Abstract
Antarctic krill (Euphausia superba) are a key component of the Antarctic ecosystem linking primary and some secondary production to higher trophic levels including fish, penguins, seals, and whales. Understanding their response to environmental stimuli therefore provides insights into the trophic ecology of Antarctic systems. This laboratory study quantified the influence of penguin guano, a presumptive predator cue, chlorophyll concentration and flow speed on krill swimming behavior. In addition, ingestion rates with and without guano were measured. Such inquiries are necessary to determine if predator risk cues modify krill activities in ways that have consequences for other members of the Antarctic trophic web. Krill often exhibited acute turns when guano was present and varied their swimming speeds more when guano was present. These are both indicators of avoidance behavior to the negative chemical cues represented by penguin guano. Similarly, krill’s ingestion rates dropped significantly for a prolonged period of time in the presence of guano. This decrease in feeding will have impacts on krill’s nutritional value to their predators, prey uptake rates (prey survival) and the sequestration of carbon to the deep ocean as krill decrease their defecation rates. This study supports the hypothesis that krill use chemical signals to detect and behaviorally respond to food and predation risk.
1 Introduction
Predation has long been implicated as a major selective force in the evolution of morphological and behavioral characteristics of animals. Ample evidence shows that animals assess predation risk and modify their behavior to mitigate this risk (Alonzo and Mangel, 2001; Lima and Dill, 1990). Avoidance is a common response; prey use a variety of behaviors and techniques to limit their potential interactions with predators (Gurarie et al., 2016; Lima and Dill, 1990; Mead et al., 1999), including slowing their movement, changing their directional heading, or reducing their feeding and foraging time or the time and energy spent looking for mates, all of which can lower predation risk (Lima and Dill, 1990).
Risk aversive behaviors are contingent on detecting ecologically important signals. It is well documented that zooplankton (including krill) respond to a variety of environmental cues (Fields and Yen, 2002; Kiørboe et al., 2018; Poulin et al., 2018; Roney et al., 2023; Yen et al., 1998), including attractants such as food (Hamner et al., 1983; Price, 1989; Woodson and McManus, 2007) and mates (Yen et al., 1998) as well as aversive chemicals (Dodson, 1988). Predator cues and the availability of food interact to alter prey reproduction (Pauwels et al., 2010), growth (DeLong and Walsh, 2016), and behavior (Kiørboe et al., 2018). Responses include changes to swimming behavior indicative of both attraction and aversion (Harvey et al., 2013; Kvile et al., 2021; Roozen and Lürling, 2001; Weissburg et al., 2019) as well as changes in feeding rate that either enhance food intake or presumably reflect reduced activity and therefore reduction in the ability of predators to detect or contact prey (Kiørboe et al., 2018).
The detection of predator scent is common in prey, particularly in aquatic habitats where visual or other cues are limiting (Weissburg et al., 2014). For instance, larval amphibians halt movement and feeding in the presence of predators (Abrahamsen et al., 2010; Kerling, 2007; Lima and Dill, 1990; Marquis et al., 2004). Ammonia, a common waste product of predators, delays metamorphosis and growth in some zooplankton species, such as has been observed in crab larvae (True, 2014). Other cues released by predators can induce diel vertical migration to reduce predator-prey contact rates (Dodson, 1988), or produce morphological defenses in zooplankton prey (Tollrian and Harvell, 1999).
Predator-prey interactions involving krill have received some attention, but most studies are scaled to population level impacts (e.g., krill school density, abundance and nutritional value) on predator growth and production (Annasawmy et al., 2023; Bestley et al., 2018; Brierley and Cox, 2010; Miller et al., 2019; Riaz et al., 2023). However, environmental cues for food and predators affect krill distributions at a variety of scales (Watters et al., 2020). Although the past decade has shown progress in tracking krill within aggregations (Annasawmy et al., 2023; Bestley et al., 2018; Burns et al., 2022; Ryabov and Tarling, 2019; Tarling and Fielding, 2016; Tarling and Thorpe, 2017), little is known about the behavior or sensitivity of individual krill to chemical features of the biological environment (i.e. predator or food related cues). Since individual behaviors have consequences for larger scale processes, the lack of information on individual krill behavioral responses to chemical (or other environmental) cues limits our ability to understand broader behavioral patterns in their population.
Studies at large spatial scales show positive associations between food and krill and negative associations between predators (particularly penguins) and krill abundance (e.g. Lawson et al., 2008; Riaz et al., 2023). Few studies examine the behavior of individual krill in response to attractive and aversive cues (Strand and Hamner, 1990). This has hampered our ability to link individual behavior and larger demographic patterns of krill. Specifically, how predator cues modify feeding rates or drive anti-predatory swimming behaviors of individual krill remains largely unknown.
To investigate the influence that predatory odors have on krill, our study used a combination of feeding experiments and measured swimming behavior in flume experiments where krill were exposed to presumptive predator odor (penguin guano) alone and in the presence of food. Guano was chosen as an aversive cue given that prey species commonly react to metabolites in predator waste (Bell et al., 2019) and because krill swarming behavior is diminished in laboratory settings (Strand and Hamner, 1990) and abundance is negatively associated with areas adjacent to penguin colonies in the field (Riaz et al., 2023). The goal of these experiments was to determine if predator waste and/or odor modifies krill swimming and feeding. We hypothesize that: 1) krill will reduce their feeding rate in the presence of a predator stimulus as a survival mechanism and 2) krill attempt to minimize their predation risk by exhibiting avoidance behaviors when exposed to chemical cues from predators.
2 Materials and methods
2.1 Krill collection
Krill were collected with an Isaacs-Kidd midwater trawl (IKMT) net deployed from the RV Laurence M Gould (October 2023) and from the RV Nathaniel B. Palmer (November 2023) from Wilhelmina Bay in the Bransfield Strait. Oblique tows were taken from 100 m to the surface at speeds under 4 km h-1. Captured krill were held in 1000 L tanks with ambient flowing seawater during transport to Palmer Station (US Antarctic station on the Western Antarctic Peninsula; 64.7743° S, 64.0538° W) for both collections. At Palmer Station, krill were transferred to large circular tanks (2m * 1.5m; dia*depth) with ambient flowing seawater containing natural concentration of algae (<150um). In addition, a concentrated algal slurry was collected by filtered seawater pumped from the adjacent Arthur Harbor through a 64 µm mesh plankton net overnight. The algal slurry ranged from 2.6 ug L-1 to 130 ug L-1 based on the availability of plankton in the neighboring harbor during the preceding day. Each day, ~2L of the slurry was added to the tanks and water circulation was turned off for 1 hr to allow the animals to feed at the high concentration. Typically, after feeding, the animals guts showed signs of coloration.
2.2 Guano collection
Guano was collected from a local Adelie penguin colony on Torgersen Island by trained bird experts as a part of NSF ANT-2012444. A total of 78 g of guano was collected and brought back to Palmer Station in zip-lock bags that were labelled and stored at −80°C in accordance with biosecurity procedures for avian waste products. Guano was defrosted and weighed on the day of the experiment.
2.3 Krill morphometrics
A subsample of the pool of krill (n = 90) that were used in the experiments were photographed (Canon T8i) and then wet weighed. Subsequently, individual animals were gently rinsed in fresh water and oven dried (60°C) for 72 hr to determine dry weight (DW). Krill wet weight and dry weight were measured using a Cole-Parmer LB-200-224e Analytical Balance. Length measurements from rostrum to telson were taken from photographs using Image J (NIH). Of the 90 measured animals, the 16 individual animals used in feeding experiments were analyzed for CHN (carbon and nitrogen) analysis. Carbon (C) and Nitrogen (N) were measured with an elemental analyzer (Costech Elemental Combustion System4010, Costech Analytical Technologies, Valencia, CA) by Bigelow Analytical Services (East Boothbay, ME).
2.4 Feeding rate experiments
Individual adult krill used in the experiment were selected in the mid to large size range from our standing stock (see above). We used animals ~24 hr after being feed within the large circular holding tanks. At the end of the feeding trials the individual krill were photographed and weighed (wet weight; g) and then placed into a drying oven (45°C). After 48 hr, krill were then re-weighed (dry weight, DW; mg) and combusted for carbon:hydrogen:nitrogen ratio (CHN). Photographs of the krill were analyzed for total length (mm) using NIH-Image J.
