests indicated that δ15N values of S. coeruleoalba only differed from those of P. macrocephalus (Supplementary Table S6), suggesting that it feeds at a trophic level similar to all other species in the guild. Bode et al. (2022) also separated the delphinids from Macaronesia into two groups based on significant differences in their trophic position, with S. coeruleoalba belonging to the high trophic position group along with G. macrorhynchus, G. griseus and T. truncatus, while D. delphis and S. frontalis belonged to the low trophic position group. As in our study, S. coeruleoalba occupied a trophic position lower than P. macrocephalus. In the Bay of Biscay, S. coeruleoalba feeds on prey from oceanic, neritic and coastal habitats, and consume more cephalopods than D. delphis (Spitz et al., 2006) but other studies in the North east Atlantic reported higher reliance on mesopelagic fish, namely myctophids (Ringelstein et al., 2006; Archer, 2018).
Stomach contents of M. bidens stranded in the Azores were also dominated by myctophids (Pereira et al., 2011), and δ15N values of this species were very similar to those of S. coeruleoalba, although the range in δ15N was narrower, it had a smaller niche and lower niche diversity. However, it is important to stress that sample size for M. bidens was very small (n=4) and three out of four samples came from the same group, which could explain the reduced variability in nitrogen values in this species. Compared to other species in this guild, G. macrorhynchus showed a narrower range of δ15N values (1.41‰), suggesting a rather specialized diet, albeit some degree of individual variability in niche space. This agrees with the known feeding habits of the species that preys almost exclusively on oceanic cephalopods, mainly on ommastrephid squids (Clarke, 1996; Fernández et al., 2009). Still, sample size for this species was also small (n=10) and results should be taken with caution.
T. truncatus are known to be opportunistic predators and consume a wide range of locally abundant pelagic and benthic prey (Rossman et al., 2015; Giménez et al., 2016), whereas off the Azores P. macrocephalus mostly feeds on squids from the Octopoteuthidae and Histiotheuthidae families (Clarke et al., 1993). Despite dietary differences, the two species did not differ significantly in isotope values and their niche sizes were similar. In addition, both species showed considerable variability in δ15N values and relatively high trophic diversity (Figure 3), although the delphinid (T. truncatus) had higher values of SDNND, indicating a more uneven distribution of individuals within the niche space than P. macrocephalus. This could indicate some degree of individual dietary specialization within this generalist species (Wells and Scott, 2009; Neri et al., 2023). Sex-related and ontogenetic differences in diet composition have been reported in other areas (López, 2003; Knoff et al., 2008; Neri et al., 2023) and could help explaining these results. Alternatively, or in combination with this hypothesis, differences in residence and habitat use patterns between different groups (Silva et al., 2008) can also influence their diet composition, as island-associated groups may have increased access to coastal and benthic prey relative to transient dolphins. Future studies should examine individual differences in stable isotope composition of this and other cetacean species.
4.2.4 Pseudorca crassidens
Compared to the other species, P. crassidens showed a highly enriched 13C composition, corresponding to more coastal or benthic environments. The distribution and movements of P. crassidens in the Northeast Atlantic are poorly documented, making it impossible to identify the origin of their carbon source. Our results suggest that P. crassidens feeds at higher trophic levels than all other studied species. While these results could be due to P. crassidens feeding on distinct δ15N baselines, they are consistent with the known diet of this species. Indeed, P. crassidens feeds on a variety of fish and squid, but occasionally target large predatory fish like tuna and even dolphins (Baird, 2009). Such dietary diversity could partly explain the low degree of packing and uneven distribution of samples within the species’ niche, but the small sample size precludes drawing any definitive conclusions.
4.3 Intra-guild niche overlap and trophic redundancy
Trophic redundancy occurs when multiple species have similar feeding ecologies and consume the same types of resources within an ecosystem. It is generally assumed that such species have similar ecological roles in the community or ecosystem (Paine, 1980). Trophic redundancy can enhance ecosystem stability and resilience potential, reducing the cascading effects of natural and anthropogenic disturbance and biodiversity loss (Borrvall et al., 2000; Sanders et al., 2018). Indeed, if several species occupy the same or similar roles, this may ensure against the loss of ecosystem functioning following changes in species diversity or abundance (Yachi and Loreau, 1999).
We found significant overlap between one pair of species within each guild (with the obvious exception of the guild containing only P. crassidens), suggesting some degree of trophic redundancy within the cetacean community (Table 2). Within the low-TP guild, B. physalus niche significantly overlapped with that of B. musculus (62.7%), similarly to what has been reported in other areas (Gavrilchuk et al., 2014; García-Vernet et al., 2021). These baleen whales undertake long-distance seasonal migrations and their isotope values likely reflect foraging across multiple habitats along their migration. In particular, the high variability in δ13C values in B. musculus suggests that some individual whales foraged in more 13C-enriched environments, while others mainly exploited 13C-depleted habitats, exhibiting stable isotope compositions very similar to those of B. physalus (Figure 2). While these results point to some degree of spatial segregation between the species, they also suggest strong niche overlap between part of the populations. Consequently, where B. musculus and B. physalus coexist spatially and temporally, such as off the Azores (Visser et al., 2011), they might support similar functions, thus increasing ecosystem redundancy. Baleen whales consume large quantities of prey and egest their remains in the photic zone. Predation by baleen whales in the Azores may be of great importance in recycling limiting nutrients to primary producers, thus stimulating ecosystem productivity, as well as in maintaining the energy flow and species composition in the food-web (Roman et al., 2014).
