In the published article, there was an error in Figure 2 and its legend as published. The Figure 2 in the published version lacks the content of Figures 2H–S. The corrected Figure 2 and its legend appear below.
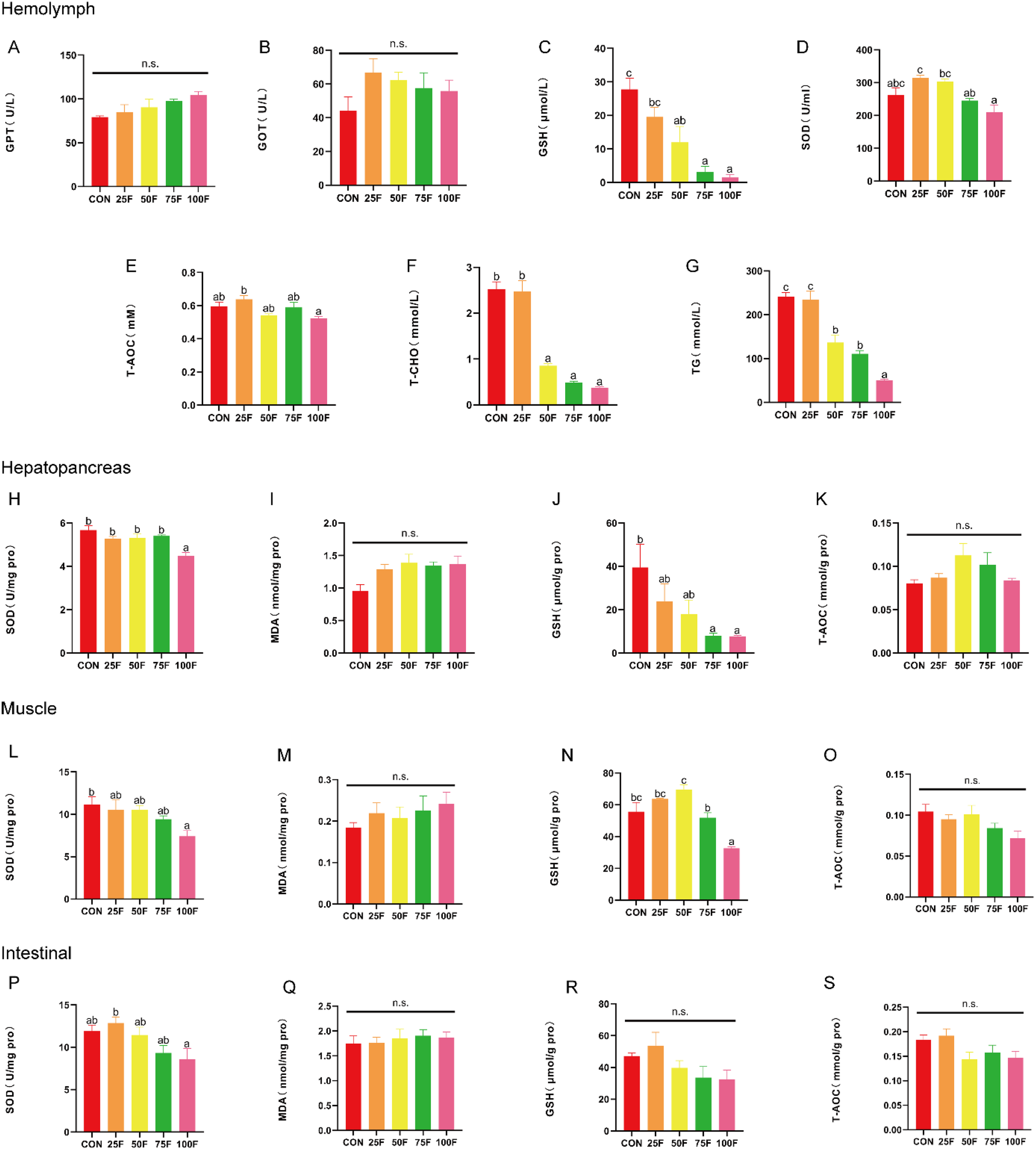
Figure 2

The effects of FSBM substitution on the antioxidant indices in different tissues and the contents of T-CHO and TG in the hemolymph (n = 4). The results are presented as the mean ± S. E. M. and were analyzed with Tukey’s tests [bars bearing the same letters are not significantly different among treatments (P > 0.05)]. The same as below. (A) GPT (glutamic-pyruvic transaminase) activity in the hemolymph; (B) GOT (glutamic oxalacetic transaminase) activity in the hemolymph; (C) GSH (reduced glutathione) content in the hemolymph; (D) SOD (superoxide dismutase) activity in the hemolymph; (E) T-AOC (total antioxidant capacity) activity in the hemolymph; (F) T-CHO (total cholesterol) content in the hemolymph; (G) TG (triacylglycerol) content in the hemolymph; (H) SOD activity in the hepatopancreas; (I) MDA (malondialdehyde) content in the hepatopancreas; (J) GSH content in the hepatopancreas; (K) T-AOC activity in the hepatopancreas; (L) SOD activity in the muscle; (M) MDA content in the muscle; (N) GSH content in the muscle; (O) T-AOC activity in the muscle; (P) SOD activity in the intestinal; (Q) MDA content in the intestinal; (R) GSH content in the intestinal; (S) T-AOC activity in the intestinal. n. s., not significant.
The authors apologize for this error and state that this does not change the scientific conclusions of the article in any way. The original article has been updated.
Statements
Publisher’s note
All claims expressed in this article are solely those of the authors and do not necessarily represent those of their affiliated organizations, or those of the publisher, the editors and the reviewers. Any product that may be evaluated in this article, or claim that may be made by its manufacturer, is not guaranteed or endorsed by the publisher.
Summary
Keywords
antioxidant activity, endoplasmic reticulum stress, fermented soybean meal, immunity, Litopenaeus vannamei
Citation
Chen S, Dai J, Chen Y, Chen Q, Dong F, Wang C, Sun Y, Wang J and Han T (2025) Corrigendum: Effects of Bacillus subtilis-fermented soybean meal replacing fish meal on antioxidant activity, immunity, endoplasmic reticulum stress and hepatopancreas histology in Pacific white shrimp (Litopenaeus vannamei). Front. Mar. Sci. 12:1551241. doi: 10.3389/fmars.2025.1551241
Received
25 December 2024
Accepted
06 January 2025
Published
16 January 2025
Volume
12 - 2025
Edited and reviewed by
Lei Wang, Anhui Normal University, China
Updates
Copyright
© 2025 Chen, Dai, Chen, Chen, Dong, Wang, Sun, Wang and Han.
This is an open-access article distributed under the terms of the Creative Commons Attribution License (CC BY). The use, distribution or reproduction in other forums is permitted, provided the original author(s) and the copyright owner(s) are credited and that the original publication in this journal is cited, in accordance with accepted academic practice. No use, distribution or reproduction is permitted which does not comply with these terms.
*Correspondence: Qiang Chen, chenqiang@zjou.edu.cn; Tao Han, goodhantao@gmail.com
Disclaimer
All claims expressed in this article are solely those of the authors and do not necessarily represent those of their affiliated organizations, or those of the publisher, the editors and the reviewers. Any product that may be evaluated in this article or claim that may be made by its manufacturer is not guaranteed or endorsed by the publisher.