Plankton was collected by passing unfiltered seawater pumped in from Arthur Harbor through two 64 µm mesh plankton nets for a 24-hr period. The high concentration plankton stock was stored overnight at ambient temperatures (2°C) in 2 L containers. Chlorophyll (chl) levels were measured in triplicate using standard fluorometric methods (Parsons and Lalli, 1984). Water samples (20 − 50 mL) were filtered onto GF/F filters, extracted in 90% acetone in a freezer (−18°C) for 24 hours, and the concentration was measured using a Turner Model 10 fluorometer.
High concentration plankton stock was diluted to a chlorophyll concentration of ~5 µg L-1 with 0.2 µm filtered seawater. This was then split into two 30 L amounts, one for the chlorophyll treatment (hereon CHL) and one for the chlorophyll and guano treatment (hereon CHL+Guano). The CHL+Guano treatment then had an additional 2.4 g of penguin guano added and well mixed in for a final concentration of 0.1 µg L-1 guano.
Experiments took place in 8 L square transparent containers filled with either 6 L of the CHL treatment seawater or 6 L of the CHL+Guano treatment seawater, with 8 replicates each, performed in two blocks (4 replicates plus controls in each block, See Figure 1). Initial chlorophyll concentration for the control containers was roughly 5 µg L-1 Chl a (mean ± SD; CHL: 4.91 µg L-1 ± 1.00 µg L-1; CHL+Guano: 5.31 µg L-1 ± 0.78 µg L-1). Two krill were added to each of eight buckets (4 from CHL treatment, 4 from CHL+Guano treatment). A total of six additional buckets contained no krill and were used as controls (3 CHL treatment, 3 CHL+Guano treatment) to examine changes in ambient chlorophyll concentration during the experiment. Chlorophyll concentrations in both the control (no krill) and the feeding containers were determined at the start of the experiment (t = 0) and at 9 and 22 hours later. Chlorophyll concentration was converted to carbon concentration from Boyd et al. (1984).
Figure 1

Experimental design framework for feeding experiments on adult Antarctic krill (Euphausia superba) showing chlorophyll (5 ug L-1), guano when present (0.1 µg L-1) and absent (0 µg L-1). Each set of 4 containers with 2 animals in and 1 control container with no animals was considered a block set for that experiment.
Ingestion rates were calculated through a series equations described by Frost (1972). The algal growth constant (k) was calculated from changes in concentration over time within the controls (no animals present (g=0)). The grazing (g) was calculated from the feeding chambers as:
where C is the concentration of algae (µg L-1) in the container at time t1 and t2, k is the algal growth constant, and g is the grazing coefficient. Ingestion rates (I) within each container were calculated as:
Where<C> is the average chlorophyll concentrations, V is the volume in the container and N is the number animals. I (µg C d-1) was normalized to the average krill’s DW (mg K) in each feeding replicate and reported as µg C mg K-1 d-1.
2.5 Swimming behavior measurements
A flume similar to that described in Weissburg et al. (2019) was used to examine krill swimming behavior in the presence of CHL and CHL+Guano at two different flow speeds (See Supplementary Figures 1A, B). Specifically, the flume was constructed of stainless steel and plexiglass. In brief, water entered the flume by two 5 cm bulkhead fittings, with a downward angled metal deflector to remove large amplitude fluid motion, and 2.5 mm hexagonal cell fiberglass baffling further conditioned the flow before it entered the working section of the flume. A stainless-steel contraction section provided a smooth narrowing to a final width of 25 cm in the working section (25 x 25 cm), with an additional 25 cm exit section terminating in a tail gate with a 3-inch bulkhead through which the water flowed into a sump. The upstream and downstream end of the working section was fitted with a stainless-steel mesh (5 mm mesh size), to prevent krill from leaving the working section of the flume. The sump (a 210 L clean hdpe barrel) contained a 1 hp Tsurumi pump that returned water to the upstream end of the flume via a 5 cm dia pvc hose. The pump’s ball valve regulated flow velocity. Water temperature was measured at the start and end of each trial and if it was raised more than 2°C than the starting temperature of the trial, the water was drained from the system and refilled with fresh seawater and any additional chemical cues.
Chlorophyll a concentrations at Palmer Station varied from 0 – 3.2 µg L-1 from October to early December 2022 as measured by a fluorometer that provided readings of water flowing into Palmer’s wet lab every 5 minutes, but typically were below 1 µg L-1. We used the upper end of this range as it induced noticeable feeding behavior in the krill within the aquarium tanks. We used the average of 10 measurements immediately before our trials as a measure of chlorophyll levels in our sump (filled prior to the experiments) and supplemented the water with an appropriate volume of our concentrated algal stock to raise chlorophyll levels to the target value of 3 µg CHL L-1. Chlorophyll levels in Guano only trials reflected ambient conditions in the waters around Palmer station and were between 0.5 and 0.7 µg CHL L-1. Three chemical conditions were examined to test the effect of guano on krill responses and the responses of krill to guano in the presence of food: 3 µg CHL L-1 (Ambient); 0.1 µg guano L-1 (Guano); and 3 µg CHL L-1 plus 0.1 µg guano L-1 (CHL+Guano) (See Figure 2).
Figure 2

Experimental design framework for swimming behaviour experiments on adult Antarctic krill (Euphausia superba) showing the different flow rates and combination of chemical cues added. CHL – chlorophyll.
Behavior trials were conducted at flows of 3 and 5.9 cm s-1 (Low and High Flow, respectively) for each level of chemical stimulus. These flow rates were chosen as they represent the flow rates of currents krill experience regularly in the Antarctic Peninsula region (e.g. Marguerite Bay inflow current – 0.05 m s-1 (Moffat and Meredith, 2018) or in Savidge and Amft (2009)). Previous laboratory studies (Weissburg et al., 2019) showed clear differences in krill swimming speed and angle at these flow rates also. Flow rate at different valve settings was measured whenever valve settings were changed, and at least once per day, by tracking a small amount of neutrally buoyant dye that was injected gently at the beginning of the working section of the flume. Dye was injected at mid depth and multiple positions (always at least 2 cm away from the wall). The leading edge of the dye front was tracked with NIH-ImageJ using three to five replicate velocity measurements per calibration to compute mean treatment speeds, with at least 4 replicate flow calibration trials for each velocity condition. The standard deviations between flow measurements were less than 10% of the calculated mean speed across all conditions. Chlorophyll measurements of the sump water were used to determine the actual chl a concentration during our trials and were measured twice for each velocity and chemical condition.
Each trial was run with 6 – 8 krill for 5 minutes with a water depth of 18 cm in the working section of the flume in dim light equivalent to light below 40 - 100 m depth (unpublished measurements -0.5 uE). This depth and light intensity was chosen at it represents the median mixed layer depth in the Southern Ocean as per Smith and Nelson (1986) and is a light level that both phytoplankton and krill would naturally be found in throughout the year (Höring et al., 2018; Walsh et al., 2001). Trials were recorded on 2 perpendicularly mounted cameras (FLIR Flea USB3, Canada) providing images from the top and side of the flume at 30 frames per second (fps). Cameras were synchronized such that the 3D coordinates of the krill could be determined in each frame of the videos. There were four replicate trials for each velocity and chemical condition, and four paths from each trial were analyzed to determine krill behavioral responses (N = 16 replicate paths for each condition). Logistical constraints prevented us from randomizing trial conditions (i.e. the need to maintain chemical conditions in the sump and the requirement of changing valve settings). However, we performed all trials at a given velocity and chemical condition within 24 hours and saw no effect due to trial.
2.6 Data analysis
All data analysis was conducted in RStudio (version: 4.1.2 (2021-11-01)). Ingestion rates in each tank were expressed as mass specific carbon ingestion rate as described above and were compared using a two-way analysis of variance (with repeated measures) to examine ingestion over time as a function of treatment, using a repeat measures design; treatment was the categorical variable and time the covariate. Initial results indicated no significant difference in krill size or initial chlorophyll concentration, so the two blocks were pooled for the analysis. Post-hoc t-tests with pairwise multiple comparison (Holm-Sidak method) were used to compare ingestion rates at each time point.