In the mid-TP guild, the isotopic niches of D. delphis and S. frontalis showed a high degree of overlap (47.4-55.8%). In addition, the two species did not differ in carbon or nitrogen stable isotope values (Supplementary Table S6). D. delphis and S. frontalis also have overlapping spatial distributions in the Azores (Tobeña et al., 2016) but they are temporally segregated in the area, as sighting rates of D. delphis decrease in spring and summer, when S. frontalis occurs in the area (Silva et al., 2014). Therefore, D. delphis and S. frontalis occupy similar niches and may perform similar ecological roles but during distinct periods, indicating they have complementary rather than redundant roles. These results also illustrate how intra-guild niche partitioning can influence species’ demography locally and determine the structure and role of the community. It remains unclear how changes in the temporal distribution of one species would affect the other species distribution, and whether this could lead to their ecological role being temporally vacant.
Surprisingly, the niche of P. macrocephalus overlapped considerably with that of T. truncatus (45%), despite the slightly higher trophic position of P. macrocephalus. As mentioned above, the two species have strikingly different diets, although this indicates that their preferred prey items should have similar isotopic values. Both species are present year-round and exploit similar areas in the Azores, but T. truncatus forages mostly within the epipelagic layer, whereas P. macrocephalus feeds in waters deeper than 700 m depth (Oliveira et al., 2022). The two species could feed on prey undergoing diel vertical migration, therefore having access to the same prey at different depths and times of the day, explaining the similarity in stable isotope values. While both species are locally abundant throughout the year, and their contribution to nutrient recycling and food-web interactions is potentially large (Gilbert et al., 2023), it’s unlikely they play similar roles in the ecosystem.
It should be stressed that accounting only for the characteristics of species’ isotopic niches and disregarding the species’ traits and strength of interactions among species, when analyzing trophic redundancy might lead to oversimplified interpretations. Indeed, the intensity of niche overlaps and functional redundancy may also be a function of species abundance, diving behavior and daily feeding patterns. To overcome this limitation, food-web models could be used to provide a more comprehensive representation of trophic links and strength of interactions and examine impacts of different cetacean species on ecosystem structure and function.
5 Conclusions
This study is the first to describe the isotopic niches of cetaceans in the Azores. We have investigated intraspecific niche characteristics of the twelve studied species, including habitat and resource use and specialization. Our results suggest the presence of four distinct trophic guilds in the community, and we discuss niche overlaps amongst species belonging in the same guild, in a context of trophic redundancy and ecological roles in the ecosystem.
However, further research is needed to understand species’ niches and the structure of this community. For example, sexual and ontogenetic differences in isotopic compositions should be further explored to investigate their potential influence in intraspecific variability in trophic niches and in interspecific niche overlap. Differences in energetic demands, foraging abilities, or habitat use patterns between individuals with distinct traits (e.g., body size, sex, reproductive status) may result in substantial differences in diet composition and/or segregation in feeding areas (Laigle et al., 2018). Although previous studies on the same species reported limited differences in stable isotopes between sexes (Ruiz-Cooley et al., 2004; Silva et al., 2019; Peters et al., 2020), and while we excluded samples from calves known to have higher δ15N values (Borrell et al., 2016), the effects of sex, age class (adult vs. sub-adult) and reproductive status on size and characteristics of each species’ niche remain unknown. Additionally, the use of other isotopes as additional dimensions could contribute to better understand the partitioning of species. For example, sulfur and hydrogen isotopes can provide additional information on species habitat use and the origin of sources (Peterson and Fry, 1987), while oxygen can be used to retrace migration (Clementz and Koch, 2001), and mercury can inform on foraging depth (Besnard et al., 2021).
Statements
Data availability statement
The raw data supporting the conclusions of this article will be made available by the authors, without undue reservation.
Ethics statement
The animal study was approved by The Regional Directorate for the Environment, the Regional Directorate for Sea Affairs, and the Regional Directorate for Maritime Policies, of the Regional Government of the Azores (Fieldwork and sample collection were conducted under permits LMAS-DRPM/2023/02, LMAS-DRAM/2021/12, LMAS-DRAM/2020/06, LMAS-DRAM/2018/06, 80/2017/DRA, 37/2016/DRA, 30/2015/DRA, 34/2014/DRA, 20/2013/DRA, 31/2012/DRA, 51/2011/DRA, 16/2010/DRA, 20/2009/DRA, 76/2007/DRA, 4/2006/DRA, 7/2005/DRA). The study was conducted in accordance with the local legislation and institutional requirements.
