Abstract
Mariculture constitutes the primary origin of microplastic pollution, necessitating immediate action to address microplastic pollution by focusing on both the supply and demand aspects of fishing gear. Based on the cooperative management model of mariculture microplastic pollution, this paper develops an evolutionary game model that incorporates the interactions among fishing gear enterprises, fishermen, and the government. It then proceeds to examine the government’s strategy for managing mariculture microplastic pollution through game theory and simulation analysis. The main findings obtained are as follows. (1) The management of mariculture microplastic pollution can be improved on both the supply chain and market aspects by implementing subsidies. The likelihood of receiving government subsidies boosts the production of environmentally-friendly fishing gear by fishing gear enterprises and the purchase of such gear by fishermen. (2) Based on the cost-benefit variations for fishing gear enterprises, fishermen, and the government, the evolutionary game model reaches distinct equilibrium states, leading to corresponding adjustments in the optimal government subsidy strategy. (3) While there are some positive effects of subsidies, increasing government subsidies does not necessarily lead to better outcomes. As the total amount of subsidies increases, the best practice for governments would be to phase out subsidies for environmentally-friendly fishing gear. Accordingly, the government should build a multi-subject collaborative governance model, reasonably control subsidies amount, prevent the adverse consequences of excessive subsidies, and optimize the structure of subsidy recipients.
1 Introduction
The concept of “microplastics” was first introduced in 2004, referring to plastic debris with particle sizes ranging from 1 μm to 5 mm (Frias and Nash, 2019). Microplastic pollution in the ocean primarily originates from three main categories: first, the inflow of land-based rivers and industrial wastewater; second, the long-term weathering and fragmentation of plastic waste in coastal areas; and third, microplastics generated from marine activities, including fishing boats, vessels, and mariculture fishing gear (Iheanacho et al., 2023). Microplastics have a more devastating impact on aquatic habitats due to their ability to cause entanglement, ingestion, and intestinal blockage in aquatic organisms (Priya et al., 2022). Thus, marine microplastic pollution represents a significant environmental challenge, posing threats to marine life and human health. It deserves great attention at the national level (Islam et al., 2022, Tessnow-von Wysocki and Le Billon, 2019). How to carry out the regulation from the source of mariculture pollution becomes an important practical issue.
Various marine organisms are facing a new global threat in the form of microplastic pollution (Li et al., 2022). Research has shown that microplastic pollution is widespread globally, including in bivalves along the southwest coast of India (Joshy et al., 2022), Gambusia fish in Indonesia’s Burana River (Buwono et al., 2022), the coastal waters of the Bohai Sea (Ding et al., 2022), and marine benthic organisms in the Wider Caribbean (Aranda et al., 2022). In terms of specific microplastic content in fisheries, microplastics were found in 37.6% of fish inhabiting marine pastures (Wu et al., 2020). In Ghana, 68% of fish were found to be contaminated with microplastics (Guilhermino et al., 2021). In eastern oysters along the coast of South Carolina, USA, fibers, debris, and microscopic tire particles accounted for 43.6%, 30.9%, and 17.7% of the total microplastics, respectively (Weinstein et al., 2022). Crustaceans in Australia contained 48% microplastics (Ogunola et al., 2022). Microplastics widely coexist in aquatic environments, especially in mariculture areas (Yu et al., 2022). As microplastics are partially absorbed, they progress up the food chain to organisms positioned at higher levels of the trophic structure (Feng et al., 2020). As a significant coastal city in China, Qingdao has seen rapid development in its mariculture industry, adopting various aquaculture modes such as industrialized recirculating aquaculture, nearshore cage farming, and deep-sea facility aquaculture. In 2021, Qingdao’s mariculture production reached 796,000 tons, accounting for over 80% of its total marine product output and representing 38.6% of the province’s total mariculture fish production. Qingdao also leads the province in deep-water anti-wave cage farming, with its production and water volume accounting for 63.5% and 43.4% of the provincial totals, respectively (Yu et al., 2022). However, the fishing gear and plastic facilities used in these aquaculture practices, such as foam buoys and fishing nets, are exposed to prolonged ultraviolet radiation and wave action, significantly increasing the proportion of microplastic pollution in aquaculture areas. A few studies have discussed the need to optimize microplastic management models, while limited attention has been paid to the interaction between fishing gear manufacturers, fishers and governments.
The ocean has the attributes of public goods, and the government is the property right subject of marine ecological environment and has the responsibility of managing marine microplastic pollution (Mulazzani et al., 2019). However, based on cost-benefit considerations, fishermen often do not take the initiative to adopt environmental-friendly fishing gears, and fishing gear enterprises do not take the initiative to produce environmental-friendly fishing gears with less demand. In addition, for the promotion of new environmentally friendly production tools, government subsidized means are considered as an effective way of pollution control (Li and Lu, 2022). Microplastic pollution is characterized by its insidious and difficult-to-detect nature, which makes its effective fining and enforcement in practice extremely challenging (Wang et al., 2021). Currently, the Qingdao municipal government has implemented various measures to address microplastic pollution caused by mariculture, including promoting environmentally-friendly fishing gear, optimizing aquaculture tailwater treatment systems, and providing financial subsidies to support the development and application of eco-friendly technologies. Government subsidies are considered an effective means of reducing pollution emissions at the source. They not only quickly mobilize aquaculture farmers and fishing gear enterprises to adopt environmentally friendly practices but also incentivize the production and promotion of eco-friendly fishing gear through economic incentives. In this paper, we focus on the impact of government subsidy policies on the management of microplastic pollution in mariculture due to the following considerations: on the one hand, fines in environmental regulations often require accurate monitoring and evidence collection, and microplastic pollution detection technologies and methods are relatively complex and costly. Government subsidies can quickly mobilize industry participants to adopt environmentally friendly technologies and products through economic incentives, thereby reducing emissions at the source of pollution. On the other hand, compared to fines, which involve multiple challenges such as social acceptance, subsidies can more directly influence market behavior and increase the adoption rate of environmental protection measures, while reducing the uncertainties and controversies that may exist in the enforcement process. So, what strategies should the government adopt in the management of mariculture microplastic pollution?