Swimming behavior was examined using DLTdv8 (Hedrick, 2008) to determine the 3D position of each krill from the raw video. Four krill tracks (no more than one per individual) were collected from each trial with three replicate trials for each treatment. Tracks were run through a smoothing spline function prior to calculating the krill’s ground and net velocities (negative velocities indicate movement in the direction of the flow and positive velocities upstream movement against the flow), turn angles, the horizontal and vertical headings of the krill and their position within the tank.
The pathwise means and standard deviations of krill in the experimental treatments are given in Table 1. For all angular data, circular statistics were used to generate the mean vector, variance, and deviation. Velocity was log transformed to account for the small rates of change seen (mm s-1 differences) and to normalize the data. A 2-way ANOVA was performed to examine how flow rate and chemical stimulus conditions effect swimming behavior parameters, with trial as a random factor. Angular data was compared using both the Watson-Williams and Watson-Wheeler tests using the Circ package for R. Code for the statistical analysis on the kinematics of the krill tracks is available on GitHub (https://github.com/SeascapeScience/krill-tank-code).
Table 1
| Flow | Average Chlorophyll Concentration (µg chl L-1) |
Chemical Treatment | Speed (cm s-1) | Turn Angle (degrees) |
Heading Angle (degrees) |
|---|---|---|---|---|---|
| Low | 3.10 ± 0.07 | Ambient | 0.127 | 19.48 | 12.60 |
| Low | 3.21 ± 0.02 | Guano+CHL | 0.136 | 27.50 | 17.19 |
| Low | 0.65 ± 0.16 | Guano | 0.167 | 29.22 | 16.04 |
| High | 3.06 ± 0.04 | Ambient | 0.046 | 31.51 | 14.89 |
| High | 3.03 ± 0.19 | Guano+CHL | 0.074 | 45.84 | 20.05 |
| High | 0.62 ± 0.08 | Guano | 0.056 | 43.54 | 19.48 |
Summary kinematic statistics from Antarctic krill (Euphausia superba) swimming in different flow velocities and chemical treatments.
Table gives pathwise mean values for swimming speed, turn angle and heading angles as well as the average chlorophyll concentration (µg chl L-1) in each treatment. Low flow is 3 cm s-1 and High flow is 5.9 cm s-1.
3 Results
3.1 Krill morphometric data
The length (rostrum to telson) of the E. superba population in our holding tanks ranged in size from about 20 mm – 60 mm, based upon our population subsample (See Figure 3). The dry weight (DW) varied as an exponential function of length (L) as
Figure 3

Morphometrics of Antarctic krill (E. superba) collected along the Antarctic Peninsula. (A) Length (L, mm) of krill from rostrum to telson by dry weight (DW, mg); (B) Length (L, mm) of krill by carbon content (C, mg); (C) Wet weight (WW, mg) of krill by dry weight (DW, mg); (D) Nitrogen (N, mg) of krill by carbon content (C, mg). Solid lines denote the linear regression with equations given in each panel. Dotted lines show standard error around the regression line. R-squared values are also given on each panel to show regression fit.
DW increased linearly with wet weight (WW) with a slope of 0.1375 suggesting 86.25% water weight (See Figure 3). The carbon (C) to dry weight ratio was calculated by C/DW (N = 16) was 0.396 ± 0.011 (mean ± SD) and the carbon to nitrogen (N) ratio of C/N was 3.460 ± 0.134.
For the feeding trials, the krill in the CHL treatment had an average DW of 94.61 ± 21.33 mg (mean ± SD) whilst krill in the CHL+Guano treatment had an average DW of 83.15 ± 13.33 mg. There was no evidence of variation in the size of animals used in feeding rate trials. Krill in the CHL treatments had an average L and DW (mean ± SD) of 42.6 mm ± 3.4 mm (mean ± SD) and 94.6 ± 21.3 mg, respectively. Krill in the CHL+Guano treatments had an average L and DW of 42.1 ± 1.1 mm and 83.2 ± 13.3 mg, respectively.
3.2 Feeding rate experiments
To compare the ingestion rates with and without added guano, all feeding experiments were conducted at a CHL concentration of 180 µg C L-1. Krill showed substantial feeding in both the CHL and the CHL+Guano conditions, consuming 67% and 25% of the original chlorophyll concentration over 22 hours of feeding, respectively (See Figure 4A). Chlorophyll concentration varied significantly between treatments (F1,18 = 144.1; p<<.001) and over time (F2,18 = 78.9; p<<.001), and the significant Time*Treatment interaction (F2,18 = 21.92; p<<.001) indicated ingestion rate during the course of the experiment was significantly greater in the CHL treatment then in the presence of Guano (See Figure 4A; Supplementary Table 1). Maximum ingestion rates reached ~0.5 µg C h-1 mg krill (K)-1 at chlorophyll concentrations of ~200 µg C L-1.
Figure 4

(A) Chlorophyll concentration (µg Chl L-1) depletion as a function of time in each experimental replicate. CHL – white, CHL+Guano – grey. Dashed line indicates the average of the 4 replicates over time. (B) Average ingestion rate (µg carbon(C) h-1 mg krill(K)-1 d-1: +/- STD) for Antarctic krill (Euphausia superba) in CHL only and CHL+Guano treatment between 0 to 9, 9 to 22 and 0 to 22 hours of feeding. N = 8 per treatment. * shows significant differences. Letters denote group similarities through post-hoc analysis.
In the CHL treatments, the ingestion rates (converted to carbon equivalents (µg C mg K-1 day-1; Boyd et al., 1984), were greatest during the first 9 hours of feeding, likely as a result of the higher algal density (See Figure 4B) and declined during the interval from 9 − 22 hours. During this initial feeding, krill ingested about 13% of their body C per day (Clarke and Morris, 1983), whereas initial feeding rates in the CHL+Guano treatment accounted for ~5% of the body C per day. Ingestion rates declined in the CHL treatment over the interval between 9 − 22 hours, presumably as a result of the combination of satiation and the decreased algal concentration. In contrast, ingestion rates in the CHL+Guano treatment were effectively constant over the entire 22 hours. Individual t-tests showed that ingestion rate in the CHL treatment was significantly greater over the 0 − 9 hour interval (t = 5.83; p<.01; df = 15) and over the course of the entire experiment (t = 4.08; p< 0.01; df = 15) but not from 9 − 22 hrs (t = 0.35; p >.5; df = 15, See Figure 4B).
3.3 Swimming behavior experiments
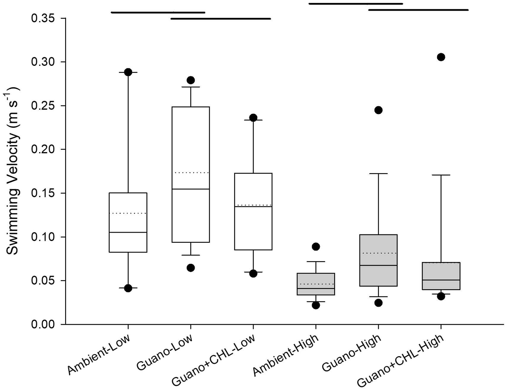
The presence of guano and interactions between guano and chlorophyll modified the behavior of krill, with consistent effects across flow velocity (Table 1; Figure 5); flow (F1,90 = 39.75, p<.001) and chemical condition (F1,90 = 3.52, p<.05) both significantly affected swimming speed whereas the flow*chemical condition interaction did not (F1,90 = 0.36, p >>.05, Supplementary Table 2). In general, the presence of guano increased krill swimming speed, although the speed in the presence of both guano and chlorophyll was not different from either the chlorophyll only or the guano only conditions as revealed by a Tukey post-hoc test (Figure 5). Note that swimming speeds are uncorrected for flow velocity and represent the true ground speed as observed. Ground speed of krill swimming in our high flow condition is lower as a result of animals moving largely upstream in the face of increased flow velocity.
Figure 5

Box plot of krill swimming speed as a function of chemical and flow velocity conditions. Plot shows 25-75% interquartile range and standard deviation, with median given by the solid lines and mean by the dotted line. Bars connect chemical treatments not significantly different from one another within each flow velocity as indicated by a Tukey post-hoc test. Flow of 3 cm s-1 (Low) – white, Flow of 5.9 cm s-1 (High) – grey.