Author contributions
ML: Conceptualization, Data curation, Formal analysis, Methodology, Writing – original draft, Writing – review & editing. AC: Investigation, Writing – review & editing. RP: Resources, Writing – review & editing. IC: Resources, Writing – review & editing. CO: Resources, Writing – review & editing. MT: Resources, Writing – review & editing. YP: Writing – review & editing, Formal analysis. JS: Conceptualization, Methodology, Supervision, Writing – review & editing. MS: Conceptualization, Data curation, Funding acquisition, Methodology, Investigation, Project administration, Resources, Supervision, Writing – original draft, Writing – review & editing.
Funding
The author(s) declare financial support was received for the research, authorship, and/or publication of this article. This study was supported by projects SUMMER (H2020-BG-2018-2, GA 817806), funded by the EU, and MISTIC SEAS 3 (110661/2018/794676/SUB/ENV.C2), funded by the Directorate General Environment of the European Commission. Data collection was supported by the Portuguese Science & Technology Foundation (FCT) and the Azorean Science & Technology Fund (FRCT) through TRACE -PTDC/MAR/74071/2006, MAPCET -M2.1.2/F/012/2011 and FCT Exploratory -IF/00943/2013/CP1199/CT0001 (FEDER, COMPETE, QREN, POPH, ESF, Portuguese Ministry for Science and Education, OP Azores 2020). ML was supported by FRCT and DRCT through M3.1.a/F/006/2021 and M1.1.C/PROJ.EXPLORATÓRIOS/010/2022. MAS, AC and RP were supported by the OP AZORES2020 through Fund 01-0145-FEDER-1279 000140 “MarAZ Researchers: Consolidate a body of researchers in Marine Sciences in the Azores” of the EU. AC was further supported by FCT through project (10.54499/2021.00101.CEECIND/CP1669/CT0001), IC by FCT-IP Project UIDP/05634/2020, and CO by Biodiversa+, the European Biodiversity Partnership under the 2021-2022 BiodivProtect joint call for research proposals, co-funded by the European Commission (GA N°101052342) and the Regional Government of the Azores, through the Regional Fund for Science and Technology (FRCT), under the project EUROPAM -European Spatial-Temporal Large Scale Sea Noise Management & Passive Acoustic Monitoring of Marine Megafauna (ref. 488). JS was supported by SUMMER (H2020-BG-2018-2, GA 817806) and the French Environmental Ministry. OKEANOS is funded by FCT under projects UIDB/05634/2020 and UIDP/05634/2020, and by the Regional Government of the Azores through the initiative to support the Research Centres of the University of the Azores and through project M1.1.A/REEQ.CIENTÍFICO UI&D/2021/010. Publication fees were covered by grant M1.1.C/PROJ.EXPLORATÓRIOS/010/2022 from DRCT.
Acknowledgments
We thank Sergi Pérez-Jorge, Miriam Romagosa and all the interns and volunteers who over the years helped with fieldwork and data collection. We are also grateful to our skippers, Bruno Castro and Renato Bettencourt, and to the whale watching companies and lookouts from Faial and Pico islands for all the support at sea.
Conflict of interest
The authors declare that the research was conducted in the absence of any commercial or financial relationships that could be construed as a potential conflict of interest.
The reviewer JG declared a past co-authorship with the author JS to the handling editor.
The author(s) declared that they were an editorial board member of Frontiers, at the time of submission. This had no impact on the peer review process and the final decision.
Publisher’s note
All claims expressed in this article are solely those of the authors and do not necessarily represent those of their affiliated organizations, or those of the publisher, the editors and the reviewers. Any product that may be evaluated in this article, or claim that may be made by its manufacturer, is not guaranteed or endorsed by the publisher.