This study aims to provide insights into the role of government subsidy strategies in microplastic pollution control and their impact on the aquaculture industry. In particular, we build an evolutionary game model to analyses the dynamic interactions between fishing gear enterprises, fishermen and the government and their responses to the government’s subsidy policy. Based on this, this paper poses the following research question: how does the government’s subsidy strategy affect the management of microplastic pollution? Under the framework of evolutionary game, how will different subsidy strategies affect the behavioral strategies of fishing gear enterprises and fishermen? In comparison to previous research, the incremental contributions of this paper are outlined as follows: First, unlike existing studies that focus mainly on the socioeconomic impacts of microplastic pollution from mariculture, this paper highlights the importance of government management strategies in managing microplastic pollution through evolutionary game theory and simulation analysis. In particular, this study explores how government subsidies can promote the production of environmentally-friendly fishing gears and their adoption by fishermen, thereby effectively improving the sustainability of mariculture practices. Second, the article introduces an innovative evolutionary game model with participation from fishing gear enterprises, fishermen, and the government, demonstrating how government subsidies affect the use of environmentally-friendly fishing gear across both the production and consumption aspects. This approach not only bridges the research gap on the role of the government in existing studies, but also provides new perspectives on multi-party cooperative governance models.
The subsequent layout of this paper is as follows: the second section details methodology, the third section presents results and analysis, the fourth section engages in discussion, the final section offers conclusions and policy implications.
2 Methods and data
2.1 Description of realistic scenarios
Based on the cost-benefit consideration, fishermen often do not take the initiative to adopt environmental-friendly fishing gears, and fishing gear enterprises do not take the initiative to produce environmental-friendly fishing gears with small demand. In order to combat microplastic pollution in mariculture, the government starts from both the supply and demand sides of mariculture gears, gives subsidies to fishing gear enterprises for the production of environmental-friendly fishing gears, and gives subsidies to fishermen for the consumption of environmental-friendly fishing gears, and promotes the gradual withdrawal of traditional fishing gears from the market by means of economic incentives. However, the degradable plastics industry is still facing many challenges, such as high cost pressures on enterprises and businesses as well as high product prices, which have led to objective resistance to its full-scale promotion. To address these challenges, the Chinese government has adopted a financial subsidy policy to reduce the impact of microplastic pollution. For example, the Government of Fujian Province has implemented a series of financial subsidy policies for the treatment of marine microplastic pollution. In addition, in the fisheries sector, a cash subsidy policy has been implemented for fishermen and enterprises that recycle discarded fishing gear, while enterprises designing and producing fishing gear made of environmentally friendly materials are encouraged to enjoy tax exemptions or research and development subsidies, such as photocatalytic degradation and microbial degradation technologies. Financial support is also provided to industries that utilize genetically modified bacteria to adsorb and remove microplastics from water. As a result, fishing gear enterprises, fishermen and the government form a tripartite cooperative management model for mariculture microplastic pollution as shown in Figure 1.
Figure 1

Collaborative management model of mariculture microplastic pollution.
2.2 Evolutionary game modeling
The management of microplastic pollution in marine water production is a dynamic, adaptive process involving complex interactions between the government, fishing gear enterprises, and fishermen. Evolutionary game theory provides a robust framework for understanding these interactions, capturing the adaptive behaviors of stakeholders over time. It explains how participants tend to imitate strategies that show superior adaptation when one subject’s strategy outperforms others (Zheng and Yu, 2022). This imitation effect significantly impacts the trajectory of mariculture microplastic pollution regulation, making evolutionary game theory an ideal approach for this study.
The applicability of the evolutionary game model lies in its ability to simulate and analyze the dynamic relationships between government subsidy strategies, the production decisions of fishing gear enterprises, and the behavior of fishermen. The model can simulate the strategic choices of these stakeholders under varying subsidy policies. However, the model assumes that all participants act rationally, always maximizing their interests, which may not fully reflect real-world behavior, influenced by factors like limited information, emotions, and cultural influences. Despite this, the model’s adaptability allows for adjusting parameters to fit specific policy contexts, offering insights into the impact of policy changes on system behavior and providing valuable predictions for industry and environmental outcomes.
Based on the collaborative management model of mariculture microplastic pollution, this paper constructs an evolutionary game model including the government, fishing gear enterprises and fishermen. In the model, fishing gear enterprises can choose whether to produce environment-friendly fishing gear, fishermen can choose whether to purchase environment-friendly fishing gear. We set the probability of fishing gear enterprises producing environmental-friendly fishing gear as i, the probability of fishermen purchasing environmental-friendly fishing gear as j, and the probability of government subsidizing environmental-friendly fishing gear as k.
Referring to related studies (Zheng and Zhang, 2024a), we assume that the market price of environmental-friendly fishing gear is , the quantity produced is , and the cost of the fishing gear enterprise to produce environmental-friendly fishing gears is ; and is the price of non-environmental-friendly fishing gears, is the quantity produced, the cost of the fishing gear enterprise to produce non-environmental-friendly fishing gears is . Fishermen acquire units of environmentally-friendly fishing gear, resulting in as their associated benefit. denotes the quantity of non-environmental-friendly fishing gears purchased, which leads to as the corresponding benefit obtained. The government offers a subsidy of amount for environmentally-friendly fishing gear, with fishing gear enterprises having a subsidy coefficient of and fishermen having a subsidy coefficient of . At this time, the government’s environmental utility is obtained as when providing the subsidy and when not providing the subsidy. Based on the aforementioned conditions, the benefit matrix for the three-party game can be derived and is presented in Table 1.
Table 1
| Fishing gear enterprises | Fishermen | Government subsidies(k) | Government does not subsidize (1-k) |
|---|---|---|---|
| Production (i) |
Purchase (j) |
|
|
| No purchase (1-j) |
|
|
|
| No production (1-i) |
Purchase (j) |
|
|
| No purchase (1-j) |
|
|
Payoff matrix of the three-party game of microplastic pollution management.
Based on Table 1, Equations 1-3 illustrate the anticipated benefits for fishing gear enterprises when producing environmentally-friendly fishing gear, when not producing environmentally-friendly fishing gear, and the average expected benefit, respectively. Equation 4 presents the replication dynamic equation governing the production strategy of fishing gear enterprises.
Based on the payoff matrix, the anticipated payoff for fishermen when purchasing environmentally-friendly fishing gear is represented by , the expected payoff for not purchasing environmental fishing gear is denoted by , and the average expected payoff is denoted by . Equation 8 depicts the replication dynamic equation for fishermen’s purchase strategy.
Similarly, it is known that the expected payoff of providing environmental fishing gear subsidies is , the expected payoff for not providing environmental fishing gear subsidies is , the average expected payoff is , and Equation 12 is the replicated dynamic equation.
