Abstract
Introduction:
The expansion of fishery development from offshore to deep-sea areas has become essential for countries to address environmental constraints and ensure food security. This study aims to establish a cooperative development model for deep-blue fishery involving the government, fishery enterprises, and consumers.
Methods:
We constructed an evolutionary game and simulation model to analyze the government's deep-blue fishery subsidy strategy. The model considers the interactions between the government, fishery enterprises, and consumers, evaluating how different subsidy strategies influence the development of deep-blue fishery.
Results:
Our results demonstrate that government subsidies can stimulate the growth of deep-blue fishery from both the demand and supply sides. Specifically, the likelihood of government subsidies positively affects fishery enterprises' engagement in deep-blue fishery development and consumers' willingness to purchase deep-blue fishery products. The evolutionary game system reaches different steady states based on the cost-benefit changes for the government, fishery enterprises, and consumers, leading to various optimal subsidy strategies.
Discussion:
The findings indicate that the amount of government subsidy should be optimized rather than maximized, as excessive subsidies may not yield proportionate benefits. Additionally, subsidizing fishery enterprises proves to be more effective in promoting the development of deep-blue fishery compared to subsidizing consumers. These insights can guide policymakers in designing efficient subsidy strategies to foster sustainable deep-sea fishery development.
1 Introduction
Mariculture provides animal and plant proteins that are important for national food security (Yu and Han, 2020). Therefore, it is important to encourage the development of mariculture in nations and areas characterized by elevated levels of malnutrition and food insecurity (Garlock et al., 2022). However, with the expansion of the farming sea area and the farming scale, the nearshore mariculture industry has also caused a series of ecological and environmental problems. For example, under the crude development model, the excessive use of fish medicine has led to the problem of drug pollution in mariculture areas (Zhang et al., 2021). The discharge of untreated mariculture wastewater has caused eutrophication of seawater, resulting in the reduction of seagrass beds (Yoshikai et al., 2021). This has posed a threat to the offshore ecological environment. It can be seen that, due to the decline in the quality of resources and environment, the intensification of competition for industrial use of the sea, the high cost of technology and high-risk factors, the structural contradictions of marine fishery are increasingly apparent. It means that “the near sea tends to saturate, deep sea development is not enough”. Marine fishery from light-blue to deep-blue has become an inevitable trend (Everett et al., 2015). Light-blue fishery refers to offshore farming or fishing, while deep-blue fishery refers to farming or fishing in deep sea and distant ocean. Deep-blue fishery is to build a whole industry chain fishery production system with the integration of “fishing-breeding-processing” for deep sea and distant ocean. For example, the deep-sea fishing in Colombia (Taylor and Johnson, 2021), Pacific tuna fishing (Syddall et al., 2021), Arctic cod, Antarctic krill, etc. The deep-blue fishery holds significant importance in guaranteeing the supply of high-quality protein for human beings, expanding the breeding space, and supporting the growth of blue economy. However, the development of deep-blue fishery requires large capital investment, which is difficult to be solved by single fishery enterprises alone and needs government subsidy support. The forms of subsidies include subsidies for the construction of facilities and equipment, fuel subsidies, credit guarantees, loan interest subsidies and insurance premium subsidies. For example, China’s central financial authorities subsidize offshore fishing base projects at a rate of no more than 30 per cent of the completed investment, and also subsidize the construction of the large-scale aquaculture vessel Guoxin No. 1 and the fully submersible deep-sea intelligent fishery farming equipment Deep Blue No. 1. In practice, however, some gaps may exist. For example, the distribution of subsidies may not be fair or transparent enough, resulting in some enterprises benefiting disproportionately while others benefit less. In addition, there may be lags or imperfections in the implementation of subsidy policies, resulting in less timely or effective flow of funds, which affects the speed and effectiveness of the development of deep blue fisheries. Then, what kind of subsidy strategy is conducive to promoting the development of deep-blue fishery? This paper centers around the fundamental question above.
Research on deep-blue fishery has focused on deep-sea, oceanic and polar fisheries. First, aspects of deep-blue fishery in deep sea (Geraci et al., 2021; Taylor and Johnson, 2021). The expansion of offshore fishery into the deep sea is often proposed as a potential means to enhance the marine fishing industry in Southwest African countries (Everett et al., 2015) and has become an important route to fishery dispute resolution around the East and South China seas (Hendrix et al., 2022). Second, aspects of deep-blue fishery in Ocean. Scholars have studied the deep-blue fishery in the Pacific Ocean (Georgian et al., 2019; Díaz-Delgado et al., 2021; Langseth and Glover, 2021) or in the Indian Ocean (Wakefield et al., 2020; Dimarchopoulou et al., 2021). In addition, there are also studies that have researched the resources management of deep-blue fishery in the Atlantic Ocean (Todorović et al., 2019; Durán Muñoz et al., 2020; Syddall et al., 2021). Third, scholars analyzed the issue of deep-blue fishery in the Arctic Polar (van Pelt et al., 2017; Vylegzhanin et al., 2020; Yu et al., 2023a). In summary, the following research gaps in existing literatures can be identified. First, compared to the light-blue fishery, less attention has been paid to the deep-blue fishery. Second, existing studies mainly focus on the technology and equipment in the development of deep-blue fishery, ignore the financial difficulties of fishery enterprises, especially the role of government subsidies. Third, the existing research mainly hope to stimulate the upgrading of fishery enterprises in the form of government subsidies, less involve seafood consumers into the analysis framework.
Based on the practical issues and theoretical gaps above. This paper constructs a multi-subject cooperation pattern for the development of deep-blue fishery, then establishes a trilateral game model including government, fishery enterprise and consumer, examines government’s deep-blue fishery subsidy strategy. Further, the simulation analysis is carried out to examine the evolution results of the government’s deep-blue fishery subsidy strategy based on survey data. While fostering the advancement of deep-blue fishery, the findings of this investigation also furnish countries worldwide with theoretical counsel for advancing deep sea and ocean exploration, guaranteeing national food security, and facilitating the growth of the marine economy. There are three innovations compared with existing studies. Firstly, consumers are incorporated into the analytical framework of deep-blue fishery development and this paper fully considers the counteraction of the consumer side on the development of deep-blue fishery industry. Secondly, financial constraints and technological lag are two major problems in the development of deep-blue fishery that need to be broken through. Different from most studies that focus on how to break through the technical problems, this paper discusses how to help enterprises break through the financial problems through government subsidies. Thirdly, deep-blue fishery is an important strategy to ensure world food security, which has not yet attracted wide attention from the academic community. In addition to exploring whether the government subsidizes, this paper further explores the system evolution results under different subsidy amounts and different subsidy objects.
2 Materials and methods
2.1 Theoretical model construction of deep blue fishery
The government is the key subject of developing deep-blue fishery. The government can provide fishing boat fuel subsidies, facility and equipment construction subsidies, agricultural credit guarantees, risk compensation funds, loan interest subsidies, premium subsidies and so on. For example, the Shandong Provincial Government improves fishery mutual insurance, subsidizes premiums according to regulations, supports the development of commercial insurance, expands the whole industry chain insurance services, and promotes the “insurance + science and technology” disaster prevention and loss reduction model. The construction of facilities and equipment such as gravity deep-water nets and truss nets will continue to be subsidized in accordance with relevant policies. The targets for subsidies include large-scale aquaculture vessels, deep-sea aquaculture facilities and offshore fishing bases. The central government subsidizes eligible offshore fishing base projects at no more than 30% of the completed investment of the Chinese enterprise, with the subsidy funds focusing on updating, reforming and remediation and maintenance of the base’s related infrastructure. The Shandong Provincial Government issued the Opinions of the General Office of the Government on Promoting High-Quality Development of Pelagic Fishing, which subsidizes the self-catch and return shipment of pelagic fishery products, and rewards the top five pelagic enterprises in the annual compliance assessment. In addition, subsidies are provided for the construction of the world’s first 100 thousand-ton intelligent fishery large-scale aquaculture vessel, Guoxin No.1, and China’s first independently developed large-scale, fully submersible deep-sea intelligent fishery aquaculture equipment, Deep Blue No.1.