Path wise mean turn angle was influenced by both chemical treatment and flow velocity. Turn angles are generally low in all conditions, with animals rarely turning more than 60°, which is consistent with the tendency of krill in these conditions to swim mostly against the flow (Figure 6). There is a clear effect of chemical treatment for krill swimming in Low Flow (Watson-Williams test: F2,45 = 6.63, p<.01), with krill in the Ambient (CHL only) condition showing mean turn angles that were roughly 10° lower than the two treatments involving guano, which were largely similar to one another. Post-hoc tests revealed that angles of krill in Ambient (CHL only) conditions were significantly different than those of the other two groups (Guano, Guano+CHL) which themselves were not different from one another.
Figure 6

Polar plot of pathwise mean krill turn angle as a function of chemical and flow velocity conditions. Chemical treatment for the pathwise mean turn angle is indicated by shading, whereas the two velocity conditions are given by symbols, with triangles for the Low Flow (3 cm s-1) and circles for the High Flow (5.9 cm s-1) conditions, respectively. Radial distance for mean turn angle points are arbitrary and the different chemical treatments are offset radially for clarity. Vectors represent the mean turn angle for each group with the radial distance corresponding to the coefficient of dispersion, which equals 1 if there is no variation. The different chemical treatments are indicated by line colour (Ambient – Black; CHL+Guano – dark grey; Guano only – light grey) and Low and High flows are indicated by dashed and solid lines, respectively.
The patterns displayed by krill in Low Flow largely were replicated by krill in High Flow. Krill in Ambient conditions displayed the lowest turning angles, and krill in Guano and Guano+CHL conditions turned at larger angles (Figure 6). The effect of chemical treatment again was significant (Watson-Williams test: F2,45 = 7.49, p<.01), with post-hoc tests showing significant differences between the Ambient treatment and the other two groups, which again were not significantly different from one another. Turn angles for the animals in the High Flow treatments were larger across all groups then those displayed by krill in the Low Flow conditions, although the lack of generalized methods for 2-way ANOVA for circular data prevented a statistical analysis of the effect of flow. Nonetheless, the relatively low dispersion suggests that flow velocity produced a meaningful change in krill behavior.
Analysis of heading angles (Figure 7) revealed that krill generally swam upstream in all conditions. Although heading angles were slightly more aligned to flow in Ambient as opposed to Guano and Guano+CHL treatments at both flows, the differences were modest and chemical treatment was not significant for either group (Watson-Williams test: F2,45 = 0.61, 1.36 for Low and High Flow, respectively; p >.25). Krill assumed slightly greater heading angles in the High Flow condition.
Figure 7

Polar plot of pathwise mean krill heading angle as a function of chemical and flow velocity conditions. Chemical treatment for the pathwise mean heading angle is indicated by shading, whereas the two velocity conditions are given by symbols, with triangles for the Low Flow (3 cm s-1) and circles for the High Flow (5.9 cm s-1) conditions, respectively. Radial distance for mean heading angle points is arbitrary and the different chemical treatments are offset radially for clarity. Vectors represent the mean heading angle for each group with the radial distance corresponding to the coefficient of dispersion, which equals 1 if there is no variation. The different chemical treatments are indicated by line colour (Ambient – Black; CHL+Guano – dark grey; Guano only – light grey) and Low and High flows are indicated by dashed and solid lines, respectively.
4 Discussion
This laboratory study showed that krill use predator scent to detect and respond to odors in order to minimize predation risk by changing their swimming and feeding behavior. Krill decreased their feeding in the presence of predator odor. The decrease in the ingestion rates as a risk-avoidance tactic is corroborated by changes seen in the krill’s swimming behavior, particularly increased velocity and turning in the presence of guano odor. The impacts of these behavioral changes at larger scales such as swarm structure and distribution are not yet fully understood.
Penguin guano had substantial effects on krill feeding. The krill in our experiments were able to clear 0.5 L of water every hour, so over the course of 6 hours they depleted the available chlorophyll and carbon by up to 50% in the 6 L of seawater provided (e.g., CHL treatment). This rate dropped to 0.2 µg C hr-1 krill-1 when guano was present (CHL+Guano), less than half what would have been predicted, and significantly lower than the feeding rate seen in the CHL treatment when chlorophyll concentrations were still the same. In the feeding trials, in the absence of predator smell, the krill were able to ingest up to 13% of their body C per day during the first 9 hours of feeding. This is higher than the calculated rates of 5% for males and 6% for egg-laying females per day (Clarke and Morris, 1983). The lab values reported here are probably higher than field values due to the low risk of predations.
Krill food consumption has generally been estimated indirectly, by adding together the energy required for production, respiration, excretion and other energetic costs (Atkinson et al., 2002; Clarke and Morris, 1983; Huntley et al., 1994; Ikeda and Dixon, 1984; Meyer et al., 2010; Price et al., 1988; Swadling et al., 2005). Only a few experiments have measured feeding rates directly (Antezana and Ray, 1984; Antezana et al., 1982; Boyd et al., 1984; Daly, 1990; Ikeda and Dixon, 1984; Meyer et al., 2010; Price et al., 1988; Schnack, 1985). Our data complements and adds to this limited dataset by investigating the impact of predators on krill feeding rates. The range of feeding rates seen in our experiments were similar to that seen in Ikeda and Dixon (1984) and Atkinson et al. (2002).
At conservative densities of 10,000 krill m-3 (Hamner et al., 1983), based on the feeding rates reported here, krill can consume up to 320 mg Chl m3 per day (14 g C m-3 d-1). At swarm sizes as large as 90 million m-3 (Hoare, 2009), consumption of primary production is enormous. Because the grazing impact of krill in the Southern Ocean is substantial, it represents a major pathway in the vertical transport of particulate organic carbon to the deep ocean via production of large fecal pellets (Cavan et al., 2019) and their diurnal vertical migration (Belcher et al., 2017; Cadée et al., 1992; Smetacek et al., 1990; Tanoue and Hara, 1986). The reduction in krill feeding due to predators reduces the ingestion rate by 44% which can cause a pronounced decrease in rates of carbon deposition into the deep ocean, which krill are capable of sequestering up to 20 MtC per productive season (Cavan et al., 2024). If whole krill swarms were to change their behaviors and foraging ability it would have large knock-on effects to their predators and prey alike. Characteristics of krill schools and swarms are well known, though their use as an anti-predatory mechanism is less understood (Alonzo and Mangel, 2001; Brierley and Cox, 2010; Hamner and Hamner, 2000; O’Brien, 1987; Saunders et al., 2015). The 22 hr ingestion rates confirm previously measured daily ingestion rates in krill (Atkinson et al., 2002; Ikeda and Dixon, 1984). Krill used in this experiment weighed on average 150 mg (± 0.05 mg). Krill of this size can consume up to 75 µg C hr-1 krill-1 at a concentration of 3 µg Chl L-1 or 1.67 µg Chl krill-1 hr-1.
Krill consistently increased their swimming velocity whenever guano was present, which is likely a type of escape reaction and would allow for krill to rapidly change their trajectory away from potential predation risks. When this is paired with larger turn angles when guano is present, this would allow for a reduction in predator interactions upstream. Krill are more readily able to change their trajectory at lower flow rates, so this escape reaction is also energy inefficient at higher flows. This behavior is also seen in other zooplankton species such as rotifers in Parry et al. (2022) and copepods in Strickler and Balázsi (2007). By rapidly changing their trajectory, these species are able to reduce their predation risk at an individual level and can detect and respond to predator stimuli in a time-sensitive manner such that they are not located downstream of the predator soon after detecting their chemical stimuli. Some zooplankton species utilize the opposite response by slowing their swimming velocity and becoming passive drifters in the presence of a predator cue (Al Amri and Khan, 2023), this reduces their predator encounter rate upstream whilst also conserving energy. However, this strategy may not work for krill since penguins are primarily visual predators (Hadden and Zhang, 2023; Handley et al., 2018). Instead, krill find protection moving in large schools or hiding in sea ice refuges (David et al., 2021). Thus, the expense of energy required to swim away from a predator as an individual may be worth the decrease in feeding, growth and reproductive energy. Krill behavior in the CHL+Guano treatments was intermediate between the Ambient (CHL only) and Guano only treatments, suggesting that krill can balance competing requirements of feeding and risk aversion behaviors (Abrams, 1993; Annasawmy et al., 2023; Dugatkin and Godin, 1992; Riaz et al., 2023; Snijders et al., 2021).