Supplementary material
The Supplementary Material for this article can be found online at: https://www.frontiersin.org/articles/10.3389/fmars.2024.1283357/full#supplementary-material
References
1
Afonso P. Fontes J. Giacomello E. Magalhães M. C. Martins H. R. Morato T. et al . (2020). The azores: A mid-Atlantic hotspot for marine megafauna research and conservation. Front. Mar. Sci.6. doi: 10.3389/fmars.2019.00826
2
Alessandrini A. (2016). Movements of short-finned pilot whales (Globicephala macrorhynchus) in the Macaronesian biogeographical region: a photo-identification analysis. [master's dissertation]. Retreived from: http://hdl.handle.net/10400.1/9850
3
Alves F. Alessandrini A. Fernandez M. Hartman K. L. Dinis A. (2018). Home sweet home? Wide-ranging movements of socially stable resident Delphinids (Globicephala macrorhynchus). Rev. Scientia Insularum1, 37–49. doi: 10.25145/j.SI.2018.01.004
4
Archer F. I. (2018). “Striped Dolphin,” in Encyclopedia of marine mammals (Cambridge, Massachusetts: Elsevier), 954–956. doi: 10.1016/B978-0-12-804327-1.00251-X
5
Baird R. W. (2009). “False Killer Whale,” in Encyclopedia of marine mammals (Cambridge, Massachusetts: Elsevier), 405–406. doi: 10.1016/B978-0-12-373553-9.00097-3
6
Bates D. Mächler M. Bolker B. M. Walker S. C. (2015). Fitting linear mixed-effects models using lme4. J. Stat. Softw67, 1–48. doi: 10.18637/jss.v067.i01
7
Baum J. K. Worm B. (2009). Cascading top-down effects of changing oceanic?predator abundances. J. Anim. Ecol.78, 699–714. doi: 10.1111/j.1365-2656.2009.01531.x
8
Besnard L. Le Croizier G. Galván-Magaña F. Point D. Kraffe E. Ketchum J. et al . (2021). Foraging depth depicts resource partitioning and contamination level in a pelagic shark assemblage: Insights from mercury stable isotopes. Environ. Pollut.283, 117066. doi: 10.1016/j.envpol.2021.117066
9
Bisi T. L. Dorneles P. R. Lailson-Brito J. Lepoint G. Azevedo A. de F. et al . (2013). Trophic relationships and habitat preferences of delphinids from the southeastern Brazilian coast determined by carbon and nitrogen stable isotope composition. PloS One8, e82205. doi: 10.1371/journal.pone.0082205
10
Bode A. Saavedra C. Álvarez-González M. Arregui M. Arbelo M. Fernández A. et al . (2022). Trophic position of dolphins tracks recent changes in the pelagic ecosystem of the Macaronesian region (NE Atlantic). Mar. Ecol. Prog. Ser.699, 167–180. doi: 10.3354/meps14176
11
Boecklen W. J. Yarnes C. T. Cook B. A. James A. C. (2011). On the use of stable isotopes in trophic ecology. Annu. Rev. Ecol. Evol. Syst.42, 411–451. doi: 10.1146/annurev-ecolsys-102209-144726
12
Borrell A. Gómez-Campos E. Aguilar A. (2016). Influence of reproduction on stable-isotope ratios: nitrogen and carbon isotope discrimination between mothers, fetuses, and milk in the fin whale, a capital breeder. Physiol. Biochem. Zool.89, 41–50. doi: 10.1086/684632
13
Borrvall C. Ebenman B. Jonsson T. (2000). Biodiversity lessens the risk of cascading extinction in model food webs. Ecol. Lett.3, 131–136. doi: 10.1046/j.1461-0248.2000.00130.x
14
Burrows D. G. Reichert W. L. Bradley Hanson M. (2014). Effects of decomposition and storage conditions on the δ13C and δ15N isotope values of killer whale (Orcinus orca) skin and blubber tissues. Mar. Mamm Sci.30, 747–762. doi: 10.1111/mms.12076
15
Canty A. Ripley B. D. (2022). boot: Bootstrap R (S-Plus) Functions. R package version 1.3-28.1. (Cambridge: Cambridge University Press). Available at: http://Cran.R-Project.Org/Doc/Packages/.
16
Carlier A. Chauvaud L. van der Geest M. Le Loc’h F. Le Duff M. Vernet M. et al . (2015). Trophic connectivity between offshore upwelling and the inshore food web of Banc d’Arguin (Mauritania): New insights from isotopic analysis. Estuar. Coast. Shelf Sci.165, 149–158. doi: 10.1016/j.ecss.2015.05.001
17
Clarke M. R. (1996). Cephalopods as prey. III. Cetaceans. Philos. Trans. R. Soc. B: Biol. Sci.351, 1053–1065. doi: 10.1098/rstb.1996.0093
18
Clarke M. R. Martins H. R. Pascoe P. (1993). The diet of sperm whales (Physeter macrocephalus Linnaeus 1758) off the Azores. Philos. Trans. - R. Soc. London B339, 67–82. doi: 10.1098/rstb.1993.0005
19
Clementz M. T. Koch P. L. (2001). Differentiating aquatic mammal habitat and foraging ecology with stable isotopes in tooth enamel. Oecologia129, 461–472. doi: 10.1007/s004420100745
20
Crawford K. McDonald R. A. Bearhop S. (2008). Applications of stable isotope techniques to the ecology of mammals. Mamm Rev.38, 87–107. doi: 10.1111/j.1365-2907.2008.00120.x