The deep-blue fishery represents a promising emerging sector that offers a vital solution to address the challenges of diminishing offshore fishery resources, limited aquaculture space, subpar quality of aquatic products, and the pressing need for high-quality animal protein. The development of deep-blue fishery is a systematic project, which needs the cooperation of all social bodies. Fishery enterprises are the core subjects of the development of deep-blue fishery. Fishery enterprises can choose to develop light-blue fishery or deep-blue fishery. In general, the development of deep-blue fishery is more costly and risky. Consumers can buy seafood from deep and distant ocean farming or fishing, or choose to buy seafood from offshore farming or fishing. Prices of seafood from deep-blue fishery are much higher than those from light-blue fishery in the absence of government subsidies. First, it is more difficult to catch or farm in deep and distant seas, which results in less efficient production and thus higher costs. Secondly, seafood caught from deep and distant sea areas requires longer transport times and more sophisticated cold-chain transport and storage facilities to ensure the freshness and quality of the product, which further increases costs. Finally, as environmental conditions in deep and distant seas can be harsher, the production process requires more inputs for environmental protection and risk management. The government can make decisions on whether to support the construction of deep blue fisheries. In order to promote the safety of food, incentive the active participation of all social subjects in deep-blue fishery, the government can give production subsidies to the enterprises developing deep-blue fishery, and it can also provide consumption subsidies to consumers who buy seafood from the deep blue fishery. Accordingly, a multi-subject cooperation model of deep-blue fishery development led by fishery enterprises, consumers’ participation and government support can be built, as shown in Figure 1.
Figure 1

Multi-subject cooperation model for the development of deep-blue fishery.
2.2 Evolutionary game model construction
The evolutionary game model is constructed, which includes three parties: government, fishery enterprises and seafood consumers. The development of deep-blue fishery is a process of mutual friction and game among fishery enterprises, seafood consumers and the government, which is time-dependent, dynamic and adaptive, so this study is well-suited for the application of evolutionary game method.
This paper assumes that the probability of fishery enterprises developing deep-blue fishery is i, consumers buying deep-blue fishery products is j, and government subsidizing deep-blue fishery is k. The cost for fishery enterprises to develop a deep-blue fishery is ci, the quantity of deep-blue fishery product produced is qi, and its market price is pi; the cost for fishery enterprises to produce a light-blue fishery product is c1-i, the quantity produced is q1-i, and its market price is p1-i. Normally, deep-blue fishery has higher costs and higher product prices compared to light-blue fishery, so and . The amount of seafood purchased by consumers from the deep-blue fishery is qj and the consumers’ utility is sj. Seafood amount purchased by consumers from the light-blue fishery is and the consumers’ utility is . The amount of government subsidy for deep-blue fishery is r, where the subsidy coefficient assigned to fishery enterprises is hi and the subsidy coefficient assigned to seafood consumers is hj. when the government subsidize, the utility is sk; when the government does not subsidize, the utility is . The payoff matrix of deep-blue fishery development can be obtained according to the above conditions, as shown in Table 1.
Table 1
| Fishery enterprises | Seafood consumers | Government subsidies (k) | No government subsidy (1-k) |
|---|---|---|---|
| Production (i) |
Purchase (j) |
piqi + hir-ci sj + hjr - piqj sk -r |
piqi -ci sj - piqj s1-k |
| No purchase (1-j) |
piqi + hir - ci s1-j – p1-iq1-j sk - hir |
piqi -ci s1-j – p1-iq1-j s1-k |
|
| No production (1-i) |
Purchase (j) |
p
1-
iq
1-
i
– c1-i sj + hjr - piqj sk - hjr |
p
1-
iq
1-
i
– c1-i sj - piqj s1-k |
| No purchase (1-j) |
p
1-
iq
1-
i
– c1-i s1-j - p1-iq1-j sk |
p
1-
iq
1-
i
– c1-i s1-j - p1-iq1-j s1-k |
Payoff matrix of deep-blue fishery development.
2.3 Numerical simulation model construction and parameter assignment
(1) Numerical simulation model. In this paper, the relationship between parameters is calculated by numerical simulation model. By sequentially adjusting model parameters, the dynamic process of subsidy effecting the fishery enterprises and seafood consumers’ decisions is simulated. The simulation model and its parameters are based on the evolutionary game model.
(2) Survey area and sample selection. The parameters value of simulation model is taken from field survey. Specifically, the data are obtained from the survey of “Deep-Blue Fishery” in Qingdao city in July 2022. The main reason for choosing to conduct the survey in Qingdao was its prominent position in the field of marine fisheries and its advanced practice in the development of deep-blue fishery. Qingdao is one of the most important cities in China’s marine fisheries industry, with rich marine resources and a well-developed fisheries industry. In addition, the Qingdao municipal government has been actively exploring and practicing in promoting the development of deep-blue fishery, and was successfully approved to build China’s first national-level deep sea green aquaculture pilot zone in 2021, which provides a good policy support and practice foundation for the development of deep blue fisheries. We firstly divided the fishery enterprises in Qingdao into two categories: deep blue aquaculture fishery enterprises and deep blue capture fishery enterprises. Simple random sampling was used to select samples from different enterprise types and consumers. Based on the survey purpose and the availability of resources, a sample size of 17 fishery enterprises and 183 seafood consumers in Qingdao was determined for the survey. The research team travelled to Qingdao City to conduct a field survey, face-to-face questionnaires and interviews with respondents to collect relevant data. The required parameter values are shown in Table 2.
Table 2
| Parameters | Definition | Value | Unit | Data source |
|---|---|---|---|---|
| pi | Market price of deep-blue fishery seafood | 0.95 | Hundred yuan/kg | Survey of fishery enterprises |
| p 1- i | Market price of light-blue fishery seafood | 0.25 | Hundred yuan/kg | Survey of fishery enterprises |
| qi | Yield of seafood from deep-blue fishery | 0.55 | Million tons/year | Survey of fishery enterprises |
| q 1- i | Yield of seafood from light-blue fishery | 0.95 | Million tons/year | Survey of fishery enterprises |
| ci | Seafood production cost of deep-blue fishery | 0.45 | Hundred yuan/kg | Survey of fishery enterprises |
| c 1- i | Seafood production cost of light-blue fishery | 0.15 | Hundred yuan/kg | Survey of fishery enterprises |
| qj | Quantity of consumers buying seafood from deep-blue fishery | 0.15 | Hundred kg/year | Survey of seafood consumers |
| q 1- j | Quantity of consumers buying seafood from light-blue fishery | 0.65 | Hundred kg/year | Survey of seafood consumers |
| sj | Consumers’ utility of purchasing seafood from deep-blue fishery | 0.75 | – | Survey of seafood consumers |
| s 1- j | Consumers’ utility of purchasing seafood from light-blue fishery | 0.55 | – | Survey of government |
| r | Amount of government subsidy for deep-blue fishery | 0.10 | Ten billion yuan/year | Survey of government |
| hi | Government subsidy coefficient for fishery enterprises | 0.70 | – | Survey of government |
| hj | Government subsidy coefficient for seafood consumers | 0.30 | – | Survey of government |
| sk | Utility when government subsidies | 0.85 | – | Survey of government |
| s 1- k | Utility when government does not subsidize | 0.55 | – | Survey of government |
Simulation model parameter values and their sources.