A pure strategy Nash equilibrium is a necessary condition for the stable solution of the multi-group evolutionary game. This paper will examine the stability of the nine pure strategy equilibria in the three-party evolutionary game involving fishing gear enterprises, fishermen, and the government. The resulting replicated dynamic system of the three-party game of microplastic pollution management is presented in Equation 13.
2.3 Sampling and data collection process
The data utilized for simulation were obtained from a survey conducted between July and August 2022 by the research team in Qingdao. Qingdao is a leading city in China’s marine economy, with its gross marine product reaching 501.44 billion yuan in 2022, accounting for 33.6% of the city’s GDP. Seawater aquaculture in Qingdao has undergone rapid development, with significant growth in aquaculture production and expansion from offshore to deep-sea environments (Meng and Xu, 2023). However, this growth has led to increased microplastic pollution originating from aquaculture feed and equipment. This issue has become a pressing concern for the marine environment, making Qingdao a representative case for investigating microplastic pollution in seawater aquaculture.
Sampling of Fishing Tackle Production Enterprises. For fishing tackle production enterprises, a typical sampling method was employed to ensure representativeness. The research team first compiled a comprehensive list of such enterprises in Qingdao. The selection process was guided by criteria including enterprise scale (annual output value and number of employees), production capacity (annual output), and market coverage (product sales range). Based on these criteria, 12 representative enterprises were identified for the survey. These enterprises play a pivotal role in the local fishing gear production and supply chain and reflect the broader characteristics and challenges of the industry.
Sampling of Fishermen. The stratified sampling method was used to select aquaculture practitioners, ensuring that the sample represented the diverse geographic and operational characteristics of Qingdao’s aquaculture industry. The stratification process was conducted in two stages. First, geographic stratification was implemented by dividing Qingdao’s aquaculture areas into sub-regions, including Huangdao District, Laoshan District, and Jimo District. This ensured coverage across different geographic locations, capturing regional variations in aquaculture practices and pollution levels. Second, within each sub-region, stratification by aquaculture type was conducted. Fishermen were categorized into groups based on their primary farming activity, such as fish farming, shellfish farming, and seaweed farming. Sampling proportions were determined according to the prevalence of each aquaculture type in the region. For instance, in Huangdao District, where fish farming constitutes 40% of the aquaculture activities, shellfish farming 30%, and seaweed farming 30%, the sample was drawn in a 4:3:3 ratio. Random sampling was then performed within each geographic and aquaculture-type stratum, resulting in a final sample of 167 fishermen. These individuals represent diverse regions and aquaculture practices, providing comprehensive insights into the current state of seawater aquaculture and microplastic pollution in Qingdao. The simulation model parameter values and their sources can be found in the Appendice 1.
3 Results
3.1 Evolutionary game results and analysis
3.1.1 Stabilization strategy of fishing gear enterprises
According to Equation 4, by setting , and we get its zero point . When , then is stable, the stable strategy of fishing gear enterprises is to produce environmental-friendly fishing gears in this case. When , then is stable. At this moment, the stabilization strategy for fishing gear enterprises is to refrain from producing environmentally-friendly fishing gear. The analysis above reveals that with a low probability of government subsidies, the stable strategy for fishing gear enterprises is to avoid producing environmentally-friendly fishing gear. Conversely, with a high probability of government subsidies, the stable strategy for fishing gear enterprises is to produce environmentally-friendly fishing gear. This implies that the probability of government subsidies has a positive impact on fishing gear enterprises’ willingness to produce environmentally-friendly fishing gear.
3.1.2 Fishermen’s stabilization strategy
According to Equation 8, set , and we get its zero point . When , then have stability, at this time, the stable strategy for fishermen is to purchase environmental-friendly fishing gears. When , then has stability, the stable strategy for fishermen is not to purchase environmental-friendly fishing gears. The analysis above demonstrates that with a low probability of government subsidies, fishermen is to refrain from purchasing environmentally-friendly fishing gear. Conversely, with a high probability of government subsidies, fishermen is to purchase environmental-friendly fishing gears. This suggests that the probability of government subsidies has a positive influence on fishermen’s decision to purchase environmentally-friendly fishing gear.
3.1.3 The stabilization strategy of government subsidy
According to Equation 12, by setting , Equation 12 can be simplified, resulting in . Find the first order derivative to get . Since , is a decreasing function about . Let , get its zero point . When , , and , then all have stability, at this time cannot determine the stable strategy of government. When , then have stability, the stable strategy for government at this time is to provide subsidies for environmental-friendly fishing gears production. When , then has stability. At this time, the stable strategy for government is not to provide subsidies for environmental-friendly fishing gears production. According to above analysis, we can know that the stabilization strategy of government is to provide producer subsidies when the probability of fishing gear enterprises producing environmental-friendly fishing gears is low, and it is not to provide producer subsidies when the probability of fishing gear enterprises not producing environmental-friendly fishing gears is high. This indicates that government subsidies are an important incentive force to promote fishing gear enterprises to produce environmental-friendly fishing gear. When producing environmental-friendly fishing gears becomes a spontaneous market behavior of fishing gear enterprises, government subsidies will be withdrawn.
Set , and we get its zero point . When , then have stability, the stable strategy for government is provide subsidies for the consumption of environmental-friendly fishing gears. When , then has stability, the stable strategy for government is not to provide subsidies for the consumption of environmental-friendly fishing gears. The analysis above indicates that with a low probability of fishermen purchasing environmental-friendly fishing gears, the stabilization strategy for the government is to offer consumption subsidies to fishermen. Nonetheless, when the probability of fishermen purchasing environmental-friendly fishing gears is high, the government is not to provide consumption subsidies. This suggests that government subsidies have played a key role in promoting the adoption of environmentally-friendly fishing gear by fishermen at the initial stage, but that the subsidy policy should be flexibly adjusted according to the actual response of the market, in order to avoid over-reliance on government subsidies and to promote the autonomous and sustainable development of the market.
3.1.4 Overall stability analysis
According to Lyapunov’s first law and Equation 13, the asymptotic stability of the equilibrium point in the replicated dynamic system of microplastic pollution management is deduced and displayed in Table 2.
Table 2
| Points | Stability condition |
|---|---|
| (0,0,0) | , the eigenvalues are not all negative |
| (1,0,0) | , , |
| (0,1,0) | , , |
| (0,0,1) | , |
| (1,1,0) | , , |
| (1,0,1) | , |
| (0,1,1) | , |
| (1,1,1) | , |
The asymptotic stability condition of eight equilibrium points.
Based on the asymptotic stability conditions of eight equilibrium points of microplastic pollution management, as presented in Table 2, we can get the following conclusions.