21
DeNiro M. J. Epstein S. (1978). Influence of diet on the distribution of carbon isotopes in animals. Geochim. Cosmochim. Acta42, 495–506. doi: 10.1016/0016-7037(78)90199-0
22
Dinis A. Molina C. Tobeña M. Sambolino A. Hartman K. Fernandez M. et al . (2021). Large-scale movements of common bottlenose dolphins in the Atlantic: Dolphins with an international courtyard. PeerJ9, e11069. doi: 10.7717/peerj.11069
23
Doughty C. E. Roman J. Faurby S. Wolf A. Haque A. Bakker E. S. et al . (2016). Global nutrient transport in a world of giants. Proc. Natl. Acad. Sci. U. S. A.113, 868–873. doi: 10.1073/pnas.1502549112
24
Estes J. A. Heithaus M. McCauley D. J. Rasher D. B. Worm B. (2016). Megafaunal impacts on structure and function of ocean ecosystems. Annu. Rev. Environ. Resour.41, 83–116. doi: 10.1146/annurev-environ-110615-085622
25
Fernández R. Santos M. B. Carrillo M. Tejedor M. Pierce G. J. (2009). Stomach contents of cetaceans stranded in the Canary Islands 19962006. J. Mar. Biol. Assoc. United Kingdom89, 873–883. doi: 10.1017/S0025315409000290
26
Ferreira R. Steiner L. Martín V. Fusar Poli F. Dinis A. Kaufmann M. et al . (2022). Unraveling site fidelity and residency patterns of sperm whales in the insular oceanic waters of Macaronesia. Front. Mar. Sci.9. doi: 10.3389/fmars.2022.1021635
27
García-Vernet R. Borrell A. Víkingsson G. Halldórsson S. D. Aguilar A. (2021). Ecological niche partitioning between baleen whales inhabiting Icelandic waters. Prog. Oceanogr.199, 102690. doi: 10.1016/j.pocean.2021.102690
28
Gaspar C. Giménez J. Andonegi E. Astarloa A. Chouvelon T. Franco J. et al . (2022). Trophic ecology of northern gannets Morus bassanus highlights the extent of isotopic niche overlap with other apex predators within the Bay of Biscay. Mar. Biol.169, 1–14. doi: 10.1007/s00227-022-04079-y
29
Gavrilchuk K. Lesage V. Ramp C. Sears R. Bérubé M. Bearhop S. et al . (2014). Trophic niche partitioning among sympatric baleen whale species following the collapse of groundfish stocks in the Northwest Atlantic. Mar. Ecol. Prog. Ser.497, 285–301. doi: 10.3354/meps10578
30
Ghorbani H. (2019). Mahalanobis distance and its application for detecting multivariate outliers. Facta Universitatis Series: Mathematics Inf.583, 583–595. doi: 10.22190/FUMI1903583G
31
Gilbert L. Jeanniard-du-Dot T. Authier M. Chouvelon T. Spitz J. (2023). Composition of cetacean communities worldwide shapes their contribution to ocean nutrient cycling. Nat. Commun.14, 5823. doi: 10.1038/s41467-023-41532-y
32
Giménez J. Ramírez F. Almunia J. G. Forero M. de Stephanis R. (2016). From the pool to the sea: Applicable isotope turnover rates and diet to skin discrimination factors for bottlenose dolphins (Tursiops truncatus). J. Exp. Mar. Biol. Ecol.475, 54–61. doi: 10.1016/j.jembe.2015.11.001
33
Giménez J. Ramírez F. Forero M. G. Almunia J. de Stephanis R. Navarro J. (2017). Lipid effects on isotopic values in bottlenose dolphins (Tursiops truncatus) and their prey with implications for diet assessment. Mar. Biol.164, 122. doi: 10.1007/s00227-017-3154-5
34
Hennig C. (2023). fpc: Flexible Procedures for Clustering. R package version 2.2-10. R Package version.
35
Herzing D. L. Perrin W. F. (2018). “Atlantic Spotted Dolphin,” in Encyclopedia of marine mammals (Cambridge, Massachusetts: Elsevier), 40–42. doi: 10.1016/B978-0-12-804327-1.00050-9
36
HilleRisLambers J. Adler P. B. Harpole W. S. Levine J. M. Mayfield M. M. (2012). Rethinking community assembly through the lens of coexistence theory. Annu. Rev. Ecol. Evol. Syst.43, 227–248. doi: 10.1146/annurev-ecolsys-110411-160411
37
Hutchinson G. E. (1957). Concluding remarks. Cold Spring Harb. Symp Quant Biol.22, 415–427. doi: 10.1101/SQB.1957.022.01.039
38
Hutchinson G. E. (1978). An introduction to population ecology (New Haven and London: Yale University Press).
39
Jackson A. L. Inger R. Parnell A. C. Bearhop S. (2011). Comparing isotopic niche widths among and within communities: SIBER - Stable Isotope Bayesian Ellipses in R. J. Anim. Ecol.80, 595–602. doi: 10.1111/jane.2011.80.issue-3
40
Johnson K. F. Davoren G. K. (2021). Stable isotope analysis reveals that humpback whales (Megaptera novaeangliae) primarily consume capelin (Mallotus villosus) in coastal Newfoundland, Canada. Can. J. Zool.99, 564–572. doi: 10.1139/cjz-2020-0257
41
Kassambara A. (2023). rstatix:Pipe-Friendly Framework for Basic Statistical Tests (R package version 0.7.2). Available at: https://CRAN.R-project.org/package=rstatix.