(3) Parameter assignment. According to Table 2, for fishery enterprises, the market price, production, and cost of deep-blue fishery are the average values of each type of seafood for fishery enterprises, which are pi = 0.95, qi = 0.55, and ci = 0.45. The market price, production, and cost of light-blue fishery products are the average values of all types of seafood, which are p1-i = 0.25, q1-i = 0.95, and c1-i = 0.15. For seafood consumers, qj = 0.15 and sj = 0.75. The quantity and utility of light-blue fishery seafood purchased by consumers are the mean values, which are q1-j = 0.65 and s1-j = 0.55. For the government, the amount of subsidies given by the government to the deep-blue fishery r = 0.1, the coefficient of subsidies for fishery enterprises hi = 0.7, and the coefficient of subsidies for seafood consumers hj = 0.3, in this case, the government’s utility sk = 0.85. Without subsidies for deep-blue fishery, the government’s utility s1-k = 0.55.
3 Results and analysis
3.1 The results and analysis of evolutionary game model
3.1.1 Stabilization strategy of each subject
Fishery enterprises’ stabilization strategy. The expected revenue of fishery enterprises developing deep-blue fishery, the expected revenue of fishery enterprises not developing deep-blue fishery and the average expected revenue of fishery enterprises is shown in Equations 1–3 according to payoff matrix. The replication dynamic equation of deep-blue fishery development strategy of fishery enterprises is shown in Equation 4.
Set , we get , then we know is the first order derivative. Let f(k) = 0, and obtain its zero point . When k > ki0, then i = 1 is stable and the fishing enterprise will develop the deep-blue fishery. When k< ki0, then i = 0 is stable, and the fishery enterprise will not develop the deep-blue fishery.
The result shows that fishery enterprises’ stabilization strategy is not to develop deep-blue fishery when the government subsidies’ probability is smaller, fishery enterprises’ stabilization strategy is to develop deep-blue fishery when the government subsidies’ probability is larger. So, we can know that government subsidies’ probability positively affects the development of deep-blue fishery by fishery enterprises.
Seafood consumers’ stabilization strategy. Based on the benefit matrix outlined in Table 1 regarding the advancement of the deep-blue fishery, the anticipated return of consumers purchasing seafood from deep-blue fishery, the expected payoff of consumers purchasing seafood from light-blue fishery, the average anticipated return of consumers can be observed in Equations 5–7. Equation 8 represents the replication dynamic equation of seafood consumers’ purchasing strategy.
Set , we get , then we know . Let , and obtain its zero point . When , then j = 1 is stable, and consumers will buy deep-blue fishery seafood. When , then j = 0 is stable, and the consumers will buy light-blue fishery seafood.
The result shows that consumers’ stable strategy is to purchase light-blue fishery seafood when government subsidies’ probability is smaller, and consumers’ stable strategy is to purchase deep-blue fishery seafood if government subsidies’ probability is larger. The result indicates that government subsidies’ probability positively influences consumers’ behavior.
Government’s stabilization strategy. Based on the tripartite game benefit matrix provided in Table 1 regarding the development of the deep-blue fishery, the anticipated return of government providing deep-blue fishery subsidies, the expected payoff of government not providing deep-blue fishery subsidies, and the average anticipated return of government can be observed in Equations 9–11. Equation 12 represents the replication dynamic equation of the government subsidy strategy.
Set , we get., then we know is the first order derivative. Let , and obtain its zero point . When , k = 1 is stable, in this case, the government will provide subsidies for deep-blue fishery. When , k = 0 is stable, in this case, the government will not provide deep-blue fishery subsidies. Set , we get , then we know is the first order derivative. Let , and obtain its zero point . When , k = 1 is stable, in this case, the government will provide subsidies for consumption of seafood from deep-blue fishery. When , k = 0 is stable, in this case, the government will not provide subsidies for seafood consumption in the deep-blue fishery.
The results reveals that in cases where the likelihood of fishery enterprises engaging in deep-blue fishery development is low, the government’s approach involves offering subsidies to these enterprises. Conversely, when the probability of fishery enterprises embracing deep-blue fishery is higher, the government’s strategy does not involve providing subsidies to fishery enterprises. So, we can know that subsidies serve as a motivating factor to encourage fishery enterprises in their pursuit of deep-blue fishery development. However, if the development of deep-blue fishery becomes an inherent and self-driven behavior of fishery enterprises, the government will refrain from providing subsidies.
In addition, it is evident that the government’s strategy involves providing subsidies to seafood consumers when the probability of consumers purchasing seafood from the deep-blue fishery is low. Conversely, the government’s strategy does not include offering subsidies to seafood consumers if the probability of consumers purchasing seafood from the deep-blue fishery is high. The result suggests that government subsidies are a vital driving force for consumers to purchase seafood from deep-blue fishery. When consumers actively purchase seafood from deep-blue fishery, government can phase out subsidies.
3.1.2 Analysis of the evolutionary game system’s stabilization
According to Equations 4, 8, 12, we obtain the three-party game’s replicated dynamic system of fishery enterprises, seafood consumers and the government, as shown in Equation 13.
Lyapunov’s first law can be used to judge the stable strategy. According to the replicated dynamic system shown in Equation 13, we obtain the Jacobi matrix of evolutionary game system, as shown in Equation 14.
Based on the replicated dynamic system, we analyze eight equilibrium points’ stabilization in the evolutionary game involving three parties. we obtain the stability conditions of replicated dynamic system as shown in Table 3.
Table 3
| One | Two | Three | |
|---|---|---|---|
| E1 (0,0,0) | piqi - ci< p1-iq1-i – c1-i | sj - piqj< s1-j - p1-iq1-j | sk< s1-k |
| E2 (1,0,0) | piqi - ci > p1-iq1-i – c1-i | sj - piqj > s1-j - p1-iq1-j | sk - hjr > s1-k |
| E3 (0,1,0) | piqi - ci< p1-iq1-i – c1-i | sj - piqj > s1-j - p1-iq1-j | sk - hjr< s1-k |
| E4 (0,0,1) | piqi - ci + hir< p1-iq1-i – c1-i | sj - piqj + hjr< s1-j - p1-iq1-j | sk > s1-k |
| E5 (1,1,0) | piqi - ci > p1-iq1-i – c1-i | sj - piqj > s1-j - p1-iq1-j | sk – r< s1-k |
| E6 (1,0,1) | piqi - ci + hir > p1-iq1-i – c1-i | sj - piqj + hjr< s1-j - p1-iq1-j | sk - hjr > s1-k |
| E7 (0,1,1) | piqi - ci + hir< p1-iq1-i – c1-i | sj - piqj + hjr > s1-j - p1-iq1-j | sk - hjr > s1-k |
| E8 (1,1,1) | piqi - ci + hir > p1-iq1-i – c1-i | sj - piqj + hjr > s1-j - p1-iq1-j | sk – r > s1-k |
The three stability conditions of evolutionary game.
First, by examining the stability of equilibrium point as presented in Table 3, we obtain that E1(0,0,0) exhibits stability when the profit of developing deep-blue fishery by fishery enterprises is less than the profit of developing light-blue fishery, the utility of purchasing seafood from deep-blue fishery by consumers is less than the profit of purchasing seafood from light-blue fishery, and the utility derived from government subsidies is comparatively lower than the utility obtained in the absence of subsidies.
Second, when the profit of developing deep-blue fishery by fishery enterprises is more than the profit of developing light-blue fishery, the utility of purchasing seafood from deep-blue fishery by consumers is more than the utility of purchasing seafood from light-blue fishery, and the government’s utility is more than the subsidy amount provided to fishery enterprises, E2(1,0,0) is stable.
Third, when the profit of developing deep-blue fishery by fishery enterprises is less than the profit of developing light-blue fishery, the utility of purchasing seafood from deep-blue fishery by consumers is larger than the utility of purchasing seafood from light-blue fishery, and the government’s utility is less than the subsidy amount provided to seafood consumers, E3(0,1,0) is stable.