First, (1,0,0) is stable when the profit of the fishing gear enterprises producing environmental-friendly fishing gears is greater than the profit of producing non-environmental-friendly fishing gears, the utility gained by fishermen from purchasing environmental-friendly fishing gears surpasses the utility obtained from purchasing non-environmental-friendly fishing gears, and the environmental utility of the government exceeds the amount of subsidy provided to the fishing gear enterprises. The final evolutionary strategy is that fishing gear enterprises produce environmental-friendly fishing gears, fishermen do not actively purchase environmental-friendly fishing gears, and the government does not provide subsidies.
Second, (0,1,0) is stable when The profit earned by fishing gear enterprises from producing environmental-friendly fishing gears is lower than the profit obtained from producing non-environmental-friendly fishing gears, the utility derived from fishermen’s purchase of environmental-friendly fishing gears surpasses the utility obtained from purchasing non-environmental-friendly fishing gears, and the amount of subsidies provided to fishermen exceeds the environmental utility of the government. The final evolutionary strategy is that fishing gear enterprises do not take the initiative to produce environmental-friendly fishing gears, fishermen take the initiative to purchase environmental-friendly fishing gears, and the government refrains from providing subsidies.
Third, (0,0,1) is stable when the sum of the profits of fishing gear enterprises producing environmental-friendly fishing gears and the subsidies received is less than the profits of producing non-environmental-friendly fishing gears, and the sum of the utility of fishermen purchasing environmental-friendly fishing gears and the government subsidies received is less than the utility of purchasing non-environmental-friendly fishing gears. The final evolutionary strategy is that fishing gear enterprises do not produce environmental-friendly fishing gears, fishermen do not purchase environmental-friendly fishing gears, and the provision of subsidies by the government occurs. However, this situation is not observed in reality.
Fourth, (1,1,0) is stable when the profit of fishing gear enterprises producing environmental-friendly fishing gears is greater than the profit of producing non-environmental-friendly fishing gears, the utility gained by fishermen from purchasing environmental-friendly fishing gears exceeds the utility obtained from purchasing non-environmental-friendly fishing gears, and the amount of subsidies paid by the government exceeds the environmental utility. The final stable strategy is that fishing gear enterprises produce environmental-friendly fishing gears, fishermen purchase environmental-friendly fishing gears, and the government refrains from providing subsidies. This represents an ideal scenario, but its realization in reality may be challenging.
Fifth, (1,0,1) becomes stable when the combined profits of fishing gear enterprises producing environmental-friendly fishing gears and the received subsidies surpass the profits of producing non-environmental-friendly fishing gears, the combined utility of fishermen purchasing environmental-friendly fishing gears and the received subsidies is lower than the utility of purchasing non-environmental-friendly fishing gears, and the environmental utility of the government exceeds the cost incurred by subsidizing fishing gear enterprises. In this case, fishing gear enterprises produce environmental-friendly fishing gears, fishermen do not actively purchase environmental-friendly fishing gears, and the government provides subsidies to fishing gear enterprises.
Sixth, (0,1,1) is stable when the sum of the fishing gear enterprises’ profits from producing environmental-friendly fishing gears and the subsidies received is less than the profits from producing non-environmental-friendly fishing gears, the fishermen’s utility of purchasing environmental-friendly fishing gears plus the subsidies is greater than the utility of purchasing non-environmental-friendly fishing gears, and the amount of subsidies received by fishermen is less than the environmental utility of the government. The final stabilization strategy is that fishing gear enterprises do not take the initiative to produce environmental-friendly fishing gears, fishermen take the initiative to purchase environmental-friendly fishing gears, and the government provides consumption subsidies for fishermen.
Seventh, (1,1,1) is stable when the sum of the profits of fishing gear enterprises producing environmental-friendly fishing gears and the subsidies received is greater than the profits from producing non-environmental-friendly fishing gears, the sum of the utility of fishermen purchasing environmental-friendly fishing gears and the subsidies received is greater than the utility of purchasing non-environmental-friendly fishing gears, and the sum of all subsidies paid is less than the environmental utility of the government. The ultimate stable strategy entails fishing gear enterprises proactively producing environmental-friendly fishing gears, fishermen voluntarily purchasing environmental-friendly fishing gears, and the government providing subsidies. This sustainable governance model serves as the foundation for the current implementation of government subsidies in mariculture microplastics regulation.
3.2 Numerical simulation results and analysis
3.2.1 The impact of total subsidies on the stability of game system - how much to subsidy
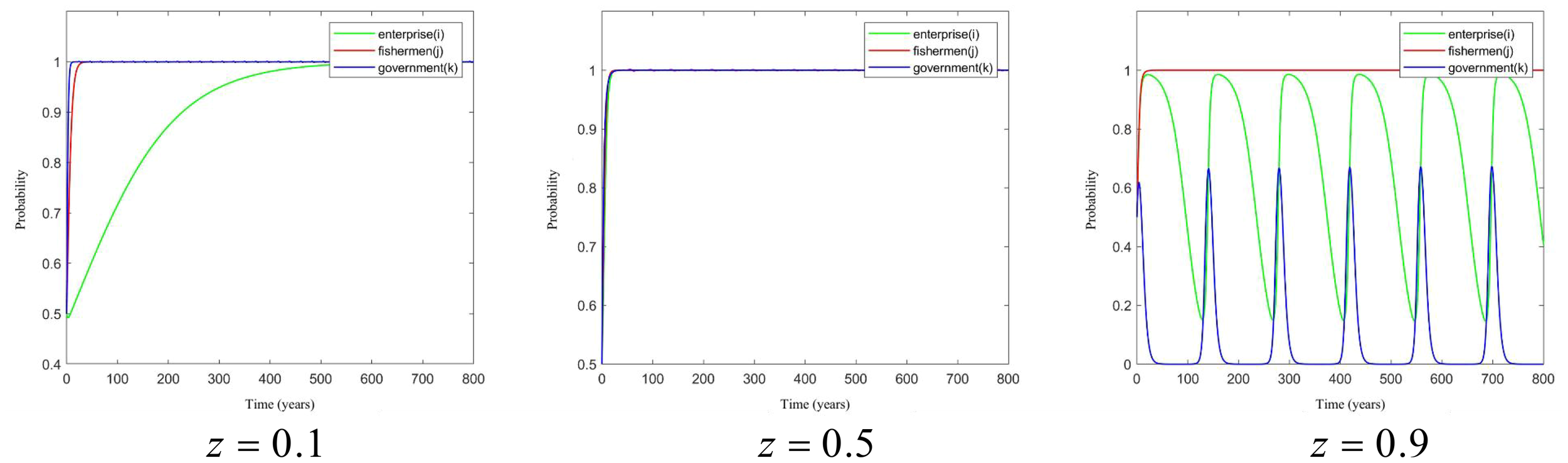
In this paper, we set 2023 as the base period. By substituting the model parameter values obtained from the survey data of mariculture microplastic pollution regulation into the replicated dynamic equations, we have derived the simulation results, and used graph to provide a more comprehensive demonstration of the results. To facilitate comparative analysis, the assumed total amount of government subsidies for environmental-friendly fishing gears is 0.1, 0.5, and 0.9, respectively, within the range of values of the parameters. In this scenario, the evolutionary patterns of the game strategies adopted by fishing gear enterprises, fishermen, and the government are illustrated through Figures 2, 3. The results show that when the amount of government subsidies is 0.1 and 0.5, the fishing gear enterprises tend to produce environmental-friendly fishing gears, fishermen tend to purchase environmental-friendly fishing gears, and the government shows a tendency to offer subsidies for environmental-friendly fishing gears, and the game system evolves to a stable state with strategies of (1,1,1). When the amount increases to 0.9, the stability of the production strategy of fishing gear enterprises and the government subsidy strategy becomes uncertain. However, the strategy of fishermen leans towards purchasing environmental-friendly fishing gears.