42
Kenney R. D. (1985). “Distributional biology of the cetacean fauna of the northeast United States continental shelf,” In DISS. ABST. INT. PT. B - SCI. & ENG. Available at: https://www.proquest.com/books/distributional-biology-cetacean-fauna-northeast/docview/16381294/se-2?accountid=27308.
43
Knoff A. Hohn A. Macko S. (2008). Ontogenetic diet changes in bottlenose dolphins (Tursiops truncatus) reflected through stable isotopes. Mar. Mamm Sci.24, 128–137. doi: 10.1111/j.1748-7692.2007.00174.x
44
Körtzinger A. Quay P. D. Sonnerup R. E. (2003). Relationship between anthropogenic CO2 and the 13C Suess effect in the North Atlantic Ocean. Global Biogeochem. Cycles17, 5-1–5-20. doi: 10.1029/2001gb001427
45
Laigle I. Aubin I. Digel C. Brose U. Boulangeat I. Gravel D. (2018). Species traits as drivers of food web structure. Oikos127, 316–326. doi: 10.1111/oik.04712
46
Layman C. A. Albrey Arrington D. Montaña C. G. Post D. M. (2007). Can stable isotope ratios provide for community-wide measures of trophic structure? Ecology88, 42–48. doi: 10.1890/0012-9658(2007)88[42:CSIRPF]2.0.CO;2
47
Lenth R. V. (2022). emmeans: Estimated marginal means, aka least-squares means (Version 1.8.1-1) [Software]. Retrieved from: https://CRAN.R-project.org/package=emmeans.
48
López A. (2003). Estatus dos pequenos cetáceos da plataforma de Galicia (Spain: Universidade de Santiago de Compostela).
49
MacKenzie K. M. Lydersen C. Haug T. Routti H. Aars J. Andvik C. M. et al . (2022). Niches of marine mammals in the European Arctic. Ecol. Indic136, 108661. doi: 10.1016/j.ecolind.2022.108661
50
Magozzi S. Yool A. Vander Zanden H. B. Wunder M. B. Trueman C. N. (2017). Using ocean models to predict spatial and temporal variation in marine carbon isotopes. Ecosphere8, e01763. doi: 10.1002/ecs2.1763
51
Morato T. Lemey E. Menezes G. Pham C. K. Brito J. Soszynski A. et al . (2016). Food-web and ecosystem structure of the open-ocean and deep-sea environments of the Azores, NE Atlantic. Front. Mar. Sci.3. doi: 10.3389/fmars.2016.00245
52
Moreira C. Froufe E. Sial A. N. Caeiro A. Vaz-Pires P. Correia A. T. (2018). Population structure of the blue jack mackerel (Trachurus picturatus) in the NE Atlantic inferred from otolith microchemistry. Fish Res.197, 113–122. doi: 10.1016/j.fishres.2017.08.012
53
Neri A. Sartor P. Voliani A. Mancusi C. Marsili L. (2023). Diet of bottlenose dolphin, tursiops truncatus (Montagu 1821), in the northwestern Mediterranean sea. Diversity (Basel)15, 21. doi: 10.3390/d15010021
54
Newsome T. M. Greenville A. C. Ćirović D. Dickman C. R. Johnson C. N. Krofel M. et al . (2017). Top predators constrain mesopredator distributions. Nat. Commun.8, 1–7. doi: 10.1038/ncomms15469
55
Oliveira C. Pérez-Jorge S. Prieto R. Cascão I. Wensveen P. J. Silva M. A. (2022). Exposure to whale watching vessels affects dive ascents and resting behavior in sperm whales. Front. Mar. Sci.9. doi: 10.3389/fmars.2022.914397
56
Paine R. T. (1980). Food webs: linkage, interaction strength and community infrastructure. J. Anim. Ecol.49, 666–685. doi: 10.2307/4220
57
Payo-Payo A. Ruiz B. Cardona L. Borrell A. (2013). Effect of tissue decomposition on stable isotope signatures of striped dolphins Stenella coeruleoalba and loggerhead sea turtles Caretta caretta. Aquat Biol.18, 141–147. doi: 10.3354/ab00497
58
Pereira J. N. Neves V. C. Prieto R. Silva M. A. Cascão I. Oliveira C. et al . (2011). Diet of mid-Atlantic Sowerby’s beaked whales Mesoplodon bidens. Deep Sea Res. Part I: Oceanographic Res. Papers58, 1084–1090. doi: 10.1016/J.DSR.2011.08.004
59
Perrin W. F. (2009). Common dolphins: Delphinus delphis and D. capensis. Second Edition of Encyclopedia of Marine Mammals, 255–259. doi: 10.1016/B978-0-12-373553-9.00063-8
60
Peters K. Bury S. Betty E. Parra G. Tezanos-Pinto G. Stockin K. (2020). Foraging ecology of the common dolphin Delphinus delphis revealed by stable isotope analysis. Mar. Ecol. Prog. Ser.652, 173–186. doi: 10.3354/meps13482