Fourth, when the sum of the profits of the fishery enterprises to develop deep-blue fishery and the subsidies received is less than the profits to develop the light-blue fishery, and the sum of the utility of consumers to purchase seafood from the deep-blue fishery and the government subsidies received is less than the utility of purchasing seafood from the light-blue fishery, E4(0,0,1) is stable. Under these circumstances, the ultimate evolutionary strategy entails fishery enterprises refraining from engaging in deep-blue fishery development, consumers abstaining from purchasing seafood sourced from deep-blue fishery, and the government providing subsidies.
Fifth, when the profit of developing deep-blue fishery by fishery enterprises is more than the profit of developing light-blue fishery, the utility of purchasing seafood from deep-blue fishery by consumers is more than the utility of purchasing seafood from light-blue fishery, the government’s utility is less than the subsidy amount paid to fishery enterprises and consumers, E5(1,1,0) is stable. In this case, fishery enterprises develop deep-blue fishery, consumers purchase seafood from deep-blue fishery, and the government does not provide subsidies. This is the most ideal state, but it may not be possible in reality.
Sixth, when the sum of profits and subsidies received by the fishery enterprises for developing deep-blue fishery is more than the profits for developing light-blue fishery, the sum of utility and subsidies received by consumers for purchasing seafood from deep-blue fishery is less than the utility of purchasing seafood from light-blue fishery, the government’s utility is more than the cost paid by subsidizing the fishery enterprises, E6(1,0,1) is stable. The final evolutionary strategy is that fishery enterprises develop deep-blue fishery, consumers do not actively purchase seafood from the deep-blue fishery, and government provides subsidy to the fishery enterprises.
Seventh, when the combined profits of fishery enterprises engaged in deep-blue fishery and the subsidies received are lower than the profits derived from light-blue fishery, while the combined utility of consumers purchasing seafood from deep-blue fishery and the subsidies received exceeds the utility of purchasing seafood from light-blue fishery, and the government’s utility surpasses the subsidy amount allocated for seafood consumers, E7(0,1,1) is stable.
Eighth, the combined profits of fishery firms engaged in deep-blue fishery and the subsidies received exceed the profits obtained from light-blue fishery, while the combined utility of consumers purchasing seafood from deep-blue fishery and the subsidies received surpasses the utility of purchasing seafood from light-blue fishery, and the government’s environmental utility surpasses the subsidy amounts allocated to fishery enterprises and consumers, E8(1,1,1) is stable. In this situation, fishery enterprises develop deep-blue fishery, the government provides subsidy, and consumers buy seafood from deep-blue fishery.
3.2 Results and analysis of simulation model
3.2.1 The impact of government subsidy amount
Based on the deep-blue fishery data surveyed in Table 2, three distinct parameter values are inserted into the replicated dynamic system for analysis. The following section applies the ODE45 function for numerical solution of differential equations in Matlab2019b software for simulation analysis. For a more visual presentation, to illustrate the impact of the government subsidy amount, the PLOT3 function is employed to generate a three-dimensional graph. To facilitate comparative analysis, the impact of government subsidy amount on evolution process of different subjects’ game strategies is shown in Figures 2, 3.
Figure 2

Two-dimensional simulation results of total government subsidies.
Figure 3

Three-dimensional simulation results of total government subsidies.
From Figures 2, 3, we know that the evolution result is (1,1,1) when the subsidies amount is 0.1. In this case, the government demonstrates a preference for offering subsidies to promote deep-blue fishery, consumers exhibit a propensity to purchase deep-blue fishery products, and fishery enterprises tend to engage in the development of deep-blue fishery. When the government subsidy amount increases to 0.5 and 0.9, the strategy of consumers has been stable to buy deep-blue fishery products, but the stability of government and fishery enterprises strategy fluctuates greatly, the game system fails to achieve stability.
This indicates that the game system evolves to the desired outcome when subsidy amount is low, as the government subsidy amount increases, the system tends to be unstable. This phenomenon can be attributed to the economic rationality exhibited by fishery enterprises and consumers, who actively respond to the government’s initiative of providing deep-blue fishery subsidies. As the participation of enterprises and consumers in deep-blue fishery gradually rises, the government faces an increased burden of subsidies. The government gradually reduces or eliminates deep-blue fishery subsidies, which in turn affects the development strategies of fishery enterprises. The government needs to comprehensively consider the impact of the subsidy amount on the stability of the strategies of all parties when formulating the subsidy policy, and avoid the unintended negative effects caused by excessive subsidies.
3.2.2 The impact of government subsidy recipients
(1) The effect of subsidizing fishery enterprises on the stability of the system. Similarly, in the range of values of the parameters, the coefficients of government fishery enterprise subsidies are assumed to be 0.1, 0.5, and 0.9, respectively. The results are shown in Figures 4, 5.
Figure 4

Two-dimensional simulation results of fishery enterprises subsidy changes.
Figure 5

Three-dimensional simulation results of fishery enterprises subsidy changes.
From Figures 4, 5, we can know that the evolutionary result is (0,1,1) when the fishery enterprises’ subsidy coefficient is 0.1. In this situation, the government provides deep-blue fishery subsidy and consumers buy deep-blue fishery products, but fishery enterprises tend not to develop deep-blue fishery. The evolution result is (1,1,1) as the fishery enterprises’ subsidy coefficient rises to 0.5 and 0.9. In this situation, the government provides deep-blue fishery subsidy, consumers buy deep-blue fishery products and fishery enterprises develop deep-blue fishery.
This shows that when the subsidy of fishery enterprises is smaller, fishery enterprises do not develop deep-blue fishery. As the subsidies for fishery enterprises increase, fishery enterprises start to develop deep-blue fishery and the game system in an ideal stable state. The reasons for this are as follows. In the event that the government offers reduced subsidies to fishery enterprises, the subsidy amount received cannot cover the cost of developing deep-blue fishery by the fishery enterprises. Therefore, the fishery enterprises do not develop deep-blue fishery. When the subsidies provided by the government to the fishery enterprises are increased to a specific value, the fishery enterprises’ marginal benefit of developing deep-blue fishery is more than the marginal benefit of developing the light-blue fishery, and the rational fishery enterprises choose to develop the deep-blue fishery.
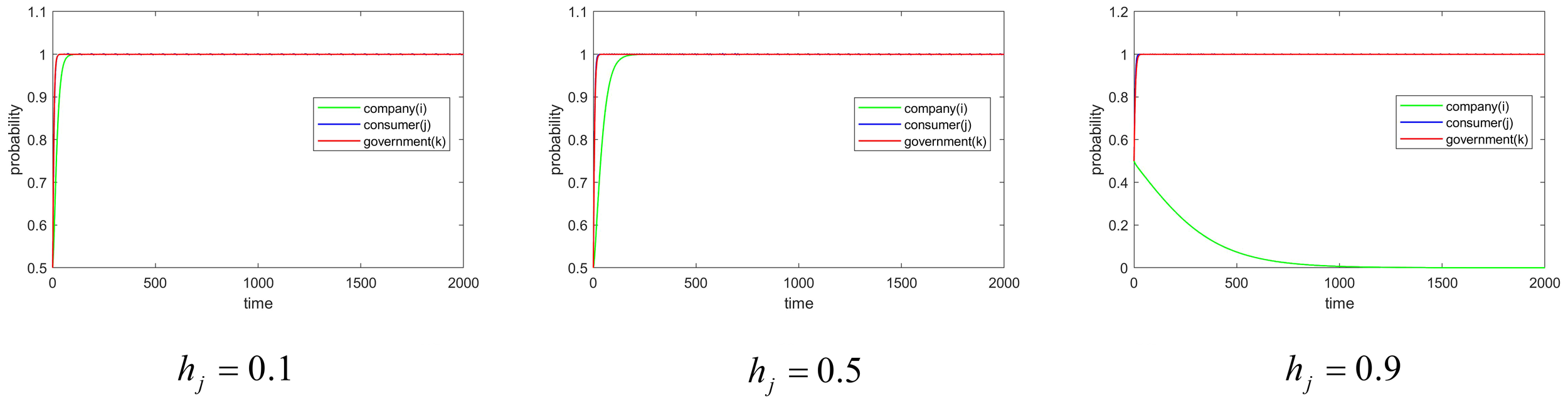
(2) The effect of subsidizing consumers on the stability of the system. Similarly, within the parameter range, the coefficients for consumer subsidies provided by the government are set at 0.1, 0.5, and 0.9, correspondingly. The outcomes are illustrated in Figures 6, 7.
