Abstract
Taxonomic confusion and limited data have impeded species-level biogeographic analyses of the world’s largest bony fishes, ocean sunfishes (Molidae; ‘molids’), in many ecosystems. However, recent advances in molid taxonomy and the emergence of photo-based community-science platforms provide an opportunity to revisit species-level biogeography. In this study, we use crowd-sourced images of 1,213 ocean sunfishes to determine if molid morphology visible in citizen-science images permits reliable species determination. From the ensuing data, we describe patterns in molid size structure and species composition from 1,178 molids observed in the Alaska and California Current Systems (ACS and CCS, respectively). Molids <1 m total length (TL) were commonly reported in the CCS, particularly off the central coast of California, suggesting this area may function as a molid nursery. Molids >1 m TL were more commonly observed in both the CCS and cooler ACS, which suggests larger molids occupy a larger thermal range (ontogenetic habitat expansion) than smaller individuals. Overall, Mola mola was the most frequently observed species in both the ACS and CCS; however, the persistent occurrence of Mola tecta in both current systems suggests a range extension for this otherwise Southern Hemisphere species. The species identity of six M. tecta specimens from California and Alaska were verified with genetic analysis. Finally, two Mola alexandrini confirmed in the southern portion of the CCS represent the first records of this species in the Northeast Pacific Ocean.
1 Introduction
Ocean sunfishes (Molidae; ‘molids’) are charismatic teleost megafauna known for their unusual appearance, high fecundity and large adult size, including the record for heaviest bony fish. Currently, one small (<75 cm total length, TL) and four large species (>2.4 m TL) are recognized across three genera: slender sunfish Ranzania laevis (Pennant 1776), sharptail sunfish Masturus lanceolatus (Liénard 1840), ocean sunfish Mola mola (Linnaeus 1758), giant sunfish Mola alexandrini (Ranzani 1834) sensuSawai et al. (2018) and Sawai and Nyegaard (2023), and the recently described hoodwinker sunfish Mola tecta Nyegaard et al., 2017. Although molids occur circumglobally in tropical to cold-temperate marine ecosystems, a legacy of taxonomic confusion and misidentification has confounded knowledge of species-level biogeography (Fraser-Brunner, 1951; Phillips et al., 2017; Nyegaard et al., 2018a, b; Sawai et al., 2018; Caldera et al., 2020; Sawai et al., 2020). Recent advances in phylogenetic, taxonomic, and morphological understanding of the genus Mola (Sawai et al., 2018; Nyegaard et al., 2018b; Sawai et al., 2020) and the emergence of online community-science platforms (e.g., www.inaturalist.org) provide an opportunity to revisit species-level biogeographic patterns using crowd-sourced media.
The ocean sunfish, M. mola, has long been known to occur in the Alaska and California Current Systems (ACS and CCS, respectively). There is evidence of a prehistoric fishery for M. mola in southern California (Porcasi and Andrews, 2001), and, despite not being targeted commercially in the ACS or CCS, M. mola was reported to comprise 14-61% of the total catch in the large-mesh California drift gillnet fishery (set to phase out in 2027) (Cartamil and Lowe, 2004; Thys et al., 2015; Hahlbeck et al., 2017). In the southern CCS, small juvenile M. mola school seasonally along the California coast (Thys unpublished data, www.oceansunfish.org), foraging on energy-rich benthic prey (e.g., Nakamura and Sato, 2014; Phillips et al., 2020). As they grow, they become semi-solitary and exhibit vertical excursions to forage on gelatinous zooplankton (e.g., Nakamura and Sato, 2014; Phillips et al., 2020). Larger subadult and adult M. mola are commonly observed near the coast of California and can be seen year-round in Monterey Bay (Thys pers obs). However, some individuals migrate seasonally in the southern portion of the CCS, moving southward into Mexican waters during fall and winter (Thys et al., 2015). Although little is known about molids in the ACS, M. mola has been reported as far north as Alaska and in substantial numbers in Queen Charlotte Sound in British Columbia, Canada, during summer (Thys and Williams, 2013). Before 2019, no other Mola species had been known to occur in the CCS and ACS.
The hoodwinker sunfish, M. tecta, first described in 2017, was initially confirmed off New Zealand, Southeast Australia, South Africa, and Chile, with a single putative record from the Northern Hemisphere (Dutch coast, 1889) (Nyegaard et al., 2018b). Accordingly, M. tecta’s core distribution was described as the temperate Southern Hemisphere with specimens later confirmed in Peru’s cold Humboldt Current (Mangel et al., 2019; Caldera et al., 2020). However, in 2019, a M. tecta specimen was stranded in Santa Barbara, California (US01 in Supplementary Table 1), and additional verifiable reports of M. tecta from the Northeast Pacific Ocean emerged from ensuing media attention. These observations raise several questions, including: How common is M. tecta in the Northeast Pacific Ocean, and should this ecosystem be considered a range extension?
In this study, we leveraged crowd-sourced molid media and tissue samples from the ACS and CCS to genetically confirm the occurrence of M. tecta in these ecosystems; explore if molid species can be consistently distinguished based on morphological characteristics visible in images and videos; and describe broad spatial patterns in molid size structure and species composition from the ACS and CCS.
2 Methods
2.1 Media collection
Media (photos, videos) of molids from the ACS and CCS, along with metadata, were compiled from several sources, including iNaturalist (www.inaturalist.org), public outreach campaigns, the authors’ private networks, and in collaboration with several ocean-focused organizations (e.g., Marine Education and Research Society, oceansunfish.org, Coastal Observation and Seabird Survey Team, JellyWatch, NOAA, and various museum collections). Crowd-sourced media comprised sightings from beach strandings, museum records, and live sightings from vessels, divers, snorkelers, and remotely operated vehicles. Most data (68%) originated from direct submissions to iNaturalist or the Marine Education and Research Society. Sighting metadata was verified with observers whenever possible (date, location/locality, molid size, and observation notes) except for records from iNaturalist, where observer-reported metadata was assumed correct. Each observation, including accompanying metadata, was reviewed before being included in the analysis. Only observations with an identifiable photo or video, and where date and location could be reasonably inferred, were considered. Duplicate observations, observations of captive fish, observations from other ecosystems, and observations without photo or video were excluded from the analysis. When observers did not provide GPS coordinates but provided a detailed description of the locality, coordinates were estimated within 10 km of landmarks referenced in the submission using Google Earth. Each record was also annotated with the observation type [at surface (seen from above water); at/near surface (seen from below water); at depth (seen from below water); stranded, on fishing boat (caught), in collection].