Krill were able to create a highly sinuous path that maintained their directional bearing by making frequent turns to keep their horizontal headings narrow, even in high flow. Observing individual krill performing anti-predatory swimming behaviors such as higher swimming velocities and taking more sinuous paths is novel and could potentially affect swarm structure and the foraging ability of the individual krill, thus, further suppressing the krill’s ingestion rate. In our study we saw krill making larger turns in high flow compared to low flow. This may be due to needing to over correct their directional bearing after turning to change their trajectory and avoid the perceived predation risk. This strategy of effectively zig-zagging to avoid a predator while maintaining direction is used by many zooplankton species (Visser, 2007) such as copepods (Singarajah, 1975; Titelman, 2001), and krill. These larger turn angles may also be attributed to krill being turned and pushed side-on to the current from the force of the water itself when adjusting their heading. This again would lead to krill needing to over-correct this angle to adjust their heading back to its original bearing and may explain why krill in higher flows had larger turn angles compared to their lower flow counterparts.
Guano and chlorophyll presented together also resulted in larger turn angles (Figure 4). Krill switched from executing acute and rapid turns to larger oblique turns spontaneously. This unpredictable turning behavior in the presence of a predator is common in many zooplankton species (Singarajah, 1975; Visser, 2007) as well as small mesopelagic fish (Thorvaldsen et al., 2023). This switching between swimming behavior strategies may be evidence of area-restricted search for food whilst also showing avoidance behavior towards the predator cue in an effort to balance feeding and minimizing predation risk. Krill can individually choose when to implement anti-predatory behavior and that they can feed, even at low levels, in the presence of predators at a constant rate (as supported by our feeding experiments above). What is most unusual about this is that krill are well known for their formations of large schools and swarms as an anti-predatory and social behavior, and this individualized anti-predatory response is the first recorded for this species. Individual avoidance behavior would also be energy intensive as krill swarms generate lower drag on individual krill (Murphy et al., 2013), thus conserving their energy output, but individual satiation rates in krill swarms are lower as swarm density increases (Tarling and Thorpe, 2017). Thus, individual krill breaking away from the swarm to increase their foraging levels may be highly advantageous. However, this would also increase their individual predator interactions and would therefore require individual predator avoidance responses such as we observed.
Krill maintained a more upstream heading (rheotaxis) in higher flow speeds although the differences in headings between flow treatments was small. This is similarly supported by the findings of Weissburg et al. (2019). Chemical cues impacted heading direction, with krill in Ambient conditions maintaining their heading more upstream than those in either chemical condition. This may be evidence that krill will perform rheotaxis until an external stimulus is encountered, whether positive or negative, which then alters their behaviour in such a way that rheotaxis is no longer maintained. This is counter to the findings of Weissburg et al., 2019 who saw rheotaxis levels increase in krill with added phytoplankton odor. As our Ambient conditions were at 3 µg CHL L-1 these were significantly lower odor levels than those tested in the Weissburg et al., 2019 paper (12.19 µg CHL L-1) but at flow levels an order of magnitude higher (mm s-1vs cm s-1). Thus, it is hard to determine if this result is due to the higher flow of this study or the result of chlorophyll levels being below the threshold at which krill respond. Interestingly, Swadling et al. (2005) documented that krill were able to swim upstream comfortably at 5 cm s-1 and even as high as 17 cm s-1, but display little lateral movement in flows over 3 cm s-1. Therefore, this wider range of heading angles at lower flows whenever Guano is present shows that lateral movement can be initiated in krill by adding an aversive stimulus, such as predator odor, that override the effects of flow and attractive cues. Future studies could examine the impacts aversive cues have on krill behaviour and how this interacts with rheotactic responses across a range of flow and stimulus conditions.
These results are based on laboratory experimentation and conditions, which do not fully replicate the complexities of the natural environment (Kawaguchi et al., 2024). For example, penguin guano would dilute overtime in situ, but this did not occur in our laboratory based experiments and thus may modify the intensity of the behaviors in krill compared to those in the wild. The behaviors seen in our results may be more pronounced due to the prolonged exposure to guano. Our laboratory experiments also had a constant temperature control for the water within the system (See 2.5 – Swimming Behaviour Experiments) which would naturally fluctuate more in situ. The combined effects of temperature and chemical cues on krill are unknown, as are the effects of temperature alone on krill behaviour. Finally, vision may play an important interactive effect with other sensory cues (Abrahamsen et al., 2010). Thus, future studies should consider the impact of the predator cue in combination with other environmental impacts.
The behaviour and feeding rate changes seen here show that long term exposure to a predator cue can significantly impact the ability for krill to forage. The use of penguin guano as a proxy for having a predator nearby also showed that a chemical cue alone was enough to deter krill feeding and that visual or mechanosensory cues (i.e. water movement) were not required to have a significant impact on the krill’s behaviour. With many Antarctic and Southern Ocean species moving southward (Carpenter-Kling et al., 2020; Henley et al., 2020; Krause et al., 2022) particularly penguins (Gallagher et al., 2023; Green et al., 2023; Riaz et al., 2023) which are colonizing the newly ice-free regions in the West Antarctic Peninsula, there may be increased occurrences of penguins and krill interacting in the future. Penguins will no longer be as constrained by having to migrate north for long durations over winter and may also be able to forage year-round with the reduction in sea-ice (Michelot et al., 2020). These results show that penguin-krill interactions will have an impact on the diet, nutrition, survival, and energetic movement costs of krill.
In this study we found that krill modify both their ingestion rates and swimming behaviour in response to penguin guano. With a reduction in foraging in the presence of penguin guano and varied swimming behaviors depending on both the flow of water the krill is in, and if guano or chlorophyll are present.
Statements
Data availability statement
The datasets presented in this study can be found in online repositories. The names of the repository/repositories and accession number(s) can be found below: https://www.bco-dmo.org/dataset/936829 Swimming kinematics of krill exposed to guano and food odor: 936829.
Ethics statement
The manuscript presents research on animals that do not require ethical approval for their study.
Author contributions
NH: Data curation, Formal analysis, Investigation, Methodology, Project administration, Resources, Software, Validation, Visualization, Writing – original draft, Writing – review & editing. MW: Conceptualization, Data curation, Formal analysis, Funding acquisition, Methodology, Project administration, Resources, Supervision, Visualization, Writing – review & editing. DF: Conceptualization, Data curation, Formal analysis, Funding acquisition, Investigation, Methodology, Project administration, Resources, Supervision, Visualization, Writing – review & editing.
Funding
The author(s) declare financial support was received for the research, authorship, and/or publication of this article. This project is funded through NSF grants 1840927 (MW) & 1840949 (DF).
Acknowledgments
We would like to thank the staff and crews of RV Laurence M Gould, RV Nathaniel B Palmer and the staff at Palmer Station, Antarctica without whom we could not have caught krill or carried out these experiments. Special thanks go to Darren Roberts and Megan Roberts as a part of Megan Cimino’s team from NSF ANT-2012444 who collected and provided the Adeliè penguin guano for these experiments. Additional thanks goes to the many undergraduate students who collected video data, without you there would be no data to analyze, and to Nicholas Record for assisting in the analysis of the data itself. This project is funded through NSF grants 1840927 (MW) & 1840949 (DF).
Conflict of interest
The authors declare that the research was conducted in the absence of any commercial or financial relationships that could be construed as a potential conflict of interest.
Generative AI statement
The author(s) declare that no Generative AI was used in the creation of this manuscript.
Publisher’s note
All claims expressed in this article are solely those of the authors and do not necessarily represent those of their affiliated organizations, or those of the publisher, the editors and the reviewers. Any product that may be evaluated in this article, or claim that may be made by its manufacturer, is not guaranteed or endorsed by the publisher.