Figure 6

Two-dimensional simulation results of consumer subsidy changes.
Figure 7

Three-dimensional simulation results of consumer subsidy changes.
From Figures 6, 7, It is known that the evolutionary result is (1,1,1) when the subsidy coefficient of consumer is 0.1 and 0.5. In this situation, the government subsidizes deep-blue fishery, consumers buy deep-blue fishery products and the fishery enterprises develop deep-blue fishery. The evolutionary result is (0,1,1) when the coefficient of consumer subsidy increases to 0.9. In this situation, government subsidizes deep-blue fishery, consumers buy deep-blue fishery products, but fishery enterprises do not develop deep-blue fishery.
This shows that the evolutionary system is stable when government offers reduced subsidies to consumers. However, fishery enterprises gradually do not develop deep-blue fishery as the subsidy given to consumers rises. When the government provides lower subsidies to consumers, the marginal benefit of purchasing deep-blue fishery products outweighs the marginal benefit of not purchasing. Consequently, rational consumers are inclined to make an optimal decision of purchasing deep-blue fishery products. Given that the subsidy amount remains relatively constant, it crowds out the subsidy amount obtained by fishery enterprises if the government provide more subsidies to consumers. In this case, the marginal returns of the fishery enterprises to develop deep-blue fishery are less than the marginal returns to develop light-blue fishery, and rational fishery enterprises choose not to develop deep-blue fishery.
4 Discussion
(1) Regarding government subsidy, the core issue discussed in this paper is the government subsidy strategy in the development of deep-blue fishery, specifically, should the government provide subsidies? Under what circumstances should subsidies be provided? For which subject to provide the subsidy? The results indicate that subsidies elevate the likelihood of fishery enterprises engaging in deep-blue fishery development, as well as encouraging consumers to purchase deep-blue fishery products, but there exist variations in the government’s subsidy strategies across eight distinct scenarios. Regarding the extent of subsidies, the quantity of government subsidies does not follow the principle of “the more, the better.” Regarding subsidy subjects, subsidizing fishery enterprise is better than seafood consumers. The results provide responses to aforementioned inquiries.
Numerous studies have shed light on the significant impacts of government subsidies on the fishing industry. Sumaila et al. estimated the amounts of global fisheries subsidies, noting that government subsidies lead to overfishing and overcapacity in the fishing industry (Sumaila et al., 2019), so they suggested that redirect capacity-enhancing subsidies to support sustainable activities, such as these subsidies can be used to support ‘fishing for plastic’ (Sumaila et al., 2016). Ba et al. showed that government subsidies contribute to the overexploitation of marine fishery and put forth a recommendation to eliminate fishery subsidies (Ba et al., 2022). Shen and Chen found that the implementation of fishing fuel subsidies reduces the production costs of fishing activities, thereby fostering the proliferation of fishing vessels and increased fishing intensity. This, in turn, exacerbates overfishing and ultimately results in the degradation of fishery resources (Shen and Chen, 2022). These studies point to the negative economic and environmental effects of excessive government fishery subsidies. In contrast to these conclusions, the findings of this paper affirm the positive impacts of deep-blue fishery subsidies. However, it is essential that government subsidies adhere to the moderation principle, higher subsidies are not better (Zheng and Yu, 2022), which is consistent with this study. In addition, the way and the fairness of subsidy are also important topics. Machado et al. show that bad subsidies increase carbon emissions, while good subsidies reduce carbon emissions from fishery (MaChado et al., 2021). Owusu and Adjei found that inequitable distribution of fishery input subsidies has serious detrimental effects on marine fishery and fishers’ livelihoods, including reduced fishing frequency, reduced catches, frequent damage to outboard engines, and increased fishing illegality (Owusu and Adjei, 2021). The study also found that the subsidies for deep-blue fishery are not yet in place. Since subsidies for deep-blue fishery have not yet been implemented in various countries, the question of whether subsidies should be provided is the primary issue facing countries today, so this paper does not further consider the question of subsidy modalities and distributional equity. Cerbule et al. found that simple modifications to fishing gear could alleviate bycatch problems in the shrimp fishery (Cerbule et al., 2021). Blanchard argues that the fragmentation of international fisheries law, including the absence of coordinated instruments and institutions, as well as inadequate coordination structures for fisheries management, is identified as a key factor contributing to the overexploitation of high seas fisheries and the associated risk of stock depletion (Blanchard, 2017). These findings provide measures and lessons for avoiding depletion of capture fisheries resources in the development of deep-blue fishery.
(2) Regarding deep-blue fishery, in terms of research content, the key problems facing the development of deep-blue fishery are marine science, technology and equipment bottlenecks, but financial constraints are also important aspects that cannot be ignored. Scholars mainly focus on the marine environment, development technology and equipment manufacturing in the development of deep-blue fishery. Such as Cerbule et al. found that incorporating a 200 mm mesh size topper in the final three segments of the upper belly of the trawl cone resulted in a reduction of bycatch of Greenland halibut and polar cod, without causing any significant impact on the Northeast Atlantic deep-water shrimp fishery (Cerbule et al., 2021). Utilizing data obtained from 70 trawls conducted during three separate commercial voyages in the Skagerrak and North Sea, Ingólfsson et al. found that the inclusion of a 15-cm opening in the lower section of the compulsory sorting net led to a substantial rise in the capture of commercially viable deep-water shrimp surpassing the minimum legal size requirement (Ingólfsson et al., 2022). Within the southwest Indian Ocean area, only Mozambique and South Africa have developed established deep-water trawl fisheries targeting a variety of crustacean species (Everett et al., 2015). However, these studies ignore the financial difficulties of fishery enterprises. And limited research has been conducted on the governmental subsidy aspect of fostering the advancement of deep-blue fishery. This is exactly the problem that this paper is trying to solve, hoping that government subsidies will alleviate the financial difficulties of enterprises in developing deep-blue fishery.
In terms of research objects, the pollution problem of near-shore mariculture has always been a key issue for research, for which scholars have proposed new models such as green transformation of mariculture and ecological farming of marine pastures. Weldrick and Jelinski conducted a comparative analysis of δ13C and δ15N signatures and the isotopic niches of mussels cultivated within a Canadian integrated multi-trophic aquaculture facility, they assessed the dietary impact of aquaculture-derived effluent on the mussels (Weldrick and Jelinski, 2016). Scholars have found that there are biased technological advances that have contributed significantly to the reduction of mariculture pollution (Ren, 2021). The promotion of high-quality mariculture industry poses new requirements for marine policies (Yu et al., 2020). Countries have explored marine pasture models to solve the problems of seawater pollution (Tan and Lou, 2021). The marine pasture has played an ecological restoration function (Fang et al., 2021; Qin et al., 2021), which enhance the ecological safety level (Du and Gao, 2020). However, there are many risks and problems that affect the ecological restoration function. Hair et al. found that a pilot marine ranching project in Papua New Guinea failed due to external pressures and community-based management (Hair et al., 2020). while less attention has been paid to the deep-blue fishery development. Given the limitations posed by near-shore aquaculture space and the degradation of the nearby ecological environment, the exploration of deep-blue fishery as an unavoidable trajectory for fishery development remains largely uncharted. This paper answers the question of government subsidy strategies for deep-blue fishery.