2.2 Size and species determination
The size of each molid was subjectively gauged by a Molidae researcher (MN) as <1 m TL or >1 m TL based on 1) relative size to other objects in the images, 2) the aspect ratio (height to width) of dorsal and anal fins, which decreases with increasing molid size (Watanabe and Sato, 2008; Watanabe and Davenport, 2020), and 3) the degree of body bulkiness, which increases with molid size.
Molid species determination was based on all visible taxonomic characteristics following Sawai et al. (2018, 2020) and Sawai (2021) (Figure 1). We holistically assessed all visible characters, because single characters are typically insufficient to determine to species. For example, the presence of a smooth band back-fold, or an indent in a smooth clavus margin (see Figure 1), does not, in isolation, identify M. tecta because M. mola and M. alexandrini may have faint back-folds (Sawai et al., 2018; Nyegaard et al., 2018b) and an indent in the clavus margin could be due to injury or malformation. Further, the presence or absence of morphological characters was considered relative to molid size, as nearly all characters develop with growth. Each molid observation was independently determined to the lowest possible taxon by two identifiers – a Molidae researcher with ten years of experience (MN) and a fish ecologist trained using the guide in Figure 1 (TML). Where determinations differed, a third Molidae researcher (TMT) independently identified the observation. Determinations differing in taxonomic level (e.g., M. mola versus Mola sp.) were resolved using the majority ID (2/3 of identifiers). Direct species- or genus-level conflicts (e.g., M. mola vs M. tecta) would have been resolved by reverting to the lowest agreed taxon (in this case, Mola sp.); however, no such conflicts occurred.
Figure 1

Summary of key taxonomic characters in large-bodied molids (Molidae) used for species determination in this study (Sawai et al., 2018, 2020; Nyegaard et al., 2018b; Sawai, 2021). Note that nearly all illustrated characters emerge/develop with size and depicted fish are c 1.5 m total length. Images by Travis Wheeland (M. mola), Paul E. Festa (M. tecta), Marianne Nyegaard (M. alexandrini), Adi Huang (Masturus lanceolatus), illustrations by Cata & Co.
Spatial distributions of size and species data were plotted as hexagonal heatmaps in R (Villanueva and Chen, 2019), where a latitudinal boundary between the ACS and CCS was defined at 43°N (Auad et al., 2011). The frequencies of <1 m TL and >1 m TL molids, and M. tecta >1 m TL relative to all other molids >1 m TL in each current system were compared using Pearson’s chi-squared test for count data with Yates’ continuity correction ) in R (version 4.3.1) using the function chisq.test().
2.3 Genetic analyses
Tissue samples from six stranded (dead) molids, identified as M. tecta from photos, were opportunistically collected by local scientists and members of the public (California: n=4, Alaska: n=2). Tissue was preserved in 70% ethanol, RNALater® or dimethyl sulfoxide (DMSO) for transport to labs. All DNA extractions proceeded using Qiagen DNeasy Blood and Tissue Kits, following the manufacturer’s protocol. The Cytochrome c subunit 1 (CO1) locus was amplified and sequenced as described in Supplementary Table 1. All sequences were submitted to GenBank [Accession numbers PQ636871 - PQ636876].
To verify the species identity of the sampled molids, the COI sequences were pooled with all CO1 sequences labeled Mola spp. or Ma. lanceolatus in NCBI (n=61). The sequences were aligned with Clustal W in Unipro UGENE v50.0 using default settings and trimmed to equal lengths (616 base pairs), except 7 shorter sequences (511 – 611 bp). Phylogenetic relationships were inferred using the PhyML (Maximum Likelihood; ML) analysis on the T-rex server (Boc et al., 2012; http://www.trex.uqam.ca). Following Nyegaard et al. (2018b) for Molidae COI model selection, the HKY85 model was used with optimized equilibrium frequencies, estimated tv/ts ratio, gamma distribution parameter, and four substitution rate categories, with the mean used for the middle of each rate class. Branch support was estimated with 1,000 bootstraps. The resulting phylogenetic tree was visualized in TreeViewer v2.2.0 (Bianchini and Sánchez-Baracaldo, 2024) as a rooted tree with Ma. lanceolatus as the outgroup.
To confirm the species identity of the sampled molids, we compared the tree topology with the analysis in Nyegaard et al. (2018b), which included an assessment of likely mislabeled Molidae sequences in NCBI. Finally, we determined which species group(s) our novel sequences clustered with.
3 Results
3.1 Size and species determination
Media from 1,213 molids (representing 1,000 observations) in the ACS and CCS were examined to determine species identities. Species determination by two independent identifiers resulted in 1,152 agreements (95.0%) and 61 disagreements (5.0%). All disagreements occurred due to differences in taxonomic level (e.g., M. mola vs. Mola sp.), with no direct, species-level conflicts (e.g., M. mola vs. M. tecta). Most disagreements (72.1%; n=44) occurred between determinations of M. mola versus Mola sp. Resolving determination disagreements with input from the third identifier resulted in an additional twenty-nine species-level identifications (all M. mola), twenty-six genus-level identifications (all Mola sp.), one family-level identification (Molidae), and three instances of unverifiable organisms (undetermined; removed from the dataset). In total, 471 specimens were identified to species level (423 M. mola, 45 M. tecta, 2 M. alexandrini, 1 R. laevis), 648 specimens identified as Mola sp., and 83 specimens identified as large-bodied Molidae (Mola spp. or Ma. lanceolatus). As our study focused on large-bodied molids, the small-bodied R. laevis was removed from the dataset.