Figure 2

The effect of total government subsidies on each subject’s game strategy.
Figure 3

The effect of total government subsidies on game system.
This suggests that the desired evolutionary outcome of the three-party game is achieved with lower levels of government subsidies. With the increase in government subsidies, the stability of game system tends to become uncertain. This can be attributed to the fact that when the government initiates subsidies for environmental-friendly fishing gears, fishing gear enterprises and fishermen may proactively engage in the production and purchase of such gear due to economic rationality and in response to the government’s incentives. As the number of fishing gear enterprises and fishermen participating in environmental-friendly fishing gears gradually increases, the financial burden on the government from providing subsidies also increases. Upon reaching a point where the government faces financial constraints in providing high subsidies, the subsidy strategy of the government started to fluctuate and gradually decrease until the subsidies were completely removed. As a result, this influenced the production strategy of fishing gear enterprises.
3.2.2 The impact of subsidy objects on the stability of game system - who to subsidize
(1) The influence of subsidized fishing gear enterprises on system stability. Likewise, considering different values within the parameter range, specifically setting the government fishing gear enterprise subsidy coefficient as 0.1, 0.5, and 0.9, the evolution of the game strategies for fishing gear enterprises, fishermen, and the government is illustrated in Figures 4, 5. It is evident that when the subsidy coefficient of fishing gear enterprises is 0.1, fishing gear enterprises choose to produce environmental-friendly fishing gears, fishermen opt to purchase environmental-friendly fishing gears, and the government offers subsidies for environmental-friendly fishing gears. In this case, the evolution of the game system yields the strategy combination (1,1,1). When the subsidy coefficient of fishing gear enterprises increases to 0.5 or 0.9, fishing gear enterprises lean towards not producing environmental-friendly fishing gears, while fishermen tend to purchase environmental-friendly fishing gears, and the government inclines not to provide environmental-friendly fishing gears subsidies. In this case, the game system lacks stability.
Figure 4

Impact of fishing gear enterprise subsidies on parties’ game strategies.
Figure 5

The effect of fishing gear enterprise subsidies on game system.
This indicates that when the fishing gear enterprises’ subsidies are low, the fishing gear enterprises produce environmental-friendly fishing gears. As the subsidies for fishing gear enterprises are raised, fishing gear enterprises will not produce environmental-friendly fishing gears and there is no stable strategy in the three-party game. This could be attributed to the fact that with the introduction of government subsidies for fishing gear enterprises, these enterprises opt to produce environmental-friendly fishing gears due to economic rationality. When the level of government subsidies to fishing gear enterprises increases to a certain threshold, fishing gear enterprises may appear to “subsidy fraud” problem and become subsidy-dependent, thus making the incentive effect of subsidies ineffective.
(2) The impact of the amount of fishermen’s subsidy on the system’s stability. Likewise, within the parameter range, considering government subsidy coefficients for fishermen of 0.2, 0.5 and 0.8, the evolutionary process of the game strategy among fishing gear enterprises, fishermen, and the government is illustrated in Figures 6, 7. Observing the results, when the fishermen’s subsidy coefficient is 0.2, the stable strategy aligns with fishing gear enterprises producing environmental-friendly fishing gears, fishermen purchasing environmental-friendly fishing gears, and the government subsidizing environmental-friendly fishing gears. As the coefficient increases to 0.5, the production strategy of fishing gear enterprises and the government’s subsidy strategy start to show instability, resulting in the absence of any stable strategy in the game system at this point. As the coefficient further increases to 0.8, the fishing gear enterprises is not to produce environmental-friendly fishing gears, the fishermen purchase environmental-friendly fishing gears, and the government is not to subsidize environmental-friendly fishing gears.
Figure 6

The effect of fishermen’s subsidies on each parties’ strategy.
Figure 7

The effect of fishermen’s subsidies on game system.
This suggests that when the subsidy provided to fishermen is low, the evolution of the three-party game system exhibits an optimal state. Nonetheless, as the subsidies for fishermen increase, the strategy of fishing gear enterprises gradually stabilizes to not produce environmental-friendly fishing gears and the strategy of the government gradually stabilizes to not provide subsidies. This can be explained by the fact that when the government provides low subsidies to fishermen, the marginal benefit of purchasing environmental-friendly fishing gears outweighs that of purchasing non-environmental-friendly fishing gears. Consequently, rational fishermen tend to make the optimal decision of purchasing environmental-friendly fishing gears. As the amount of government subsidies is relatively fixed, when the government provides high subsidies to fishermen, it diminishes the amounts of subsidies obtained by fishing gear enterprises. Consequently, the marginal revenue of producing environmental-friendly fishing gears becomes lower than that of producing non-environmental-friendly fishing gears. In this scenario, rational fishing gear enterprises are inclined to produce non-environmental-friendly fishing gears.
In summary, the amount of government subsidies to fishing gear enterprises adversely affects both the production of environmental-friendly fishing gears by fishing gear enterprises and the overall stability of the game system. The quantity of government subsidies provided to fishermen positively impacts their purchase of environmental-friendly fishing gears, but it negatively influences the stability of the game system. Therefore, the subsidies for both fishing gear enterprises and fishermen should not be excessive, and government subsidies should be reasonably distributed between fishing gear enterprises and fishermen.