Supplementary material
The Supplementary Material for this article can be found online at: https://www.frontiersin.org/articles/10.3389/fmars.2025.1508287/full#supplementary-material
Supplementary Figure 1(A) A simplified schematic of the horizontal flume constructed to study adult Antarctic krill (Euphausia superba) swimming behaviour in relation to flow and different chemical cues. Krill were placed in a 12” x 10” x 10” (L x W x D) working section of the flume which had mesh and flow straighteners at either end to stop the animals from going into the sump. (B) An diagram of the experimental set-up of the horizontal flume. Chlorophyll and/or penguin guano could be added to the upstream end of the horizontal flume system, which would then recirculate the chemicals until the end of the experiment. Lights and cameras were set up in stereo to the working section of the flume so that animals could be captured from the side and top of the flume.
References
1
Abrahamsen M. B. Browman H. I. Fields D. M. Skiftesvik A. B. (2010). The three-dimensional prey field of the northern krill, Meganyctiphanes norvegica, and the escape responses of their copepod prey. Mar. Biol.157, 1251–1258. doi: 10.1007/s00227-010-1405-9
2
Abrams P. A. (1993). Optimal traits when there are several costs: the interaction of mortality and energy costs in determining foraging behavior. Behav. Ecol.4, 246–259. doi: 10.1093/beheco/4.3.246
3
Al Amri K. A. N. Khan Q. J. A. (2023). Combining impact of velocity, fear and refuge for the predator–prey dynamics. J. Biol. Dynamics17, 2181989. doi: 10.1080/17513758.2023.2181989
4
Alonzo S. H. Mangel M. (2001). Survival strategies and growth of krill: avoiding predators in space and time. Mar. Ecol. Prog. Ser.209, 203–217. doi: 10.3354/meps209203
5
Annasawmy P. Horne J. K. Reiss C. S. Cutter G. R. Macaulay G. J. (2023). Antarctic krill (Euphausia superba) distributions, aggregation structures, and predator interactions in Bransfield Strait. Polar Biol.46, 151–168. doi: 10.1007/s00300-023-03113-z
6
Antezana T. Ray K. (1984). Active feeding of Euphausia superba in a swarm north of Elephant Island. J. Crustacean Biol.4, 142–155. doi: 10.1163/1937240X84X00552
7
Antezana T. Ray K. Melo C. (1982). Trophic behavior of Euphausia superba Dana in laboratory conditions. Polar Biol.1, 77–82. doi: 10.1007/BF00263803
8
Atkinson A. Meyer B. Stuϋbing D. Hagen W. Schmidt K. Bathmann U. V. (2002). Feeding and energy budgets of Antarctic krill Euphausia superba at the onset of winter—II. Juveniles and adults. Limnology Oceanography4, 953–966. doi: 10.4319/lo.2002.47.4.0953
9
Belcher A. Tarling G. Manno C. Atkinson A. Ward P. Skaret G. et al . (2017). The potential role of Antarctic krill faecal pellets in efficient carbon export at the marginal ice zone of the South Orkney Islands in spring. Polar Biol.40, 2001–2013. doi: 10.1007/s00300-017-2118-z
10
Bell A. T. C. Murray D. L. Prater C. Frost P. C. (2019). Fear and food: Effects of predator-derived chemical cues and stoichiometric food quality on Daphnia. Limnology Oceanography64, 1706–1715. doi: 10.1002/lno.11145
11
Bestley S. Raymond B. Gales N. Harcourt R. Hindell M. A. Jonsen I. et al . (2018). Predicting krill swarm characteristics important for marine predators foraging off East Antarctica. Ecography41, 996–1012. doi: 10.1111/ecog.2018.v41.i6
12
Boyd C. M. Heyraud M. Boyd C. N. (1984). Feeding of the Antarctic krill Euphausia superba. J. Crustacean Biol.4, 123–141. doi: 10.1163/1937240X84X00543
13
Brierley A. S. Cox M. J. (2010). Shapes of krill swarms and fish schools emerge as aggregation members avoid predators and access oxygen. Curr. Biol.20, 1758–1762. doi: 10.1016/j.cub.2010.08.041
14
Burns A. L. Schaerf T. M. Lizier J. Kawaguchi S. Cox M. King R. et al . (2022). Self-organization and information transfer in Antarctic krill swarms. Proc. R. Soc. B: Biol. Sci.289, 20212361. doi: 10.1098/rspb.2021.2361
15
Cadée G. C. González H. Schnack-Schiel S. B. (1992). Krill diet affects faecal string settling. Polar Biol.12, 75–80. doi: 10.1007/BF00239967
16
Carpenter-Kling T. Reisinger R. R. Orgeret F. Connan M. Stevens K. L. Ryan P. G. et al . (2020). Foraging in a dynamic environment: Response of four sympatric sub-Antarctic albatross species to interannual environmental variability. Ecol. Evol.10, 11277–11295. doi: 10.1002/ece3.6766
17
Cavan E. Belcher A. Atkinson A. Hill S. L. Kawaguchi S. McCormack S. et al . (2019). The importance of Antarctic krill in biogeochemical cycles. Nat. Commun.10, 4742. doi: 10.1038/s41467-019-12668-7
18
Cavan E. L. Mackay N. Hill S. L. Atkinson A. Belcher A. Visser A. (2024). Antarctic krill sequester similar amounts of carbon to key coastal blue carbon habitats. Nat. Commun.15, 7842. doi: 10.1038/s41467-024-52135-6
19
Clarke A. Morris D. (1983). Towards an energy budget for krill: the physiology and biochemistry of Euphausia superba Dana. Polar Biol.2, 69–86. doi: 10.1007/BF00303172
20
Daly K. L. (1990). Overwintering development, growth, and feeding of larval Euphausia superba in the Antarctic marginal ice zone. Limnology Oceanography35, 1564–1576. doi: 10.4319/lo.1990.35.7.1564
21
David C. L. Schaafsma F. L. van Franeker J. A. Pakhomov E. A. Hunt B. P. Lange B. A. et al . (2021). Sea-ice habitat minimizes grazing impact and predation risk for larval Antarctic krill. Polar Biol.44, 1175–1193. doi: 10.1007/s00300-021-02868-7
22
DeLong J. P. Walsh M. (2016). The interplay between resource supply and demand determines the influence of predation on prey body size. Can. J. Fisheries Aquat. Sci.73, 709–715. doi: 10.1139/cjfas-2015-0029
23
Dodson S. (1988). The ecological role of chemical stimuli for the zooplankton: Predator-avoidance behavior in Daphnia. Limnology oceanography33, 1431–1439. doi: 10.4319/lo.1988.33.6part2.1431
24
Dugatkin L. A. Godin J.-G. J. (1992). Prey approaching predators: a cost-benefit perspective. Annales Zoologici Fennici29, 233–252. Available at: http://www.jstor.org/stable/23735625 (Accessed October 24, 2023).
25
Fields D. M. Yen J. (2002). Fluid mechanosensory stimulation of behaviour from a planktonic marine copepod, Euchaeta rimana Bradford. J. Plankton Res.24, 747–755. doi: 10.1093/plankt/24.8.747
26
Frost B. (1972). Effects of size and concentration of food particles on the feeding behavior of the marine planktonic copepod Calanus pacificus 1. Limnol. Oceanogr.17, 805–815.
27
Gallagher K. L. Dinniman M. S. Lynch H. J. (2023). Examining the connectivity of Antarctic krill on the west Antarctic Peninsula: implications for pygoscelis penguin biogeography and population dynamics. Res. Square [Preprint]. doi: 10.21203/rs.3.rs-2508180/v1
28
Green C. P. Green D. B. Ratcliffe N. Thompson D. Lea M. A. Baylis A. M. et al . (2023). Potential for redistribution of post-moult habitat for Eudyptes penguins in the Southern Ocean under future climate conditions. Global Change Biol.29, 648–667. doi: 10.1111/gcb.16500
29
Gurarie E. Bracis C. Delgado M. Meckley T. D. Kojola I. Wagner C. M. (2016). What is the animal doing? Tools for exploring behavioural structure in animal movements. J. Anim. Ecol.85, 69–84. doi: 10.1111/1365-2656.12379
30
Hadden P. W. Zhang J. (2023). An overview of the penguin visual system. Vision7, 6. Available at: https://www.mdpi.com/2411-5150/7/1/6 (Accessed October 27, 2023).