The subset of observations for which a location and a size estimate were available (n=1,178 specimens) consisted of nearly equal numbers of molids <1 m TL (n=586) and >1 m TL (n=592) (Figure 2A). While most of the molids >1 m TL (62.3%; n=369) were determined to species, the vast majority (77.6%; n=455) of molids <1 m TL could only be determined to genus (Mola sp.; Figure 2A) often due to insufficient development of taxonomic characters. All identified molids <1 m TL were determined to be M. mola. In both size groups, molids determined to family were consistent with Mola spp. but were insufficiently visible in the images to definitively exclude Ma. lanceolatus.
Figure 2

(A) Final taxonomic determinations (n=1,178), based on three identifiers, by molid size category (<1 and >1 m total length). (B, C) Taxon determination level (species or genus/family) of molid observations by size and observation type. Percentages above the bars indicate the percent of specimens identified to species for each category. (D, E) Molid observation type (n=1,178) by taxon and size category. Numbers above the bars denote the number of specimens for each taxon and size group. Observation types are: at surface (seen from above water); at/near surface (seen from below water); at depth (seen from below water); stranded, on fishing boat (caught), in collection.
3.2 Observation types
Across the dataset, most observation types were of molids basking or swimming at the sea surface (seen from above water) (59.7%, n=703) or stranded on beaches (25.7%, n=303). However, this differed between size categories; most >1 m TL molids were observed at the sea surface, while most <1 m TL molids were observed either at the sea surface or stranded on beaches (Figures 2B, C).
Across observation types, most molids <1 m TL could not be determined to species, except for specimens accessioned in museum collections (100% success) (Figure 2B). In contrast, most molids >1 m TL types could be determined to species across all observation types (Figure 2C).
The taxa- and size categories comprised different proportions of observation types (Figures 2D, E). Both Molidae <1 m TL and >1 m TL mainly comprised observations at the sea surface. The M. mola and Mola sp. <1 m TL observations were mainly of stranded specimens and specimens at the sea surface (Figure 2D). The M. Mola and Mola sp. >1 m TL observations were mainly from the the sea surface, with similar proportions of observations from other observation categories (Figure 2E). In contrast, relatively few M. tecta observations were made at the sea surface, with comparatively higher proportions of underwater observations, strandings, and fishing boat captures (Figure 2E).
3.3 Species and size composition
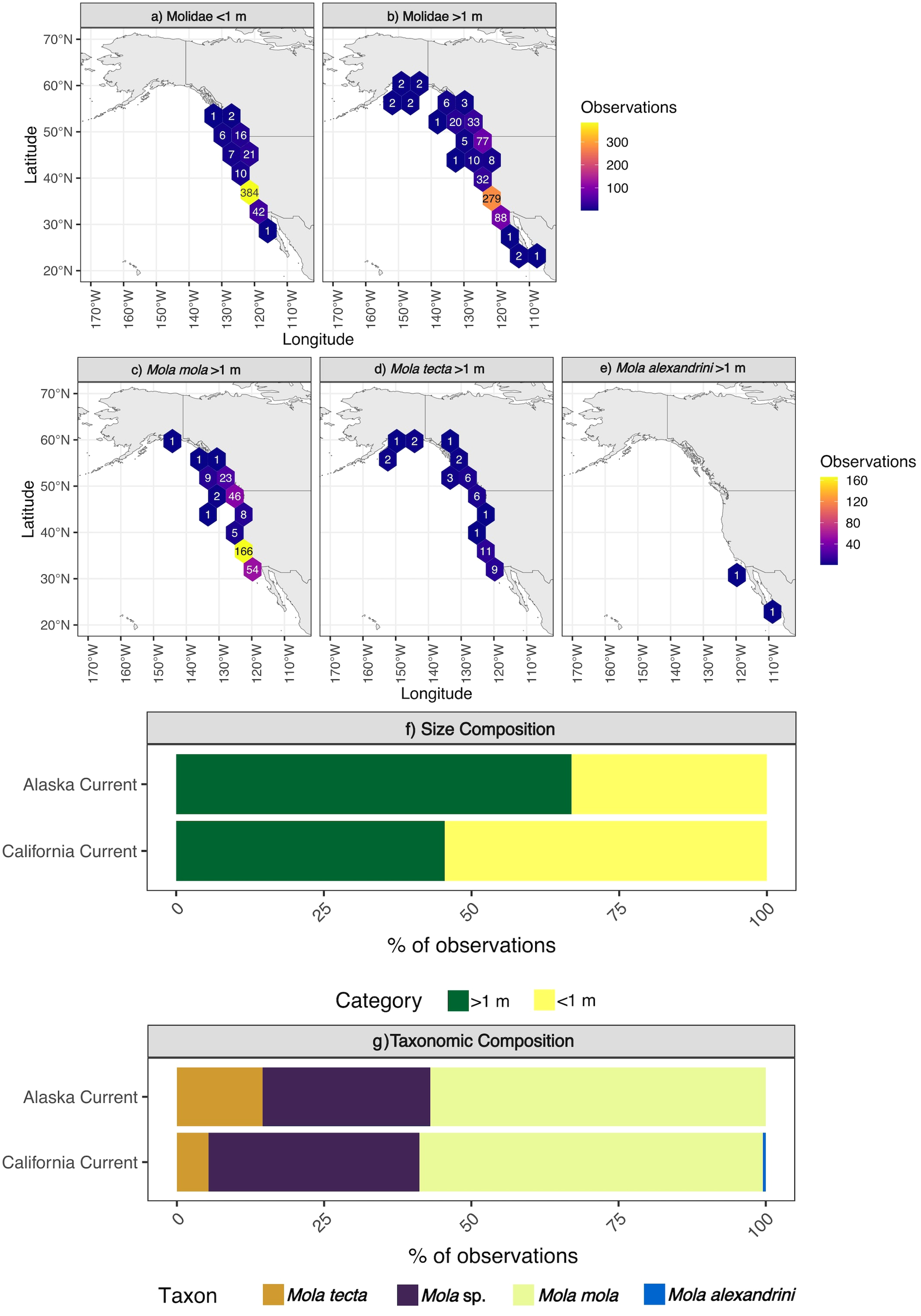
Molids were observed from southern California to Kodiak Island in Alaska, with most sightings from the California coast for both size groups (Figures 3A, B). Mola mola and M. tecta observations had overlapping distributions from southern California to Alaska, with most sightings along the California coast for both species (Figures 3C, D). Mola alexandrini was only observed twice, and both times near the California-Mexico border (Figure 3E). A single R. laevis was observed in the southern California Current [iNaturalist observation 1472850 – removed from the final dataset]. Observed molids in the ACS comprised a significantly higher proportion of >1 m TL individuals compared with the CCS [X2 (1, N = 1185) = 37.27, p< 0.01] (Figure 3F). Similar numbers of M. tecta (n=24 and n=21) were reported in both current systems; however, M. tecta (all >1 m TL) contributed a significantly higher proportion of total molids >1 m TL in the ACS (15.8%) than in the CCS (5.3%) [X2 (1, N = 594) = 11.92, p< 0.001] (Figure 3G).