4 Discussion and policy implications
4.1 Discussion
As global concerns about microplastic pollution increase, the international community is advancing the discussion and formation of an International Plastics Treaty. The treaty aims to address plastic pollution in production, consumption and waste management by establishing a globally harmonized environmental governance framework. Findings from this study indicate that government subsidy strategies play a key role in promoting the production and use of environmentally-friendly fishing gear, which coincides with the treaty’s emphasis on government interventions. If implemented, the international framework may facilitate the adoption of subsidy policies similar to those explored in this study by member states to encourage environmentally-friendly practices within the industry.
The central focus of this paper revolves around mariculture microplastic pollution governance. In previous studies, the governance of mariculture plastic pollution mainly consists of cleaning up existing microplastics and preventing the generation of microplastics (Yu et al., 2023). First, for the microplastics that already exist, Borriello and Rose proposed to raise funds to manage the current microplastic pollution by taxing the residents (Borriello and Rose, 2022), but this is only a symptomatic solution. This paper argues that plastic fishing gear should be replaced by environmental-friendly fishing gears and the production and sale of plastic fishing gear should be gradually reduced so as to control the production of microplastics in mariculture from the source. Second, for potential microplastics, Islam et al. argued that plastic waste should be effectively managed to prevent plastic from transforming larger plastic fragments into microplastics through physical, chemical, and biological processes (Islam et al., 2022). However, people currently cannot live without plastic products, and managing waste plastics is a very difficult task. Currently, waste separation and recycling in many countries, including China, is an effective attempt to manage potential microplastics. Third, for the prevention of microplastic production, Joyce and Falkenberg proposed to replace plastic products with biodegradable items (Joyce and Falkenberg, 2022), which is the same as this paper. We support the use of government subsidies to incentivize fishing gear enterprises to produce biodegradable and environmental-friendly fishing gears and fishermen to phase out non-biodegradable plastic fishing gear. In addition, this paper only explores how to prevent the production of microplastics in mariculture through government intervention from a production perspective, but some studies have also been conducted from a consumer perspective, for example, Masiá et al. suggested that information on microplastic content be disclosed on seafood labels for consumer reference (Masiá et al., 2022). It has also been suggested that by influencing consumers’ purchasing behavior, producers can be forced to reduce the microplastic content of their products (Borriello et al., 2022), this provides a new idea to prevent the production of microplastics in mariculture. In addition, for the government’s way of governing mariculture microplastics, numerous studies indicated that there exists a boundary for the government’s subsidy (Zheng and Yu, 2022, Zheng and Zhang, 2024b), which is consistent with the result obtained in this paper.
Ghost fishing gear represents a significant but often overlooked source of microplastic pollution (Do and Armstrong, 2023). Lost or discarded fishing gear not only contributes to marine ecosystem degradation but also releases microplastic particles as it breaks down, exacerbating pollution levels (Gilman et al., 2021). Although this study does not empirically examine ghost fishing gear, it is essential to discuss its role within the broader context of microplastic governance. To address ghost fishing gear, governments could implement policy tools such as recycling subsidies incentive. For example, subsidies could be tied to the return of used gear, fostering recycling behaviors among fishermen.
The shortcomings are as follows. First, since microplastics are not biodegradable, the prevention and control of mariculture microplastics pollution includes two parts: pollution prevention and remediation of existing pollution. This paper only analyzes pollution prevention from the perspective of source control, and how to dispose and remediate existing microplastics pollution in mariculture areas is not considered in this paper. Second, mariculture microplastic pollution management has both management and technical aspects. This paper considers the management level solutions from the perspective of multi-body collaboration, and does not consider the technological progress of microplastic management.
4.2 Policy implications
Building on the study’s conclusions, these policy recommendations focus on balancing subsidy levels, targeting high-impact stakeholders, and fostering collaborative governance models. These strategies are tailored to Qingdao’s specific challenges in microplastic pollution management while offering insights for broader application.
4.2.1 Phased subsidies
Balancing subsidy levels to avoid market distortion. Governments should adopt a phased subsidy strategy to encourage the adoption of environmentally-friendly fishing gear while avoiding market dependency. Subsidies should be generous in the initial phase to stimulate rapid adoption, followed by gradual reductions as market adoption increases and stakeholders become more self-sufficient.
To complement direct subsidies, market-based instruments such as carbon credits, tax incentives, and tradable pollution permits can be introduced. These tools encourage innovation and competition among fishing gear enterprises while driving down costs and achieving environmental objectives.
4.2.2 Targeted subsidies
focusing on high-impact areas and stakeholders. The Qingdao government should prioritize subsidies for high-pollution zones, such as areas near mariculture farms, where microplastic pollution is most severe. Targeting these hotspots ensures that resources are allocated efficiently, maximizing their impact. Data-driven monitoring systems should be employed to identify pollution hotspots dynamically, enabling the government to adapt subsidy allocations to address emerging challenges in real time. Establish specialized programs to provide additional resources to fishermen and enterprises in high-impact areas.
4.2.3 Collaborative governance models
strengthening multi-Stakeholder and cross-border cooperation, a collaborative governance model should involve all key stakeholders, including the government, fishing gear manufacturers, fishermen, and environmental organizations. Regular roundtable discussions or forums can be established to align interests, share best practices, and foster innovation. Multi-stakeholder cooperation can ensure shared responsibility for managing microplastic pollution. For example, government and enterprises can collaborate on developing and promoting new eco-friendly fishing technologies, while environmental organizations enhance public awareness and advocacy.
Microplastic pollution in mariculture is a global issue transcending national borders. Governments should foster international cooperation through joint management frameworks. These frameworks can align regulations on fishing gear usage, waste disposal, and wastewater treatment to prevent microplastics from entering the oceans. Successful examples include the Baltic Sea Action Plan and the North East Atlantic Fisheries Organization (NEAFC), which demonstrate the potential of cross-border governance in addressing shared environmental challenges.
5 Conclusion
Microplastic pollution in mariculture represents a significant environmental challenge, necessitating effective and well-designed regulatory strategies. This study develops a three-party evolutionary game model involving fishing gear enterprises, fishermen, and the government to explore the dynamics of microplastic pollution management. The key findings of the study highlight the pivotal role that government subsidies play in fostering environmentally-friendly practices. The model identifies eight stable states within the system, driven by the interactions between the strategies of the different stakeholders. Furthermore, it is found that while government subsidies are essential, excessive subsidies can lead to system instability, emphasizing the need for a phased reduction in subsidies over time. The main findings are summarized as follows:
-
1. Government subsidies play a crucial role in incentivizing both the production and adoption of environmentally-friendly fishing gear. By aligning the interests of gear enterprises and fishermen with ecological goals, subsidies contribute significantly to promoting sustainable practices.