61
Peterson B. J. Fry B. (1987). Stable isotopes in ecosystem studies. Annu. Rev. Ecol. systematics18, 293–320. doi: 10.1146/annurev.es.18.110187.001453
62
Post D. M. Layman C. A. Arrington D. A. Takimoto G. Quattrochi J. Montaña C. G. (2007). Getting to the fat of the matter: Models, methods and assumptions for dealing with lipids in stable isotope analyses. Oecologia152, 179–189. doi: 10.1007/s00442-006-0630-x
63
Quérouil S. Freitas L. Cascão I. Alves F. Dinis A. Almeida J. R. et al . (2010). Molecular insight into the population structure of common and spotted dolphins inhabiting the pelagic waters of the Northeast Atlantic. Mar. Biol.157, 2567–2580. doi: 10.1007/s00227-010-1519-0
64
R Core Team (2022). R Foundation for statistical computing (Vienna, Austria). Available at: https://www.R-project.org/
65
Ratnarajah L. Nicol S. Bowie A. R. (2018). Pelagic iron recycling in the Southern Ocean: Exploring the contribution of marine animals. Front. Mar. Sci.5. doi: 10.3389/fmars.2018.00109
66
Ringelstein J. Pusineri C. Hassani S. Meynier L. Nicolas R. Ridoux V. (2006). Food and feeding ecology of the striped dolphin, Stenella coeruleoalba, in the oceanic waters of the north-east Atlantic. J. Mar. Biol. Assoc. United Kingdom86, 909–918. doi: 10.1017/S0025315406013865
67
Roman J. Estes J. A. Morissette L. Smith C. Costa D. McCarthy J. et al . (2014). Whales as marine ecosystem engineers. Front. Ecol. Environ.12, 377–385. doi: 10.1890/130220
68
Roman J. McCarthy J. J. (2010). The whale pump: Marine mammals enhance primary productivity in a coastal basin. PloS One5, e13255. doi: 10.1371/journal.pone.0013255
69
Rossman S. Berens Mccabe E. Barros N. B. Gandhi H. Ostrom P. H. Stricker C. A. et al . (2015). Foraging habits in a generalist predator: Sex and age influence habitat selection and resource use among bottlenose dolphins (Tursiops truncatus). Mar. Mamm Sci.31, 155–168. doi: 10.1111/mms.12143
70
Ruiz-Cooley R. I. Gendron D. Aguíñiga S. Mesnick S. Carriquiry J. D. (2004). Trophic relationships between sperm whales and jumbo squid using stable isotopes of C and N. Mar. Ecol. Prog. Ser.277, 275–283. doi: 10.3354/meps277275
71
Ryan C. McHugh B. Trueman C. N. Harrod C. Berrow S. D. O’Connor I. (2012). Accounting for the effects of lipids in stable isotope (δ13 C and δ15 N values) analysis of skin and blubber of balaenopterid whales. Rapid Commun. Mass Spectrometry26, 2745–2754. doi: 10.1002/rcm.6394
72
Sanders D. Thébault E. Kehoe R. Frank van Veen F. J. (2018). Trophic redundancy reduces vulnerability to extinction cascades. Proc. Natl. Acad. Sci. U. S. A.115, 2419–2424. doi: 10.1073/pnas.1716825115
73
Schoener T. W. (1974). Resource partitioning in ecological communities. Sci. (1979)185, 27–39. doi: 10.1126/science.185.4145.27
74
Sigurjónsson J. Víkingsson G. (1997). Seasonal abundance of and estimated food consumption by cetaceans in Icelandic and adjacent waters. J. Northwest Atlantic Fishery Sci.22, 271–287. doi: 10.2960/J.v22.a20
75
Silva M. A. Borrell A. Prieto R. Gauffier P. Bérubé M. Palsbøl P. J. et al . (2019). Stable isotopes reveal winter feeding in different habitats in blue, fin and sei whales migrating through the Azores. R Soc. Open Sci.6, 181800. doi: 10.1098/rsos.181800
76
Silva M. A. Chevallard P. Pérez-Jorge S. (2021). “Atlantic Spotted Dolphin Stenella frontalis (G. Cuvier 1829),” in Handbook of the Mammals of Europe. Eds. HackländerK.ZachosF. E. (Springer, Cham), 1–30. doi: 10.1007/978-3-319-65038-8_106-1
77
Silva M. A. Prieto R. Cascão I. Seabra M. I. Machete M. Baumgartner M. F. et al . (2014). Spatial and temporal distribution of cetaceans in the mid-Atlantic waters around the Azores. Mar. Biol. Res.10, 123–137. doi: 10.1080/17451000.2013.793814
78
Silva M. A. Prieto R. Magalhães S. Seabra M. I. Santos R. S. Hammond P. S. (2008). Ranging patterns of bottlenose dolphins living in oceanic waters: implications for population structure. Mar. Biol.156, 179–192. doi: 10.1007/s00227-008-1075-z