Figure 3

Spatial distribution of crowd-sourced observations of (A) Molids <1 m in total length (TL) (n=490), and (B) Molids >1 m TL (n=575) along the Northeast Pacific coastline of North America. Distribution of crowd-sourced observations of (C)Mola mola >1 m TL (n=317), (D)Mola tecta >1 m TL (n=45), and (E)Mola alexandrini >1 m TL (n=2). Within each panel, hexagons represent the same area (of geographic space). Size (F) and species (G) composition of molids from crowd-sourced observations across Alaska and California Current Systems.
3.4 Genetic analyses
DNA from all six samples was successfully amplified and sequenced. The ML phylogenetic tree closely resembled that of Nyegaard et al. (2018), with four major clades with high branch support (95 – 100). Three of these clades consisted of NCBI sequences labeled either Ma. Lanceolatus, M. tecta, or M. mola, respectively (Figure 4). The fourth was a mixed species cluster of NCBI sequences labeled M. mola and M. alexandrini. These findings were similar to those of Nyegaard et al. (2018b), where three “M. mola” sequences were found to be mislabeled M. alexandrini. Our mixed cluster included an additional three, newer “M. mola” sequences, with one of these (LC659949) being M. alexandrini (A. Yamada pers com Nov 2024). The remaining two sequences (OQ918272, PQ169543) are likely cases of mistaken identity, related to the recent redescription of M. alexandrini (Sawai et al., 2018), the historic taxonomic confusion in Molidae, and the lack of updated Molidae field guides. Regardless, all novel sequences from this study clustered with known M. tecta sequences, including the holotype (Nyegaard et al., 2018b), confirming the visual identification of the sampled fish.
Figure 4

Phylogenetic relationships inferred by maximum likelihood (ML), based on the CO1 locus from six novel molid sequences (this study), pooled with Mola spp. and Masturus lanceolatus sequences from NCBI (n=61). All ML bootstrap values >70 are shown numerically above black dots. The scale bar represents nucleotide substitution. *Denotes sequences resolved in Nyegaard et al. (2018b) or in this study as M. alexandrini despite being labelled otherwise in NCBI. Putative M. alexandrini are labeled M. mola in NCBI, presumably in error (see text).
4 Discussion
4.1 Media-based species determination
Morphological species characteristics were sufficiently visible in most crowd-sourced media for species determination of molids >1 m TL, revealing two species (M. alexandrini and M. tecta) not previously reported from the Alaska or California Current Systems. Opportunistic genetic analyses corroborated the species identity of a subset of stranded M. tecta (n=6) identified visually from photographs.
Our holistic, media-based approach to molid species determination was remarkably consistent among identifiers (no direct determination conflicts; 95% were exact matches among two identifiers). However, as anticipated, our strategy was ineffective with molids <1 m TL (excluding R. laevis), as their diagnostic morphological characteristics had not yet developed or were not visible in crowd-sourced media. Therefore, a media-based approach to molid biogeography is currently most informative for larger molids and less so, without supportive methods, for smaller molids.
4.2 Ontogenetic changes in habitat
Our results suggest that molids exhibit ontogenetic shifts in habitat use in the Alaska and California Current Systems. Molids <1 m TL were frequently reported from the central California coast and comprised over half of all observations in the CCS. These findings align with the known seasonal influx of small molids (approx 30 – 50 cm TL; Thys pers obs; Gotshall, 1961) along the Californian coast, where they strand along beaches and are preyed upon by California sea lions (Thys, 1994). Conversely, larger molids (>1 m TL) dominated observations in the ACS. Larger molids have higher thermal inertia and utilize a broader depth range than smaller individuals (e.g., Nakamura and Sato, 2014), so the significantly higher proportion of larger molids in the colder ACS suggests these molids occupy a wider thermal range across geographic space, too. Our results are consistent with opportunistic spring and summer ship-board surveys in Queen Charlotte Sound, British Columbia, where reported molids were nearly all >1 m TL (Thys and Williams, 2013). These findings suggest that California’s southern and central coast may function as a nursery for small molids, with larger individuals being more broadly distributed in the northern CCS and ACS.
4.3 Species composition
Our study revealed extensive geographic overlap of M. mola and M. tecta in the ACS and CCS. Overlapping distributions of large-bodied molid species have also been reported in other ocean ecosystems (e.g., Yoshita et al., 2009; Nyegaard et al., 2018a; also, see observations on www.inaturalist.org). However, niche partitioning between sympatric molid species is poorly understood (Arostegui et al., 2020), with recent research finding similar trophic niches and narrow diets for the close relatives M. mola and M. alexandrini in Taiwanese waters (Chang et al., 2024).