In terms of research perspective, existing studies have explored the issue of competition and cooperation in deep-blue fishery among governments around the world based on a global perspective. Hendrix et al. assessed the influence of the El Niño Southern Oscillation on the occurrence of militarized fishery disputes between countries around the East and South China seas (Hendrix et al., 2022). In order to combat unregulated high seas fishing in the central Arctic region of the Arctic Ocean, the Oslo Declaration was endorsed by the five Arctic states in 2015 (van Pelt et al., 2017), then The Agreement on the Prevention of Unregulated High Seas Fisheries in the Arctic was signed in 2018 (Vylegzhanin et al., 2020). Todorović et al. introduced a classification of seven prospective ecoregions within the International Commission for the Conservation of Atlantic Tunas convention area (Todorović et al., 2019). Durán Muñoz et al. surveyed a European groundfish within the Northwest Atlantic Fisheries Organization high seas regulatory area (Durán Muñoz et al., 2020). In contrast, this paper examines the issue of subsidy policy in deep-blue fishery based on a single country perspective. In addition, the existing research mainly starts from fishery enterprises, hoping to stimulate the transformation and upgrading of fishery enterprises in the form of government subsidies to expand from inshore to deep-sea, and less often involve seafood consumers, while consumer upgrading is an important driving force for the development of deep-blue fishery. Therefore, this paper incorporates consumers into the evolution game analysis framework for the development of deep-blue fishery.
(3) Regarding game method application in fishery, Yoshioka et al. mathematical game theory modeling of resource harvest during the fishing season and validation of the model based on 2023 Japanese sea bass data (Yoshioka et al., 2024). Lennox et al. constructed an epidemiological model of sea lice on farms, used wrasse as a cleaner for farmed Atlantic salmon and wild sea trout, and calculated the effect of wrasse on sea lice, a zero-sum game was found to occur in this farming ecosystem (Lennox et al., 2022). Scholars have also used this approach to analyze international fisheries fishing conflicts. Cisneros-Montemayor et al. developed a game-theoretic model of the transboundary Pacific sardine fishery between Canada, the United States and Mexico, argued that climate-driven dynamics of abundance and distribution can lead to overfishing and make international fisheries cooperation difficult (Cisneros-Montemayor et al., 2020). Accordingly, Klis and Melstrom used game theory to analyze the willingness of fishermen to engage in fishery resource conservation and restoration (Klis and Melstrom, 2020). Kane et al. explored the problem of allocating TAC quotas between the fishing fleets of Mauritania and the European Union, and analyzed the procedures and conditions for optimizing the allocation of fishing quotas among countries in the context of Nash equilibrium (Kane et al., 2022). In addition, the evolutionary game method is also used in fishery subsidies. Zhang et al. used complex network evolutionary game to explore the evolutionary law of the diffusion of cooperative behavior in marine carbon-sink fishery. The results show that: in the early stage, the government can promote marine carbon-sink fisheries through production subsidies; in the late stage, the government can gradually transform production subsidies into environmental subsidies (Zhang et al., 2023). On the contrary, Zheng et al. found through game analysis that government subsidization of aquaculture enterprises or direct investment in mariculture would undermine social welfare and the sustainable development of the mariculture industry (Zheng et al., 2024). It is known that government subsidies have both advantages and disadvantages. Based on these studies, we concentrate on the supporting role of deep-blue fishery subsidies. Yu et al. constructed an evolutionary game model of new pollutants in mariculture including government, sales platform and fishermen, and found that both government subsidies and penalties have positive effect in controlling new pollutants of mariculture, but there is a boundary of the role of the subsidy strategy (Yu et al., 2023b). He and Zhang constructed a tripartite evolutionary game model of fishery practitioners, research institutes and the government, found that subsidies will strengthen the willingness to participate in marine carbon sink fishery, while government control will frustrate their enthusiasm, and subsidies should be the main focus in the early stage of development, supplemented by penalties (He and Zhang, 2023). In contrast, this paper only studies government fishery subsidies and does not analyze government fishery regulation, which points out the direction for future research. Zheng and Zhang established a tripartite evolutionary game model contain consumers, ocean ranch enterprises and government of ocean ranches, the study shows that subsidies can promote the digital transformation of ocean ranches, and government subsidies given to consumers are better than marine ranch enterprises (Zheng and Zhang, 2024). Similarly, this paper includes seafood consumers in the game model and analysis framework. However, the difference is that this paper believes that subsidizing companies are more beneficial to the development of deep-blue fishery.
Undoubtedly, this paper has certain limitations. Firstly, the progress of the deep-blue fishery encounters obstacles of both technical and financial nature. It is important to note that the government subsidies examined in this study aim to solve the financial challenges faced by fishery enterprises in developing deep-blue fishery, without currently addressing the technical and other issues involved. Secondly, the channels for developing deep-blue fishery can be many, such as fishery enterprise financing, government subsidies, etc. This paper explores only from the perspective of government subsidies, and other perspectives can be further explored in the future.
5 Conclusions
5.1 Conclusions
This paper constructs a multi-subject cooperation pattern for the development of deep-blue fishery among fishery enterprises, consumers and the government, then establishes a three-party evolutionary game model to analyze whether and when government should provide subsidies for the development of deep-blue fishery. Further, using the data surveyed from enterprises, consumers and government, we emulate the effect of subsidy on the development of deep-blue fishery. The key findings of this research are as follows.
-
Government subsidy promotes the development of deep-blue fishery from supply and demand side. The probability of subsidies positively affects the development of deep-blue fishery by fishery enterprises, and also positively affect the purchase of deep-blue fishery seafood by consumers.
-
The evolutionary game system realizes eight different steady states and the optimal subsidy strategy of the government is adjusted based on benefits and costs analysis of fishery enterprises, government and seafood consumers.
-
The amount of government subsidies is not the more the better. The amount of government subsidies negatively affects the game system’s stability. As the government subsidy amount increases, the optimal strategy of the government is to gradually reduce the probability of subsidies and eventually not to provide subsidies for deep-blue fishery.
-
Compared with subsidies for consumer, subsidizing fishery enterprise are more beneficial to the stability of game system and the development of deep-blue fishery.
5.2 Policy implications
This paper argues that governments should further improve the subsidy policy for deep-blue fishery. First, the government should provide subsidies for the development of deep-blue fishery. If subsidies are not provided, fishery enterprises lack the incentive to develop deep-blue fishery. In addition, the time of subsidies and the total amount of subsidies should be controlled. The period should not be too long, and the deep-blue fishery subsidies should establish a certain amount of benchmark, so that the subsidies can really support the initial industrial development role. Second, determine a reasonable proportion of subsidies. The government subsidy ratio is not the higher the better, and there is no universal standard. Governments should carry out a sample survey on the cost and benefit of fishery enterprises before formulating relevant policies, combine the willingness of fishery enterprises to develop deep-blue fishery and the actual situation of the region, and determine a reasonable subsidy ratio to avoid excessive subsidies. Third, gradually optimize the structure of subsidies, focusing on subsidizing the supply side. The deep-blue fishery subsidies should be based on the supply side, moderately tilted to the fishery enterprises, so that the limited financial funds flow more to the fishery enterprises with high capital demand. Fourth, subsidy policies for deep blue fisheries should focus more on ecological sustainability and environmental protection. Specifically, the Government should not only provide traditional financial support, such as fuel subsidies, but should also encourage and finance fishing enterprises to adopt environmentally friendly technologies and practices. For example, special funds could be set up to support enterprises that adopt clean energy, reduce emissions from fishing vessels, and implement sustainable fisheries management and catch technologies. In addition, subsidy policies should include funding for the research, development and promotion of eco-friendly fishing equipment. Government subsidies can enhance the economic efficiency of the deep-blue fishery while also taking the ecological balance and sustainable development of deep-sea fishery resources into account.