31
Hamner W. M. Hamner P. P. (2000). Behavior of Antarctic krill (Euphausia superba): schooling, foraging, and antipredatory behavior. Can. J. Fisheries Aquat. Sci.57, 192–202. doi: 10.1139/f00-195
32
Hamner W. M. Hamner P. P. Strand S. W. Gilmer R. W. (1983). Behavior of Antarctic krill, Euphausia superba: chemoreception, feeding, schooling, and molting. Science220, 433–435. doi: 10.1126/science.220.4595.433
33
Handley J. M. Thiebault A. Stanworth A. Schutt D. Pistorius P. (2018). Behaviourally mediated predation avoidance in penguin prey: in situ evidence from animal-borne camera loggers. R. Soc. Open Sci.5, 171449. doi: 10.1098/rsos.171449
34
Harvey E. L. Jeong H. J. Menden-Deuer S. (2013). Avoidance and attraction: Chemical cues influence predator-prey interactions of planktonic protists. Limnology oceanography58, 1176–1184. doi: 10.4319/lo.2013.58.4.1176
35
Hedrick T. L. (2008). Software techniques for two- and three-dimensional kinematic measurements of biological and biomimetic systems. Bioinspiration Biomimetics3, 34001. doi: 10.1088/1748-3182/3/3/034001
36
Henley S. F. Cavan E. L. Fawcett S. E. Kerr R. Monteiro T. Sherrell R. M. et al . (2020). Changing biogeochemistry of the Southern Ocean and its ecosystem implications. Front. Mar. Sci.7, 581. doi: 10.3389/fmars.2020.00581
37
Hoare B. (2009). Animal migration: remarkable journeys in the wild (Oakland, California: University of California Press).
38
Höring F. Teschke M. Suberg L. Kawaguchi S. Meyer B. (2018). Light regime affects the seasonal cycle of Antarctic krill (Euphausia superba): impacts on growth, feeding, lipid metabolism, and maturity. Can. J. Zoology96, 1203–1213. doi: 10.1139/cjz-2017-0353
39
Huntley M. E. Nordhausen W. Lopez M. D. (1994). Elemental composition, metabolic activity and growth of Antarctic krill Euphausia superba during winter. Mar. Ecol. Prog. Ser.107, 23–40. doi: 10.3354/meps107023
40
Ikeda T. Dixon P. (1984). The influence of feeding on the metabolic activity of Antarctic krill (Euphausia superba Dana). Polar Biol.3, 1–9. doi: 10.1007/BF00265561
41
Kawaguchi S. Atkinson A. Bahlburg D. Bernard K. S. Cavan E. L. Cox M. J. et al . (2024). Climate change impacts on Antarctic krill behaviour and population dynamics. Nat. Rev. Earth Environ.5, 43–58. doi: 10.1038/s43017-023-00504-y
42
Kerling C. L. (2007). The efficacy of anti-predator behaviour in the wood fog tadpole (Rana sylvatica). (Masters of Science Thesis). Ontario, Canada: Brock University. Available online at: http://hdl.handle.net/10464/1556.
43
Kiørboe T. Saiz E. Tiselius P. Andersen K. H. (2018). Adaptive feeding behavior and functional responses in zooplankton. Limnology Oceanography63, 308–321. doi: 10.1002/lno.10632
44
Krause D. J. Bonin C. A. Goebel M. E. Reiss C. S. Watters G. M. (2022). The rapid population collapse of a key marine predator in the northern Antarctic Peninsula endangers genetic diversity and resilience to climate change. Front. Mar. Sci.8. doi: 10.3389/fmars.2021.796488
45
Kvile K. Ø. Altin D. Thommesen L. Titelman J. (2021). Predation risk alters life history strategies in an oceanic copepod. Ecology102, e03214. doi: 10.1002/ecy.v102.1
46
Lawson G. L. Wiebe P. H. Ashjian C. J. Stanton T. K. (2008). Euphausiid distribution along the Western Antarctic Peninsula—Part B: distribution of euphausiid aggregations and biomass, and associations with environmental features. Deep-Sea Res. II: Top. Stud. Oceanogr.55, 432–454. doi: 10.1016/j.dsr2.2007.11.014
47
Lima S. L. Dill L. M. (1990). Behavioral decisions made under the risk of predation: a review and prospectus. Can. J. Zoology68, 619–640. doi: 10.1139/z90-092
48
Marquis O. Saglio P. Neveu A. (2004). Effects of predators and conspecific chemical cues on the swimming activity of Rana temporaria. Archiv fur Hydrobiologie, 160.2, 153–170. doi: 10.1127/0003-9136/2004/0160-0153
49
Mead K. S. Koehl M. A. R. O’Donnell M. J. (1999). Stomatopod sniffing: the scaling of chemosensory sensillae and flicking behavior with body size. J. Exp. Mar. Biol. Ecol.241, 235–261. doi: 10.1016/S0022-0981(99)00087-8
50
Meyer B. Auerswald L. Siegel V. Spahić S. Pape C. Fach B. A. et al . (2010). Seasonal variation in body composition, metabolic activity, feeding, and growth of adult krill Euphausia superba in the Lazarev Sea. Mar. Ecol. Prog. Ser.398, 1–18. Available at: https://www.int-res.com/abstracts/meps/v398/p1-18/ (Accessed November 12, 2023).
51
Michelot C. Kato A. Raclot T. Shiomi K. Goulet P. Bustamante P. et al . (2020). Sea-ice edge is more important than closer open water access for foraging Adélie penguins: evidence from two colonies. Mar. Ecol. Prog. Ser.640, 215–230. Available at: https://www.int-res.com/abstracts/meps/v640/p215-230/ (Accessed November 6, 2023).
52
Miller E. Potts J. Cox M. Miller B. Calderan S. Leaper R. et al . (2019). The characteristics of krill swarms in relation to aggregating Antarctic blue whales. Sci. Rep.9, 1–13. doi: 10.1038/s41598-019-52792-4
53
Moffat C. Meredith M. (2018). Shelf–ocean exchange and hydrography west of the Antarctic Peninsula: a review. Philos. Trans. R. Soc. A: Math. Phys. Eng. Sci.376, 20170164. doi: 10.1098/rsta.2017.0164
54
Murphy D. Webster D. Yen J. (2013). The hydrodynamics of hovering in Antarctic krill. Limnology Oceanography: Fluids Environments3, 240–255. doi: 10.1215/21573689-2401713
55
O’Brien D. (1987). Description of escape responses of krill (Crustacea: Euphausiacea), with particular reference to swarming behavior and the size and proximity of the predator. J. Crustacean Biol.7, 449–457. doi: 10.2307/1548294
56
Parry V. Schlägel U. E. Tiedemann R. Weithoff G. (2022). Behavioural responses of defended and undefended prey to their predator; A case study of Rotifera. Biology11, 1217. doi: 10.3390/biology11081217
57
Parsons T. M. Y. Lalli C. (1984). A manual of chemical & biological methods for seawater analysis (Oxford: Pergamon Press).