In our study, species composition analysis revealed that while M. mola was the most observed species within both current systems, the proportion of reported M. tecta (all >1 m TL) relative to other molids >1 m TL was significantly higher in the ACS compared with the CCS. This difference could potentially reflect differing thermal optima between the two species (e.g., Nyegaard et al., 2018a; Arostegui et al., 2020), or niche partitioning in habitat, diet, or foraging between the two species (e.g., Chang et al., 2024). However, little is known about the diet and horizontal and vertical movements of M. tecta. For example, while biotelemetry studies across several ocean ecosystems have reported seasonal latitudinal migrations and repeated deep-water excursions for M. mola (e.g., Dewar et al., 2010; Thys et al., 2015; review in Sousa et al., 2020), no research has been conducted on the movements of M. tecta. The E/V Nautilus’ ROV Hercules observation off Santa Barbara in July 2017 – included in this study – represents this species’ deepest confirmed record (71-74 m).
4.4 Observation types and molid behavior
Gathering crowd-sourced media of molids is inexpensive (albeit time-consuming), however, the diverse means of data collection and variable data quality has implications for species determination. For molids <1 m TL, the species determination success was low for all observation types, except the ‘collection’ category, where detailed images were available. For >1 m TL molids, the species determination success was high and similar across observation types. Of these, the least successful observation type was ‘at sea surface, seen from above water’, mainly due to numerous images showing only a dorsal fin.
Pooling observations from different observation types could potentially lead to bias if behavioral differences between molid species lead to differing probabilities of human detection. For example, several observations in this study (n=5) confirm M. tecta bask at the ocean’s surface (like M. mola -Abe and Sekiguchi, 2012; Nakamura et al., 2015); however, it is unknown if M. tecta and M. mola spend similar time basking with equal likelihood of being observed by vessels. In our study, the smaller proportion of M. tecta observations from the sea surface compared with >1 m TL M. mola could indicate this may be the case. Similarly, while observations (n=4) confirm M. tecta solicit cleaner fish interactions on California reefs (like M. mola - Hobson, 1971; Vasco-Rodrigues and Cabrera, 2015), it is unknown if both species spend similar amounts of time at cleaning stations with equal likelihood of being observed by SCUBA divers. Any such differences could potentially introduce bias in a dataset like ours, originating from many sources (whale-watching vessels, SCUBA divers, beachcombers, etc.). This could further be exacerbated by the varying observational footprints in space and time, including the disparity in observational effort in the CCS (with large population centers) and the ACS (in general, sparsely populated, especially in the northern region).
In conclusion, the diverse means of data collection employed in this study and uncertainty in species-specific molid behaviors create challenges for directly comparing species commonality in the two current systems. Further research is needed to establish if M. tecta is proportionally more common among molids in the ACS than the CCS; two current systems that could be valuable comparative study areas to investigate niche partitioning between two morphologically similar species.
4.5 Range extension
Mola tecta is considered a temperate species (Nyegaard et al., 2018b), with no current observations in tropical waters. While warm equatorial waters may form a thermal barrier for continuous M. tecta distribution between the Northeast and Southeast Pacific Oceans basins (i.e., between California and Peru), trans-equatorial movements could potentially occur through isothermal submergence as has been suggested for other species (e.g., Møller et al., 2003) or become more frequent during cool phases of climate oscillations (e.g., La Niña) when equatorial surface water temperatures drop (e.g., see ENSO-linked Humbolt squid range expansion - Zeidberg and Robison, 2007). While further research is needed to understand M. tecta’s distribution, the large number of confirmed M. tecta from the Northeast Pacific Ocean (n=45) provides compelling evidence for a species range extension in the CCS and ACS. Genetic research could help elucidate this species’ connectivity across its Pacific Ocean distribution.
Key aspects of M. tecta’s reproductive biology remain unknown, including the location of spawning grounds. It is worth noting that all sampled individuals in this study were female. Examination of the ovary of a 205 cm TL M. tecta stranded in Santa Barbara, California (US01 in Supplementary Table 1) revealed signs of secondary oocyte recruitment but no indications of prior spawning (Forsgren et al., 2020). The size at maturity is unknown for M. tecta, so it is unclear if this is unusual. It is also unclear whether the CCS functions as a nursery area for this species, like M. mola. All confirmed M. tecta observations were of relatively large fish (all estimated at >1 m TL; size estimates provided by observers ranged from 1.2–2.2 m), however, we cannot dismiss the possibility that smaller M. tecta occur in the Northeast Pacific Ocean.
4.6 Conclusion
The use of crowd-sourced observations to study large marine animals presents both exciting opportunities and notable limitations. Overall, we report that media crowdsourcing is a practical, noninvasive, complementary tool to genetic analysis to elucidate species-level molid biogeography, with potential to compile much larger datasets than genetic sampling alone. By mobilizing large numbers of community scientists (in this case, hundreds of observers), we were able to expand the temporal and spatial range of molid data, which would be cost-prohibitive and logistically challenging for traditional monitoring approaches. This approach can be particularly useful for understanding the distribution and habitat use of data-deficient species that are frequently observed by humans. However, key challenges include ensuring data consistency and accuracy (data quality varies), temporal and spatial observation biases (uneven observer density and interspecific behavioral differences), difficulty quantifying or standardizing effort across diverse data sources (e.g., divers, whale-watching vessels, beachcombing), and the loss of ‘absence data’ collected in traditional scientific surveys (which can be useful in predictive models of species range).
Media-based datasets and emerging technologies (e.g., artificial intelligence) have exciting promise for numerous applications, including molid species determinations and recognition of individuals; these technologies could be used to generate large datasets and investigate environmental perturbations on molid strandings, mortality, behavior and site fidelity (e.g., Nyegaard et al., 2023). However, the approach currently has limitations; our crowd-sourced data collection suggests that the central coast of California may function as a nursery for young molids. These small molids, in general, cannot be identified to species from crowd-sourced media alone because they haven’t yet developed clear diagnostic morphological characters. Developing a molid field guide (to include subadult molids) is vital to help identify key habitats for molids’ early life stages and assess conservation status (Thys et al., 2020; Phillips et al., 2023).