Statements
Data availability statement
The original contributions presented in the study are included in the article/supplementary material. Further inquiries can be directed to the corresponding author.
Author contributions
SZ: Writing – review & editing, Writing – original draft, Validation, Project administration, Methodology, Data curation, Conceptualization. YZ: Writing – review & editing, Writing – original draft, Supervision, Methodology, Investigation, Funding acquisition, Conceptualization.
Funding
The author(s) declare financial support was received for the research, authorship, and/or publication of this article. This study was supported by the National Natural Science Foundation of China (Project No.:42176218).
Conflict of interest
The authors declare that the research was conducted in the absence of any commercial or financial relationships that could be construed as a potential conflict of interest.
Publisher’s note
All claims expressed in this article are solely those of the authors and do not necessarily represent those of their affiliated organizations, or those of the publisher, the editors and the reviewers. Any product that may be evaluated in this article, or claim that may be made by its manufacturer, is not guaranteed or endorsed by the publisher.
References
1
Ba A. Chaboud C. Brehmer P. Schmidt J. O. (2022). Are subsidies still relevant in West African artisanal small pelagic fishery? Insights from long run bioeconomic scenarios. Mar. Policy146, 105294. doi: 10.1016/j.marpol.2022.105294
2
Blanchard C. (2017). Fragmentation in high seas fisheries: Preliminary reflections on a global oceans governance approach. Mar. Policy84, 327–332. doi: 10.1016/j.marpol.2017.06.017
3
Cerbule K. Jacques N. Pettersen H. Ingólfsson Ó.A. Herrmann B. Grimaldo E. et al . (2021). Bycatch reduction in the deep-water shrimp (Pandalus borealis) trawl fishery with a large mesh top panel. J. Nat. Conserv.61, 126001. doi: 10.1016/j.jnc.2021.126001
4
Cisneros-Montemayor A. M. Ishimura G. Munro G. R. Sumaila U. R. (2020). Ecosystem-based management can contribute to cooperation in transboundary fisheries: The case of pacific sardine. Fish. Res.221, 105401. doi: 10.1016/j.fishres.2019.105401
5
Díaz-Delgado E. Crespo-Neto O. Martínez-Rincón R. O. (2021). Environmental preferences of sharks bycaught by the tuna purse-seine fishery in the Eastern Pacific Ocean. Fish. Res.243, 106076. doi: 10.1016/j.fishres.2021.106076
6
Dimarchopoulou D. Mous P. J. Firmana E. Wibisono E. Coro G. Humphries A. T. (2021). Exploring the status of the Indonesian deep demersal fishery using length-based stock assessments. Fish. Res.243, 106089. doi: 10.1016/j.fishres.2021.106089
7
Du Y.-W. Gao K. (2020). Ecological security evaluation of marine ranching with AHP-entropy-based TOPSIS: A case study of Yantai, China. Mar. Policy122, 104223. doi: 10.1016/j.marpol.2020.104223
8
Durán Muñoz P. Sacau M. García-Alegre A. Román E. (2020). Cold-water corals and deep-sea sponges by-catch mitigation: Dealing with groundfish survey data in the management of the northwest Atlantic Ocean high seas fisheries. Mar. Policy116, 103712. doi: 10.1016/j.marpol.2019.103712
9
Everett B. I. Groeneveld J. C. Fennessy S. T. Dias N. Filipe O. Zacarias L. et al . (2015). Composition and abundance of deep-water crustaceans in the Southwest Indian Ocean: Enough to support trawl fisheries? Ocean. Coast. Manag.111, 50–61. doi: 10.1016/j.ocecoaman.2015.04.003
10
Fang G. Yu H. Sheng H. Tang Y. Liang Z. (2021). Comparative analysis of microbial communities between water and sediment in Laoshan Bay marine ranching with varied aquaculture activities. Mar. pollut. Bull.173, 112990. doi: 10.1016/j.marpolbul.2021.112990
11
Garlock T. Asche F. Anderson J. Ceballos-Concha A. Love D. C. Osmundsen T. C. et al . (2022). Aquaculture: The missing contributor in the food security agenda. Glob. Food Sec.32, 100620. doi: 10.1016/j.gfs.2022.100620
12
Georgian S. E. Anderson O. F. Rowden A. A. (2019). Ensemble habitat suitability modeling of vulnerable marine ecosystem indicator taxa to inform deep-sea fisheries management in the South Pacific Ocean. Fish. Res.211, 256–274. doi: 10.1016/j.fishres.2018.11.020
13
Geraci M. L. Colloca F. di Maio F. Falsone F. Fiorentino F. Sardo G. et al . (2021). How is artificial lighting affecting the catches in deep water rose shrimp trawl fishery of the Central Mediterranean Sea? Ocean. Coast. Manag.215, 105970. doi: 10.1016/j.ocecoaman.2021.105970
14
Hair C. Foale S. Daniels N. Minimulu P. Aini J. Southgate P. C. (2020). Social and economic challenges to community-based sea cucumber mariculture development in New Ireland Province, Papua New Guinea. Mar. Policy117, 103940. doi: 10.1016/j.marpol.2020.103940
15
He Y. Zhang F. (2023). A game study on the implementation of marine carbon sink fisheries in the context of carbon neutrality – Analysis of the tripartite behavior of fishery practitioners, research institutions, and the government. Mar. Policy147, 105365. doi: 10.1016/j.marpol.2022.105365
16
Hendrix C. S. Glaser S. M. Lambert J. E. Roberts P. M. (2022). Global climate, El Niño, and militarized fisheries disputes in the East and South China Seas. Mar. Policy143, 105137. doi: 10.1016/j.marpol.2022.105137
17
Ingólfsson Ó.A. Jørgensen T. Sistiaga M. Herrmann B. Kvalvik L. (2022). Increasing catch efficiency for Nephrops in deep-water shrimp (Pandalus borealis) trawl fisheries. Fish. Res.254, 106394. doi: 10.1016/j.fishres.2022.106394
18
Kane E. A. Ball A. C. Brehmer P. (2022). Dilemma of total allowable catch (TACs) allocated as shareable quotas: Applying a bio-economic game-theoretical approach to euro-Mauritanian fisheries agreements. Aquac. Fish. doi: 10.1016/j.aaf.2022.02.008
19
Klis A. A. Melstrom R. T. (2020). Strategic behavior and dynamic externalities in commercial fisheries. Ecol. Econ.169, 106503. doi: 10.1016/j.ecolecon.2019.106503
20
Langseth B. J. Glover S. (2021). Distinguishing species-specific targeting practices within the main Hawaiian islands Deep 7 bottomfish fishery. Fish. Res.244, 106105. doi: 10.1016/j.fishres.2021.106105
21
Lennox R. J. Barrett L. T. Nilsen C. I. Berhe S. Barlaup B. T. Vollset K. W. (2022). Moving cleaner fish from the wild into fish farms: A zero-sum game? Ecol. Modell.474, 110149. doi: 10.1016/j.ecolmodel.2022.110149
22
MaChado F. L. V. Halmenschlager V. Abdallah P. R. Teixeira G. da S. Sumaila U. R. (2021). The relation between fishing subsidies and CO2 emissions in the fisheries sector. Ecol. Econ.185, 107057. doi: 10.1016/j.ecolecon.2021.107057
23
Owusu V. Adjei M. (2021). Politics, power and unequal access to fisheries subsidies among small-scale coastal fisherfolk in Ghana. Ocean. Coast. Manag.214, 105920. doi: 10.1016/j.ocecoaman.2021.105920