58
Pauwels K. Stoks R. De Meester L. (2010). Enhanced anti-predator defence in the presence of food stress in the water flea Daphnia magna. Funct. Ecol.24, 322–329. doi: 10.1111/j.1365-2435.2009.01641.x
59
Poulin R. X. Lavoie S. Siegel K. Gaul D. A. Weissburg M. J. Kubanek J. (2018). Chemical encoding of risk perception and predator detection among estuarine invertebrates. Proc. Natl. Acad. Sci.115, 662–667. doi: 10.1073/pnas.1713901115
60
Price H. J. (1989). Swimming behavior of krill in response to algal patches: a mesocosm study. Limnology Oceanography34, 649–659. doi: 10.4319/lo.1989.34.4.0649
61
Price H. J. Boyd K. R. Boyd C. M. (1988). Omnivorous feeding behavior of the Antarctic krill Euphausia superba. Mar. Biol.97, 67–77. doi: 10.1007/BF00391246
62
Riaz J. Bestley S. Wotherspoon S. Cox M. J. Emmerson L. (2023). Spatial link between Adélie penguin foraging effort and krill swarm abundance and distribution. Front. Mar. Sci.10, 63. doi: 10.3389/fmars.2023.1060984
63
Roney S. H. Cepeda M. R. Belgrad B. A. Moore S. G. Smee D. L. Kubanek J. et al . (2023). Common fear molecules induce defensive responses in marine prey across trophic levels. Oecologia202, 655–667. doi: 10.1007/s00442-023-05438-2
64
Roozen F. Lürling M. (2001). Behavioural response of Daphnia to olfactory cues from food, competitors and predators. J. Plankton Res.23, 797–808. doi: 10.1093/plankt/23.8.797
65
Ryabov A. B. Tarling G. A. (2019). Scaling of size, shape and surface roughness in Antarctic krill swarms. ICES J. Mar. Sci.76, 1177–1188. doi: 10.1093/icesjms/fsz005
66
Saunders R. A. Collins M. A. Ward P. Stowasser G. Hill S. L. Shreeve R. et al . (2015). Predatory impact of the myctophid fish community on zooplankton in the Scotia Sea (Southern Ocean). Mar. Ecol. Prog. Ser.541, 45–64. doi: 10.3354/meps11527
67
Savidge D. K. Amft J. A. (2009). Circulation on the West Antarctic Peninsula derived from 6 years of shipboard ADCP transects. Deep-Sea Res. Part I: Oceanogr. Res. Pap.56, 1633–1655. doi: 10.1016/j.dsr.2009.05.011
68
Schnack S. (1985). “Feeding by Euphausia superba and copepod species in response to varying concentrations of phytoplankton,” in Antarctic nutrient cycles and food webs (Springer-Verlag Berlin Heidelberg GmbH: Springer), 311–323.
69
Singarajah K. V. (1975). Escape reactions of zooplankton: Effects of light and turbulence. J. Mar. Biol. Assoc. United Kingdom55, 627–639. doi: 10.1017/S002531540001729X
70
Smetacek V. Scharek R. Nöthig E.-M. (1990). “Seasonal and regional variation in the pelagial and its relationship to the life history cycle of krill,” in Antarctic ecosystems: ecological change and conservation (Springer-Verlag Berlin Heidelberg GmbH: Springer), 103–114.
71
Smith W. O. Nelson D. M. (1986). Importance of ice edge phytoplankton production in the Southern Ocean. BioScience36, 251–257. doi: 10.2307/1310215
72
Snijders L. Krause S. Tump A. N. Breuker M. Ortiz C. Rizzi S. et al . (2021). Causal evidence for the adaptive benefits of social foraging in the wild. Commun. Biol.4, 94. doi: 10.1038/s42003-020-01597-7
73
Strand S. Hamner W. (1990). Schooling behavior of Antarctic krill (Euphausia superba) in laboratory aquaria: reactions to chemical and visual stimuli. Mar. Biol.106, 355–359. doi: 10.1007/BF01344312
74
Strickler J. R. Balázsi G. (2007). Planktonic copepods reacting selectively to hydrodynamic disturbances. Philos. Trans. R. Soc. B: Biol. Sci.362, 1947–1958. doi: 10.1098/rstb.2007.2080
75
Swadling K. M. Ritz D. A. Nicol S. Osborn J. E. Gurney L. J. (2005). Respiration rate and cost of swimming for Antarctic krill, Euphausia superba, in large groups in the laboratory. Mar. Biol.146, 1169–1175. doi: 10.1007/s00227-004-1519-z
76
Tanoue E. Hara S. (1986). Ecological implications of fecal pellets produced by the Antarctic krill Euphausia superba in the Antarctic Ocean. Mar. Biol.91, 359–369. doi: 10.1007/BF00428630
77
Tarling G. A. Fielding S. (2016). “Swarming and behaviour in Antarctic krill,” in Biology and Ecology of Antarctic Krill (Switzerland: Springer International Publishing), 279–319.
78
Tarling G. A. Thorpe S. E. (2017). Oceanic swarms of Antarctic krill perform satiation sinking. Proc. R. Soc. B: Biol. Sci.284, 20172015. doi: 10.1098/rspb.2017.2015
79
Thorvaldsen K. G. Neuenfeldt S. Mariani P. Nielsen J. R. (2023). Hiding in plain sight: predator avoidance behaviour of mesopelagic Maurolicus muelleri during foraging. Mar. Ecol. Prog. Ser.SPF2, SPF2av5. Available at: https://www.int-res.com/abstracts/MEPS/SPF2/p_av5/ (Accessed November 15, 2023).
80
Titelman J. (2001). Swimming and escape behavior of copepod nauplii: implications for predator-prey interactions among copepods. Mar. Ecol. Prog. Ser.213, 203–213. Available at: https://www.int-res.com/abstracts/meps/v213/p203-213/ (Accessed October 25, 2023).
81
Tollrian R. Harvell C. D. (1999). The ecology and evolution of inducible defenses (Chicago, IL, USA: The University of Chicago Press).
82
True A. C. (2014). Ecological engines: Finescale hydrodynamic and chemical cues, zooplankton behavior, and implications for nearshore marine ecosystems (United States – Georgia: Georgia Institute of Technology).
83
Visser A. W. (2007). Motility of zooplankton: fitness, foraging and predation. J. Plankton Res.29, 447–461. doi: 10.1093/plankt/fbm029
84
Walsh J. J. Dieterle D. A. Lenes J. (2001). A numerical analysis of carbon dynamics of the Southern Ocean phytoplankton community: the roles of light and grazing in effecting both sequestration of atmospheric CO2 and food availability to larval krill. Deep Sea Res. Part I: Oceanographic Res. Papers48, 1–48. doi: 10.1016/S0967-0637(00)00032-7
85
Watters G. M. Hinke J. T. Reiss C. S. (2020). Long-term observations from Antarctica demonstrate that mismatched scales of fisheries management and predator-prey interaction lead to erroneous conclusions about precaution. Sci. Rep.10, 2314. doi: 10.1038/s41598-020-59223-9
86
Weissburg M. Smee D. L. Ferner M. C. (2014). The sensory ecology of nonconsumptive predator effects. Am. Nat.184, 141–157. doi: 10.1086/676644
87
Weissburg M. J. Yen J. Fields D. M. (2019). Phytoplankton odor modifies the response of Euphausia superba to flow. Polar Biol.42, 509–516. doi: 10.1007/s00300-018-02440-w
88
Woodson C. McManus M. (2007). Foraging behavior can influence dispersal of marine organisms. Limnology Oceanography52, 2701–2709. doi: 10.4319/lo.2007.52.6.2701
89
Yen J. Weissburg M. J. Doall M. H. (1998). “The fluid physics of signal perception by mate-tracking copepods,” in Philosophical Transactions of the Royal Society of London Series B: Biological Sciences vol. 353. (London, UK: The Royal Society), 787–804.
Summary
Keywords
ingestion rate, chlorophyll, guano, predator interactions, Southern Ocean, krill
Citation
Hellessey N, Weissburg M and Fields DM (2025) Penguin guano suppresses the grazing rate and modifies swimming behavior in Antarctic Krill (Euphausia superba). Front. Mar. Sci. 12:1508287. doi: 10.3389/fmars.2025.1508287
Received
09 October 2024
Accepted
31 January 2025
Published
20 March 2025
Volume
12 - 2025
Edited by
Jose Javier Fernandez, University of La Laguna, Spain
Reviewed by
Jan Marcin Weslawski, Polish Academy of Sciences, Poland
Adriana Rodríguez, University of La Laguna, Spain
Updates
Copyright
© 2025 Hellessey, Weissburg and Fields.
This is an open-access article distributed under the terms of the Creative Commons Attribution License (CC BY). The use, distribution or reproduction in other forums is permitted, provided the original author(s) and the copyright owner(s) are credited and that the original publication in this journal is cited, in accordance with accepted academic practice. No use, distribution or reproduction is permitted which does not comply with these terms.
*Correspondence: Nicole Hellessey, nicole.hellessey@utas.edu.au
†ORCID: Nicole Hellessey, orcid.org/0000-0002-3053-8720; Marc Weissburg, orcid.org/0000-0001-7278-5765; David M. Fields, orcid.org/0000-0002-8291-912X
Disclaimer
All claims expressed in this article are solely those of the authors and do not necessarily represent those of their affiliated organizations, or those of the publisher, the editors and the reviewers. Any product that may be evaluated in this article or claim that may be made by its manufacturer is not guaranteed or endorsed by the publisher.