Finally, although we find that M. mola is the most frequently observed species in the ACS and CCS, we also report – for the first time – the occurrence of M. alexandrini (in the southern portion of the CCS) and M. tecta (from southern CCS to central ACS).
Statements
Data availability statement
The novel DNA sequences presented in this study can be found at National Center for Biotechnology Information (https://ncbi.nlm.nih.gov), accession numbers PQ636871 - PQ636876. The name of the repository and accession numbers can also be found in the article and Supplementary Material. The raw media-based data supporting the conclusions of this article will be made available by the authors, without undue reservation.
Ethics statement
Ethical approval was not required for the study involving animals in accordance with the local legislation and institutional requirements because all tissue samples were obtained from fish, which had stranded and died naturally prior to sampling.
Author contributions
TM-L: Data curation, Formal analysis, Methodology, Visualization, Writing – original draft, Writing – review & editing. TMT: Data curation, Investigation, Writing – review & editing. JH: Investigation, Resources, Writing – review & editing. EJC: Investigation, Resources, Writing – review & editing. EEB: Investigation, Resources, Writing – review & editing. JRM: Investigation, Resources, Writing – review & editing. MN: Conceptualization, Data curation, Formal analysis, Methodology, Resources, Validation, Visualization, Writing – review & editing.
Funding
The author(s) declare financial support was received for the research, authorship, and/or publication of this article. A project GoFundMe campaign covered costs of Molidae illustrations and FileMakerPro software to curate crowd-sourced observations. William & Mary Libraries APC Support Fund covered the publishing charge. Genetic analysis and sequencing were covered in-kind by the laboratories.
Acknowledgments
We are grateful to the many members of the public who supported our GoFundMe campaign and/or provided molid observations to iNaturalist (www.inaturalist.org), www.oceansunfish.org, via the data collection campaign of the Marine Education and Research Society, or directly to the authors. We are also grateful for assistance in sampling stranded molids, obtaining larger image datasets, local knowledge, and for permission to use media during the outreach campaign: Cheryl Applebaum, Wendy Ranney Armstrong (Orca Adventure Lodge), Daniel Bianchetta (Big Sur Photo), Jeremy Botz (Alaska Dept of Fish and Game), Jason Bradley (Bradley Print Services), Blue Ocean Productions, Allison Bronson (Humboldt State University), Catalina Sea Camp, Jeff Cole, Chad Chrighton, Louisa Clarke and Natasha Dickinson (Fisheries and Oceans Canada), Bryan Curtis, Matt Drake (Fisheries and Oceans Canada), Jean-Louis Delezenne, Doug Engel, John Evans, Ralph Foster (South Australian Museum), Paul Furnarni, Erika Grebeldinger, Will Greenough, Kirk Hargreaves, Michael Howard (Monterey Bay Aquarium), Jacqueline Huard (University of British Columbia), Karen Johnson (Unusual Marine Life of Alaska), Howard Jones, Jackie Lindsey and Julia Parrish (COASST), Jake Pattison, Nick LeBeouf (SD Expeditions), Michelle McCune, Mark McGrouther (Australian Museum), Steve Moffitt (Alaska Dept of Fish and Game, retired), Cheryl Morgan and Jamal Moss (NOAA), Jim Murphy (NOAA, retired), Erik Obrien (Southwest Alaska Municipal Conference), Anthony Norton, Joe Orisi (NOAA), Kenley Prober, J.R. Rardon (Strait Shooter Photography), Michael Regular, Richard Schwarz, Frank Soldano Jr., Kellen Shoemaker, John Vonderlin, Keller Wattum (Deckled Aviation), Jennifer Weber and crew (Solomon Gulch Fish Hatchery), Patrick Webster (Monterey Bay Aquarium), S Yin and Desray Reeb, Colleen Young (California Dept of Fish and Wildlife), and several Monterey SCUBA divers, including Wei Wei Gao, Morton Jonus chat, Don Mueller, Joe Platko, Jr Sosky, Lauren Wilson. A special thank you to Jessica Nielsen (Coal and Oil Point Reserve) and Thomas Turner (University of California Santa Barbara), who found and assisted in the species verification of the Mola tecta found in Santa Barbara in 2019.
Conflict of interest
The authors declare that the research was conducted in the absence of any commercial or financial relationships that could be construed as a potential conflict of interest.
Publisher’s note
All claims expressed in this article are solely those of the authors and do not necessarily represent those of their affiliated organizations, or those of the publisher, the editors and the reviewers. Any product that may be evaluated in this article, or claim that may be made by its manufacturer, is not guaranteed or endorsed by the publisher.
Supplementary material
The Supplementary Material for this article can be found online at: https://www.frontiersin.org/articles/10.3389/fmars.2024.1482873/full#supplementary-material
References
1
Abe T. Sekiguchi K. (2012). Why does the ocean sunfish bask? Communicative Integr. Biol.5, 395–398. doi: 10.4161/cib.20376
2
Arostegui M. C. Braun C. D. Woodworth-Jefcoats P. A. Kobayashi D. R. Gaube P. (2020). Spatiotemporal segregation of ocean sunfish species (Molidae) in the eastern North Pacific. Mar. Ecol. Prog. Ser.654, 109–125. doi: 10.3354/meps13514
3
Auad G. Roemmich D. Gilson J. (2011). The California Current System in relation to the Northeast Pacific Ocean circulation. Prog. Oceanography91, 576–592. doi: 10.1016/j.pocean.2011.09.004
4
Bianchini G. Sánchez-Baracaldo P. (2024). TreeViewer : Flexible, modular software to visualise and manipulate phylogenetic trees. Ecol. Evol.14, e10873. doi: 10.1002/ece3.10873
5
Boc A. Diallo A. B. Makarenkov V. (2012). T-REX: a web server for inferring, validating and visualizing phylogenetic trees and networks. Nucleic Acids Res.40, W573–W579. doi: 10.1093/nar/gks485
6
Caldera E. J. Whitney J. L. Nyegaard M. Ostalé-Valriberas E. Kubicek L. Thys T. M. (2020). “Genetic insights regarding the taxonomy, phylogeography and evolution of ocean sunfishes (Molidae: Tetraodontiformes),” in The Ocean Sunfishes: Evolution, Biology and Conservation. Eds. ThysT. M.HaysG. C.HoughtonJ. D. R. (CRC Press, Boca Raton, Florida, USA), pp 37–pp 54.