79
Skern-Mauritzen M. Lindstrøm U. Biuw M. Elvarsson B. Gunnlaugsson T. Haug T. et al . (2022). Marine mammal consumption and fisheries removals in the Nordic and Barents Seas. ICES J. Mar. Sci.79, 1583–1603. doi: 10.1093/icesjms/fsac096
80
Smith L. A. Link J. S. Cadrin S. X. Palka D. L. (2015). Consumption by marine mammals on the Northeast U.S. continental shelf. Ecol. Appl.25, 373–389. doi: 10.1890/13-1656.1
81
Spitz J. Richard E. Meynier L. Pusineri C. Ridoux V. (2006). Dietary plasticity of the oceanic striped dolphin, Stenella coeruleoalba, in the neritic waters of the Bay of Biscay. J. Sea Res.55, 309–320. doi: 10.1016/j.seares.2006.02.001
82
Tobeña M. Prieto R. Machete M. Silva M. A. (2016). Modeling the potential distribution and richness of cetaceans in the Azores from fisheries observer program data. Front. Mar. Sci.3. doi: 10.3389/fmars.2016.00202
83
Van Canneyt O. Dabin W. Dars C. Dorémus G. Gonzalez L. Ridoux V. et al . (2015). Guide des échouages de mammifères marins. Cahier technique de l’Observatoire PELAGIS sur le suivi de la mégafaune marine. Université de La Rochelle et CNRS, 64. doi: 10.13140/RG.2.1.1495.6002
84
Visser F. Hartman K. Pierce G. Valavanis V. Huisman J. (2011). Timing of migratory baleen whales at the Azores in relation to the North Atlantic spring bloom. Mar. Ecol. Prog. Ser.440, 267–279. doi: 10.3354/meps09349
85
Wells R. S. Scott M. D. (2009). “Common Bottlenose Dolphin,” in Encyclopedia of marine mammals (Cambridge, Massachusetts: Elsevier), 249–255. doi: 10.1016/B978-0-12-373553-9.00062-6
86
Wild L. A. Chenoweth E. M. Mueter F. J. Straley J. M. (2018). Evidence for dietary time series in layers of cetacean skin using stable carbon and nitrogen isotope ratios. Rapid Commun. Mass Spectrometry32, 1425–1438. doi: 10.1002/rcm.8168
87
Wilson R. M. Chanton J. P. Balmer B. C. Nowacek D. P. (2014). An evaluation of lipid extraction techniques for interpretation of carbon and nitrogen isotope values in bottlenose dolphin (Tursiops truncatus) skin tissue. Mar. Mamm Sci.30, 85–103. doi: 10.1111/mms.12018
88
Yachi S. Loreau M. (1999). Biodiversity and ecosystem productivity in a fluctuating environment: The insurance hypothesis. Proc. Natl. Acad. Sci. U. S. A.96, 1463–1468. doi: 10.1073/pnas.96.4.1463
Summary
Keywords
stable isotopes, marine mammals, trophic niches, trophic guild, foraging, Azores, oceanic islands
Citation
Lebon M, Colaço A, Prieto R, Cascão I, Oliveira C, Tobeña M, Planque Y, Spitz J and Silva MA (2024) Isotopic niches reveal the trophic structure of the cetacean community in the oceanic waters around the Azores. Front. Mar. Sci. 11:1283357. doi: 10.3389/fmars.2024.1283357
Received
25 August 2023
Accepted
17 April 2024
Published
03 May 2024
Volume
11 - 2024
Edited by
Guillermo Luna-Jorquera, Universidad Católica del Norte, Chile
Reviewed by
Joan Giménez, Spanish National Research Council (CSIC), Spain
Maelle Connan, Nelson Mandela University, South Africa
Updates
Copyright
© 2024 Lebon, Colaço, Prieto, Cascão, Oliveira, Tobeña, Planque, Spitz and Silva.
This is an open-access article distributed under the terms of the Creative Commons Attribution License (CC BY). The use, distribution or reproduction in other forums is permitted, provided the original author(s) and the copyright owner(s) are credited and that the original publication in this journal is cited, in accordance with accepted academic practice. No use, distribution or reproduction is permitted which does not comply with these terms.
*Correspondence: Myriam Lebon, myriam.io.lebon@uac.pt
Disclaimer
All claims expressed in this article are solely those of the authors and do not necessarily represent those of their affiliated organizations, or those of the publisher, the editors and the reviewers. Any product that may be evaluated in this article or claim that may be made by its manufacturer is not guaranteed or endorsed by the publisher.