-
2. The evolutionary game model reveals eight distinct stable states, which result from the interactions between the strategies adopted by the stakeholders. These stable states reflect the various potential outcomes of the system under different subsidy conditions, illustrating the complexity of managing microplastic pollution in mariculture.
-
3. The analysis demonstrates that excessive subsidies can undermine the stability of the system, leading to unsustainable outcomes. To maintain long-term equilibrium, a phased approach to subsidies is recommended, wherein subsidies are gradually reduced. This approach will ensure a more sustainable balance between economic incentives and environmental goals.
Statements
Data availability statement
The original contributions presented in the study are included in the article/supplementary material, further inquiries can be directed to the corresponding author/s.
Author contributions
HS: Formal analysis, Methodology, Software, Writing – original draft. XW: Data curation, Supervision, Validation, Writing – review & editing. XH: Writing – review & editing. LY: Conceptualization, Investigation, Writing – review & editing.
Funding
The author(s) declare financial support was received for the research, authorship, and/or publication of this article. This work was supported by the Major Project of the National Social Science Fund of China (No. 20&ZD100).
Conflict of interest
The authors declare that the research was conducted in the absence of any commercial or financial relationships that could be construed as a potential conflict of interest.
Generative AI statement
The author(s) declare that no Generative AI was used in the creation of this manuscript.
Publisher’s note
All claims expressed in this article are solely those of the authors and do not necessarily represent those of their affiliated organizations, or those of the publisher, the editors and the reviewers. Any product that may be evaluated in this article, or claim that may be made by its manufacturer, is not guaranteed or endorsed by the publisher.
References
1
Aranda D. A. Oxenford H. A. Medina J. Delgado G. Díaz M. E. Samano C. et al . (2022). Widespread microplastic pollution across the Caribbean Sea confirmed using queen conch. Mar. pollut. Bull.178, 1135825. doi: 10.1016/j.marpolbul.2022.113582
2
Borriello A. Massey G. Rose J. M. (2022). Extending the theory of planned behaviour to investigate the issue of microplastics in the marine environment. Mar. pollut. Bull.179, 113689. doi: 10.1016/j.marpolbul.2022.113689
3
Borriello A. Rose J. M. (2022). The issue of microplastic in the oceans: Preferences and willingness to pay to tackle the issue in Australia. Mar. Policy135, 104875. doi: 10.1016/j.marpol.2021.104875
4
Buwono N. R. Risjani Y. Soegianto A. (2022). Spatio-temporal patterns of occurrence of microplastics in the freshwater fish Gambusia affinis from the Brantas River, Indonesia. Environ. pollut.311, 119958. doi: 10.1016/j.envpol.2022.119958
5
Ding Y. Zou X. Yuan F. Chen H. Wang C. Fan Q. et al . (2022). Can microplastics in offshore waters reflect plastic emissions from coastal regions? Chemosphere308, 1363975. doi: 10.1016/j.chemosphere.2022.136397
6
Do H. L. Armstrong C. W. (2023). Ghost fishing gear and their effect on ecosystem services–Identification and knowledge gaps. Mar. Policy150, 105528. doi: 10.1016/j.marpol.2023.105528
7
Feng Z. Zhang T. Wang J. Huang W. Wang R. Xu J. et al . (2020). Spatio-temporal features of microplastics pollution in macroalgae growing in an important mariculture area, China. Sci. Total. Environ.719, 1374905. doi: 10.1016/j.scitotenv.2020.137490
8
Frias J. P. G. L. Nash R. (2019). Microplastics: Finding a consensus on the definition. ” Mar. pollut. Bull.138, 145–147. doi: 10.1016/j.marpolbul.2018.11.022
9
Gilman E. Musyl M. Suuronen P. Chaloupka M. Gorgin S. Wilson J. et al . (2021). Highest risk abandoned, lost and discarded fishing gear. Sci. Rep.11, 7195. doi: 10.1038/s41598-021-86123-3
10
Guilhermino L. Martins A. Lopes C. Raimundo J. Vieira L. R. Barboza L. G. A. et al . (2021). Microplastics in fishes from an estuary (Minho River) ending into the NE Atlantic Ocean. Mar. pollut. Bull.173, 1130085. doi: 10.1016/j.marpolbul.2021.113008
11
Iheanacho S. Ogbu M. Bhuyan M. S. Ogunji J. (2023). Microplastic pollution: An emerging contaminant in aquaculture. Aquacult. Fisheries.8, 603–616. doi: 10.1016/j.aaf.2023.01.007
12
Islam T. Li Y. Rob M. M. Cheng H. (2022). Microplastic pollution in Bangladesh: research and management needs. Environ. pollut.308, 119697. doi: 10.1016/j.envpol.2022.119697
13
Joshy A. Sharma S. R. K. Mini K. G. (2022). Microplastic contamination in commercially important bivalves from the southwest coast of India. Environ. pollut.305, 119250. doi: 10.1016/j.envpol.2022.119250
14
Joyce P. W. S. Falkenberg L. J. (2022). Microplastics, both non-biodegradable and biodegradable, do not affect the whole organism functioning of a marine mussel. Sci. Total. Environ.839, 156204. doi: 10.1016/j.scitotenv.2022.156204
15
Li H. Lu J. (2022). Can inter-governmental coordination inhibit cross-border illegal water pollution? A test based on cross-border ecological compensation policy. J. Environ. Manage.318, 115536. doi: 10.1016/j.jenvman.2022.115536
16
Li H. X. Shi M. Tian F. Lin L. Liu S. Hou R. et al . (2022). Microplastics contamination in bivalves from the Daya Bay: Species variability and spatio-temporal distribution and human health risks. Sci. Total. Environ.841, 156749. doi: 10.1016/j.scitotenv.2022.156749
17
Masiá P. Ardura A. Garcia-Vazquez E. (2022). Microplastics in seafood: Relative input of Mytilus galloprovincialis and table salt in mussel dishes. Food Res. Int.153, 110973. doi: 10.1016/j.foodres.2022.110973
18
Meng Q. Xu C. (2023). Thoughts on building a modern marine industry system in Qingdao. Marine Economy. 13 (6), 105–113. doi: 10.19426/j.cnki.cn12-1424/p.20230918.001
19