7
Cartamil D. Lowe C. (2004). Diel movement patterns of ocean sunfish Mola mola off southern California. Mar. Ecol. Prog. Ser.266, 245–253. doi: 10.3354/meps266245
8
Chang C.-T. Drazen J. C. Hixon M. Nyegaard M. Phillips N. Chiang W.-C. et al . (2024). Diet breadth and overlap in the Family Molidae. Environ. Biol. Fishes107, 877–897. doi: 10.1007/s10641-024-01582-7
9
Dewar H. Thys T. Teo S. L. H. Farwell C. O’Sullivan J. Tobayama T. et al . (2010). Satellite tracking the world’s largest jelly predator, the ocean sunfish, Mola mola, in the Western Pacific. J. Exp. Mar. Biol. Ecol.393, 32–42. doi: 10.1016/j.jembe.2010.06.023
10
Forsgren K. McBride R. S. Nakatsubo T. Thys T. M. Carson C. D. Tholke E. K. et al . (2020). “Reproductive biology of the ocean sunfishes,” in The Ocean Sunfishes: Evolution, Biology, and Conservation. Eds. ThysT. M.HaysG. C.HoughtonJ. D. R. (CRC Press, Boca Raton, Florida, USA).
11
Fraser-Brunner A. (1951). The ocean sunfishes (family Molidae). Bull. Br. Museum (Natural History) Zoology1, 87–121. doi: 10.5962/bhl.part.21630
12
Gotshall D. W. (1961). Observations on a die-off of molas (Mola mola) in Monterey Bay. California Fish Game47, 339–341.
13
Hahlbeck N. Scales K. L. Dewar H. Maxwell S. M. Bograd S. J. Hazen E. L. (2017). Oceanographic determinants of ocean sunfish (Mola mola) and bluefin tuna (Thunnus orientalis) bycatch patterns in the California large mesh drift gillnet fishery. Fisheries Res.191, 154–163. doi: 10.1016/j.fishres.2017.03.011
14
Hobson E. S. (1971). Cleaning symbiosis among California inshore fishes. Fishery Bull.69, 491–523.
15
Mangel J. C. Pajuelo M. Pasara-Polack A. Vela G. Segura-Cobeña E. Alfaro-Shigueto J. (2019). The effect of Peruvian small-scale fisheries on sunfishes (Molidae). J. Fish Biol.94, 77–85. doi: 10.1111/jfb.2019.94.issue-1
16
Møller P. R. Nielsen J. G. Fossen I. (2003). Patagonian toothfish found off Greenland. Nature421, 599–599. doi: 10.1038/421599a
17
Nakamura I. Goto Y. Sato K. (2015). Ocean sunfish rewarm at the surface after deep excursions to forage for siphonophores. J. Anim. Ecol.84, 590–603. doi: 10.1111/1365-2656.12346
18
Nakamura I. Sato K. (2014). Ontogenetic shift in foraging habit of ocean sunfish Mola mola from dietary and behavioral studies. Mar. Biol.161, 1263–1273. doi: 10.1007/s00227-014-2416-8
19
Nyegaard M. Karmy J. McBride L. Thys T. M. Welly M. Djohani R. (2023). Rapid physiological colouration change is a challenge - but not a hindrance - to successful photo identification of giant sunfish (Mola alexandrini, Molidae). Front. Mar. Sci.10. doi: 10.3389/fmars.2023.1179467
20
Nyegaard M. Loneragan N. Hall S. Andrew J. Sawai E. Nyegaard M. (2018a). Giant jelly eaters on the line: Species distribution and bycatch of three dominant sunfishes in the Southwest Pacific. Estuarine Coast. Shelf Sci.207, 1–15. doi: 10.1016/j.ecss.2018.03.017
21
Nyegaard M. Sawai E. Gemmell N. Gillum J. Loneragan N. R. Yamanoue Y. et al . (2018b). Hiding in broad daylight: molecular and morphological data reveal a new ocean sunfish species (Tetraodontiformes: Molidae) that has eluded recognition. Zoological J. Linn. Soc.182, 631–658. doi: 10.1093/zoolinnean/zlx040
22
Phillips N. Nyegaard M. Sawai E. Chang C.-T. Baptista M. Thys T. (2023). The ocean sunfishes (family Molidea): Recommendations from the IUCN molidae review panel. Mar. Policy155, 105760. doi: 10.1016/j.marpol.2023.105760
23
Phillips N. D. Pope E. C. Harrod C. Houghton J. D. (2020). “The diet and trophic role of ocean sunfishes,” in The Ocean Sunfishes: Evolution, Biology, and Conservation. Eds. ThysT. M.HaysG. C.HoughtonJ. D. R. (CRC Press, Boca Raton, Florida, USA), pp 146–pp 159.