24
Qin M. Wang X. Du Y. Wan X. (2021). Influencing factors of spatial variation of national marine ranching in China. Ocean. Coast. Manag.199, 105407. doi: 10.1016/j.ocecoaman.2020.105407
25
Ren W. (2021). How to realize the sustainable development of mariculture industry——Re-examine from the perspective of biased technological progress in China. Mar. Policy134, 104791. doi: 10.1016/j.marpol.2021.104791
26
Shen C. Chen T. (2022). Impact of fuel subsidies on bottom trawl fishery operation in China. Mar. Policy138, 104977. doi: 10.1016/j.marpol.2022.104977
27
Sumaila U. R. Ebrahim N. Schuhbauer A. Skerritt D. Li Y. Kim H. S. et al . (2019). Updated estimates and analysis of global fisheries subsidies. Mar. Policy109, 103695. doi: 10.1016/j.marpol.2019.103695
28
Sumaila U. R. Lam V. Le Manach F. Swartz W. Pauly D. (2016). Global fisheries subsidies: An updated estimate. Mar. Policy69, 189–193. doi: 10.1016/j.marpol.2015.12.026
29
Syddall V. Thrush S. Fisher K. (2021). Transdisciplinary analysis of Pacific tuna fisheries: A research framework for understanding and governing oceans as social-ecological systems. Mar. Policy134, 104783. doi: 10.1016/j.marpol.2021.104783
30
Tan Y. Lou S. (2021). Research and development of a large-scale modern recreational fishery marine ranch System☆. Ocean. Eng.233, 108610. doi: 10.1016/j.oceaneng.2021.108610
31
Taylor M. D. Johnson D. D. (2021). Connectivity between a spatial management network and a multi-jurisdictional ocean trawl fishery. Ocean. Coast. Manag.210, 105691. doi: 10.1016/j.ocecoaman.2021.105691
32
Todorović S. Juan-Jordá M. J. Arrizabalaga H. Murua H. (2019). Pelagic ecoregions: Operationalizing an ecosystem approach to fisheries management in the Atlantic Ocean. Mar. Policy109, 103700. doi: 10.1016/j.marpol.2019.103700
33
van Pelt T. I. Huntington H. P. Romanenko O. Mueter F. J. (2017). The missing middle: Central Arctic Ocean gaps in fishery research and science coordination. Mar. Policy85, 79–86. doi: 10.1016/j.marpol.2017.08.008
34
Vylegzhanin A. N. Young O. R. Berkman P. A. (2020). The Central Arctic Ocean Fisheries Agreement as an element in the evolving Arctic Ocean governance complex. Mar. Policy118, 104001. doi: 10.1016/j.marpol.2020.104001
35
Wakefield C. B. Williams A. J. Fisher E. A. Hall N. G. Hesp S. A. Halafihi T. et al . (2020). Variations in life history characteristics of the deep-water giant ruby snapper (Etelis sp.) between the Indian and Pacific Oceans and application of a data-poor assessment. Fish. Res.230, 105651. doi: 10.1016/j.fishres.2020.105651
36
Weldrick C. K. Jelinski D. E. (2016). Resource subsidies from multi-trophic aquaculture affect isotopic niche width in wild blue mussels (Mytilus edulis). J. Mar. Syst.157, 118–123. doi: 10.1016/j.jmarsys.2016.01.001
37
Yoshikai M. Nakamura T. Tanaka Y. Nakaoka M. Watanabe A. Herrera E. C. et al . (2021). Modeling seagrass bed dynamics under environmental impacts of intensive mariculture activities in Bolinao and Anda, the Philippines. Estuar. Coast. Shelf. Sci.250, 107152. doi: 10.1016/j.ecss.2020.107152
38
Yoshioka H. Tsujimura M. Yoshioka Y. (2024). Numerical analysis of an extended mean field game for harvesting common fishery resource. Comput. Mathematics. Appl.165, 88–105. doi: 10.1016/j.camwa.2024.04.003
39
Yu J. Han Q. (2020). Food security of mariculture in China: Evolution, future potential and policy. Mar. Policy115, 103892. doi: 10.1016/j.marpol.2020.103892
40
Yu J. Yin W. Liu D. (2020). Evolution of mariculture policies in China: Experience and challenge. Mar. Policy119, 104062. doi: 10.1016/j.marpol.2020.104062
41
Yu L. Zheng S. Gao Q. (2023a). Independent or collaborative management? Regional management strategy for ocean carbon sink trading based on game theory. Ocean. Coast. Manag.235, 106484. doi: 10.1016/j.ocecoaman.2023.106484
42
Yu L. Zheng S. Gao Q. (2023b). Government environmental regulation strategy for new pollutants control in mariculture. Mar. Policy150, 105545. doi: 10.1016/j.marpol.2023.105545
43
Zhang R. Du J. Dong X. Huang Y. Xie H. Chen J. et al . (2021). Occurrence and ecological risks of 156 pharmaceuticals and 296 pesticides in seawater from mariculture areas of Northeast China. Sci. Total. Environ.792, 148375. doi: 10.1016/j.scitotenv.2021.148375
44
Zhang F. He Y. Xie S. Shi W. Zheng M. Wang Y. (2023). Research on the game of fishermen’s cooperative behavior in developing marine carbon sink fisheries from a complex network perspective. Ocean. Coast. Manag.244, 106832. doi: 10.1016/j.ocecoaman.2023.106832
45
Zheng M. Liang J. Huang X. Yu F. Guo S. (2024). Navigating offshore aquaculture: Efficient strategies for policymakers in transition. Ocean. Coast. Manag.249, 107019. doi: 10.1016/j.ocecoaman.2024.107019
46
Zheng S. Yu L. (2022). The government’s subsidy strategy of carbon-sink fishery based on evolutionary game. Energy254, 124282. doi: 10.1016/j.energy.2022.124282
47
Zheng S. Zhang Y. (2024). Analyzing the evolutionary game of subsidies’ strategy in the digitization of marine ranch: a theoretical framework. Front. Mar. Sci.11. doi: 10.3389/fmars.2024.1376256
Summary
Keywords
deep-blue fishery, government subsidy, fishing, aquaculture, game theory, simulation method
Citation
Zheng S and Zhang Y (2024) Can government subsidy promote the light-blue fishery upgrade to deep-blue fishery?. Front. Mar. Sci. 11:1370896. doi: 10.3389/fmars.2024.1370896
Received
15 January 2024
Accepted
15 May 2024
Published
05 June 2024
Volume
11 - 2024
Edited by
Tomaso Fortibuoni, Istituto Superiore per la Protezione e la Ricerca Ambientale (ISPRA), Italy
Reviewed by
Fengxuan Zhang, Zhejiang Ocean University, China
Murat Dağtekin, Central Fisheries Research Institute (CFRI), Türkiye
Davide Di Blasi, Anton Dohrn Zoological Station Naples, Italy
Updates
Copyright
© 2024 Zheng and Zhang.
This is an open-access article distributed under the terms of the Creative Commons Attribution License (CC BY). The use, distribution or reproduction in other forums is permitted, provided the original author(s) and the copyright owner(s) are credited and that the original publication in this journal is cited, in accordance with accepted academic practice. No use, distribution or reproduction is permitted which does not comply with these terms.
*Correspondence: Ying Zhang, yzhang@ouc.edu.cn
Disclaimer
All claims expressed in this article are solely those of the authors and do not necessarily represent those of their affiliated organizations, or those of the publisher, the editors and the reviewers. Any product that may be evaluated in this article or claim that may be made by its manufacturer is not guaranteed or endorsed by the publisher.