Mulazzani L. Camanzi L. Malorgio G. (2019). Multifunctionality in fisheries and the provision of public goods. Ocean Coastal Management (168), 51–62. doi: 10.1016/j.ocecoaman.2018.10.037
20
Ogunola S. O. Reis-Santos P. Wootton N. Gillanders B. M. (2022). Microplastics in decapod crustaceans sourced from Australian seafood markets. Mar. pollut. Bull.179, 113706. doi: 10.1016/j.marpolbul.2022.113706
21
Priya A. K. Jalil A. A. Dutta K. et al . (2022). Algal degradation of microplastic from the environment: Mechanism, challenges, and future prospects. Algal. Res.67, 102848. doi: 10.1016/j.algal.2022.102848
22
Tessnow-von Wysocki I. Le Billon P. (2019). Plastics at sea: Treaty design for a global solution to marine plastic pollution. Environ. Sci. Policy100, 94–104. doi: 10.1016/j.envsci.2019.06.005
23
Wang Z. Zhang Y. Kang S. Yang L. Shi H. Tripathee L. et al . (2021). Research progresses of microplastic pollution in freshwater systems. Sci. Total. Environ.795, 148888. doi: 10.1016/j.scitotenv.2021.148888
24
Weinstein J. E. Ertel B. M. Gray A. D. (2022). Accumulation and depuration of microplastic fibers, fragments, and tire particles in the eastern oyster, Crassostrea virginica: A toxicokinetic approach. Environ. pollut.308, 119681. doi: 10.1016/j.envpol.2022.119681
25
Wu J. Lai M. Zhang Y. Li J. Zhou H. Jiang R. et al . (2020). Microplastics in the digestive tracts of commercial fish from the marine ranching in east China sea, China. Case Stud. Chem. Environ. Eng.2, 100066. doi: 10.1016/j.cscee.2020.100066
26
Yu L. Zheng S. Gao Q. (2023). Government environmental regulation strategy for new pollutants control in mariculture. Mar. Policy150, 105545. doi: 10.1016/j.marpol.2023.105545
27
Yu X. Du H. Huang Y. Yin X. Liu Y. Li H. et al . (2022). Selective adsorption of antibiotics on aged microplastics originating from mariculture benefits the colonization of opportunistic pathogenic bacteria. Environ. pollut.313, 120157. doi: 10.1016/j.envpol.2022.120157
28
Zheng S. Yu L. (2022). The government’s subsidy strategy of carbon-sink fishery based on evolutionary game. Energy254, 124282. doi: 10.1016/J.ENERGY.2022.124282
29
Zheng S. Zhang Y. (2024a). Analyzing the evolutionary game of subsidies’ strategy in the digitization of marine ranch: a theoretical framework. Front. Mar. Sci.11, 1376256. doi: 10.3389/fmars.2024.1376256
30
Zheng S. Zhang Y. (2024b). Can government subsidy promote the light-blue fishery upgrade to deep-blue fishery? Front. Mar. Sci.11, 1370896. doi: 10.3389/fmars.2024.1370896
Appendices
Appendix 1
| Definition of parameters | Mean | Unit | Source | |
|---|---|---|---|---|
| Market price of environmental-friendly fishing gears | 0.5 | 10000 Yuan/frame | Survey of fishing gear enterprise | |
| Production volume of environmental-friendly fishing gears | 1.0 | 10000 pieces/year | Survey of fishing gear enterprise | |
| Production cost of environmental-friendly fishing gears | 0.4 | 10000 Yuan/frame | Survey of fishing gear enterprise | |
| Market price of non-environmental-friendly fishing gears | 0.4 | 10,000 Yuan/frame | Survey of fishing gear enterprise | |
| Production volume of non-environmental-friendly fishing gears | 0.9 | 10000 pieces/year | Survey of fishing gear enterprise | |
| Production cost of non-environmental-friendly fishing gears | 0.1 | 10000 Yuan/frame | Survey of fishing gear enterprise | |
| Quantity of environmental-friendly fishing gears purchased by fishermen | 0.1 | piece/year | Survey of fishermen | |
| Fishermen’s revenue from purchasing environmental-friendly fishing gears | 0.7 | 10000 Yuan/frame | Survey of fishermen | |
| Quantity of non-environmental-friendly fishing gears purchased by fishermen | 0.6 | piece/year | Survey of fishermen | |
| Fishermen’s revenue from purchasing non-environmental-friendly fishing gears | 0.7 | 10000 Yuan/frame | Survey of fishermen | |
| Environmental utility of government subsidy | 0.8 | / | Survey of government departments | |
| Environmental utility when the government does not give subsidy | 0.5 | / | Survey of government departments | |
| Amount of government subsidies for environmental-friendly fishing gears | 0.5 | 1000 Yuan/frame |
Survey of government departments | |
| Coefficient of government subsidy to fishing gear enterprises | 0.7 | / | Survey of government departments | |
| Coefficient of government subsidy to fishermen | 0.3 | / | Survey of government departments |
Parameter values of simulation model.
Summary
Keywords
mariculture, microplastics, government regulatory strategy, evolutionary game, numerical simulation
Citation
Song H, Wang X, Huan X and Yang L (2025) The impact of government subsidies on microplastic pollution control in mariculture: an evolutionary game theory analysis in Qingdao, China. Front. Mar. Sci. 11:1510364. doi: 10.3389/fmars.2024.1510364
Received
12 October 2024
Accepted
18 December 2024
Published
20 January 2025
Volume
11 - 2024
Edited by
Ram Kumar, Central University of Bihar, India
Reviewed by
Sedat Gundogdu, Çukurova University, Türkiye
Duminda Senevirathna, Uva Wellassa University, Sri Lanka
Updates
Copyright
© 2025 Song, Wang, Huan and Yang.
This is an open-access article distributed under the terms of the Creative Commons Attribution License (CC BY). The use, distribution or reproduction in other forums is permitted, provided the original author(s) and the copyright owner(s) are credited and that the original publication in this journal is cited, in accordance with accepted academic practice. No use, distribution or reproduction is permitted which does not comply with these terms.
*Correspondence: Lin Yang, yanglin2128@126.com
Disclaimer
All claims expressed in this article are solely those of the authors and do not necessarily represent those of their affiliated organizations, or those of the publisher, the editors and the reviewers. Any product that may be evaluated in this article or claim that may be made by its manufacturer is not guaranteed or endorsed by the publisher.