24
Phillips N. D. Reid N. Thys T. Harrod C. Payne N. L. Morgan C. A. et al . (2017). Applying species distribution modelling to a data poor, pelagic fish complex: the ocean sunfishes. J. Biogeography44, 2176–2187. doi: 10.1111/jbi.2017.44.issue-10
25
Porcasi J. F. Andrews S. L. (2001). Evidence for a prehistoric mola mola fishery on the Southern California coast. J. California Great Basin Anthropology23, 51–66. doi: 10.2307/27825752
26
Sawai E. (2021). First records of Mola alexandrini (Molidae) from Mie Prefecture, Japan based on photographs and the new taxonomic key characters of the genus Mola. Ichthy. Natural History Fishes Japan8, 31–36. doi: 10.34583/ichthy.8.0_31
27
Sawai E. Nyegaard M. (2023). Response to Britz, (2022) regarding the validity of the giant sunfish Mola alexandrini (Ranzani 1834)(Teleostei: Molidae). Zootaxa5383, 561–574. doi: 10.11646/ZOOTAXA.5383.4.7
28
Sawai E. Nyegaard M. Yamanoue Y. (2020). “Phylogeny, taxonomy and size records of ocean sunfishes,” in The Ocean Sunfishes: Evolution, Biology and Conservation. Eds. ThysT. M.HaysG. C.HoughtonJ. D. R. (Boca Raton, Florida, USA: CRC Press), 18–36.
29
Sawai E. Yamanoue Y. Nyegaard M. Sakai Y. (2018). Redescription of the bump-head sunfish Mola alexandrini (Ranzani 1839), senior synonym of Mola ramsayi (Giglioli 1883), with designation of a neotype for Mola mola (Linnaeus 1758) (Tetraodontiformes: Molidae). Ichthyol Res.65, 142–160. doi: 10.1007/s10228-017-0603-6
30
Sousa L. L. Nakamura I. Sims D. W. (2020). “Movements and foraging behavior of ocean sunfish,” in The Ocean Sunfishes: Evolution, Biology, and Conservation. Eds. ThysT. M.HaysG. C.HoughtonJ. D. R. (CRC Press, Boca Raton, Florida, USA), 129–145.
31
Thys T. (1994). Swimming heads. Natural History103, 36–39.
32
Thys T. M. Nyegaard M. Whitney J. L. Ryan J. P. Potter I. Nakatsubo T. et al . (2020). “Ocean sunfish larvae: detections, identification and predation,” in The Ocean Sunfishes: Evolution, Biology, and Conservation. Eds. ThysT. M.HaysG. C.HoughtonJ. D. R. (CRC Press, Boca Raton, Florida, USA), pp 105–pp 128.
33
Thys T. M. Ryan J. P. Dewar H. Perle C. R. Lyons K. O’Sullivan J. et al . (2015). Ecology of the Ocean Sunfish, Mola mola, in the southern California Current System. J. Exp. Mar. Biol. Ecol.471, 64–76. doi: 10.1016/j.jembe.2015.05.005
34
Thys T. Williams R. (2013). “Ocean sunfish in Canadian Pacific waters: Summer hotspot for a jelly-eating giant?,” in 2013 OCEANS - San Diego. (San Diego, CA, USA), 1–5. doi: 10.23919/OCEANS.2013.6740966
35
Vasco-Rodrigues N. Cabrera P. M. (2015). Coris julis cleaning a Mola mola, a previously unreported association. Cybium. 39, 315–316.
36
Villanueva R. A. M. Chen Z. J. (2019). ggplot2: elegant graphics for data analysis (2nd ed.). Meas.: Interdiscip. Res. Perspect. 17, 160–167. doi: 10.1080/15366367.2019.1565254
37
Watanabe Y. Y. Davenport J. (2020). “Locomotory systems and biomechanics of ocean sunfish,” in The Ocean Sunfishes: Evolution, Biology, and Conservation. Eds. ThysT. M.HaysG. C.HoughtonJ. D. R. (CRC Press, Boca Raton, Florida, USA).
38
Watanabe Y. Sato K. (2008). Functional dorsoventral symmetry in relation to lift-based swimming in the ocean sunfish mola mola. PLoS One3, e3446. doi: 10.1371/journal.pone.0003446
39
Yoshita Y. Yamanoue Y. Sagara K. Nishibori M. Kuniyoshi H. Umino T. et al . (2009). Phylogenetic relationship of two Mola sunfishes (Tetraodontiformes: Molidae) occurring around the coast of Japan, with notes on their geographical distribution and morphological characteristics. Ichthyology Res.56, 232–244. doi: 10.1007/s10228-008-0089-3
40
Zeidberg L. D. Robison B. H. (2007). Invasive range expansion by the Humboldt squid, Dosidicus gigas, in the eastern North Pacific. Proc. Natl. Acad. Sci.104, 12948–12950. doi: 10.1073/pnas.0702043104
Summary
Keywords
citizen science, species identification, ontogenetic habitat shift, range extension, hoodwinker sunfish, molid identification guide, Cytochrome c oxydase subunit 1
Citation
Mowatt-Larssen T, Thys TM, Hildering J, Caldera EJ, Biesack EE, McDowell JR and Nyegaard M (2025) Hook, line, and social media: crowd-sourced images reveal size and species patterns of ocean sunfishes (Tetraodontiformes, Molidae) from California to Alaska. Front. Mar. Sci. 11:1482873. doi: 10.3389/fmars.2024.1482873
Received
18 August 2024
Accepted
13 December 2024
Published
08 January 2025
Volume
11 - 2024
Edited by
K. David Hyrenbach, Hawaii Pacific University, United States
Reviewed by
Peng Zhao, Hainan University, China
Inga Potter, University of New Hampshire, United States
Updates
Copyright
© 2025 Mowatt-Larssen, Thys, Hildering, Caldera, Biesack, McDowell and Nyegaard.
This is an open-access article distributed under the terms of the Creative Commons Attribution License (CC BY). The use, distribution or reproduction in other forums is permitted, provided the original author(s) and the copyright owner(s) are credited and that the original publication in this journal is cited, in accordance with accepted academic practice. No use, distribution or reproduction is permitted which does not comply with these terms.
*Correspondence: Marianne Nyegaard, mnyegaard@oceansunfishresearch.org
Disclaimer
All claims expressed in this article are solely those of the authors and do not necessarily represent those of their affiliated organizations, or those of the publisher, the editors and the reviewers. Any product that may be evaluated in this article or claim that may be made by its manufacturer is not guaranteed or endorsed by the publisher.