Abstract
Quantifying and analyzing the temporal and spatial variations of cetacean habitats is essential for establishing marine protected areas and preserving natural cetacean populations. Despite its importance, studies focusing on the interannual variability of cetacean habitats remain scarce. This study analyzed sighting records of Sousa chinensis and sea surface temperature (SST) data in the eastern Pearl River Estuary (PRE) from 2009 to 2022. Initially, the spatiotemporal variations in sighting effort and their correlation with SST were examined. Subsequently, the Suitability Index (SI) model was applied to calculate the distribution of S. chinensis habitats across different years and to assess interannual changes in habitat distribution in relation to climate change. The findings revealed that S. chinensis sightings were concentrated within a 227 km² area surrounding Lantau Island in the eastern PRE. The SST where sightings occurred ranged from 15.9°C to 29.8°C, with a strong positive correlation (r = 0.74, P<0.05) between sighting effort and SST. The SI model effectively identified habitat distribution patterns across years, highlighting a continuous decline in the area of suitable habitats (SI ≥ 0.6) from 2009 to 2022. The largest suitable habitat area was recorded in 2012 (a neutral year), while the smallest was observed in 2020 (a La Niña year). During ENSO events, suitable habitats exhibited a northward shift in average latitude. This study introduces novel methodologies for S. chinensis habitat research, supports the development of more effective monitoring strategies, and provides valuable insights for the establishment of marine protected areas.
1 Introduction
The Indo-Pacific humpback dolphin (Sousa chinensis), a species of marine mammal found along the coasts of China, Southeast Asia, and northern Australia, has attracted significant attention due to its ecological importance and vulnerability to anthropogenic pressures (Reeves et al., 2008). Habitats are essential for the species’ feeding, breeding, and social interactions. In recent decades, concerns over the degradation of S. chinensis habitats have grown significantly due to anthropogenic pressures. Urbanization, industrial activities, increased shipping traffic, and pollution have collectively led to habitat loss and fragmentation, resulting in a marked decline in the quality of the dolphins’ living environment (Ross et al., 2010). Along the coastal regions of Chinese waters, studies have identified eight documented populations or subpopulations (Chen et al., 2009; Jefferson and Hung, 2004; Jefferson and Smith, 2016; Xu et al., 2015). Population estimates indicate substantial variation, with approximately 2,500–2,550 individuals recorded in the Pearl River Estuary (PRE) (Chen et al., 2010), several hundred in the northern Beibu Gulf (Chen et al., 2016), and only a few dozen in Xiamen (Chen et al., 2018; Wang et al., 2015) and western Taiwan (Wang et al., 2012). Over the past decade, S. chinensis populations in Chinese coastal waters have experienced notable changes. A study conducted between 2019 and 2023 estimated the non-calf population size to be approximately 446 to 481 individuals (Lin et al., 2024a). This suggests that earlier estimates of around 1,500 individuals may have been overestimated. The study also reported fluctuating annual survival probabilities, ranging from 0.942 to 0.961 for adults and 0.787 to 0.837 for juveniles, indicating potential impacts from human activities during the pandemic period (Lin et al., 2024b). Research from 2015 to 2021 revealed a decline in S. chinensis sighting rates across 73.2% of the surveyed area, with significant decreases in regions like the waters surrounding Neilingding Island and Sanjiao Island (Guo et al., 2022). The study also highlighted that over 82.3% of S. chinensis habitats were outside existing reserves, and 39.7% overlapped with hypoxic zones, emphasizing the need for expanded conservation efforts. Between 2016 and 2018, the estimated abundance of identifiable S. chinensis was 83, with a total population ranging from 353 to 430 individuals (Peng et al., 2020). The study noted strong seasonal variations in S. chinensis abundance and movement patterns, likely linked to environmental factors and prey availability.
These studies often employ methods such as line-transect surveys, photo-identification, and genetic analyses to monitor population health. In the PRE and other coastal areas of southern China, long-term monitoring has revealed fluctuations in population numbers, which have been linked to environmental factors such as distance from shore, water depth, prey availability, and habitat quality (Karczmarski et al., 2016; Wu et al., 2017a; Lin et al., 2021a; Guo et al., 2022). The migratory patterns, social structure, and reproductive behavior of S. chinensis have also been extensively studied to understand how the species adapts to changing environmental conditions (Jefferson and Curry, 2015; Guo et al., 2020; Lin et al., 2022). While numerous studies have investigated the population density and distribution of S. chinensis, limited attention has been given to understanding the interannual variability of its habitat and its relationship with environmental changes. The habitat of S. chinensis is predominantly coastal, comprising shallow and sheltered waters in estuaries, bays, and areas surrounding islands (Dares et al., 2014; Chen et al., 2016; Karczmarski et al., 2016). Research on the habitat of S. chinensis has evolved from basic mapping of distribution to more sophisticated studies investigating the environmental factors that drive habitat use. In previous studies, the kernel density analysis method (KDE) and species distribution models (SDMs) were commonly employed to evaluate the habitat distribution of S. chinensis (Huang et al., 2019; Sahri et al., 2021; Guo et al., 2022; Xiang et al., 2024). Additionally, some researches have studied the relationship between primary productivity, chlorophyll concentration, and the distribution of S. chinensis (Lin et al., 2021; Guo et al., 2022). However, the influence of sea surface temperature (SST) has been rarely explored, despite the strong correlation between SST and primary productivity. SST is a relatively accessible type of remote sensing data. Understanding the relationship between SST and the habitant distribution of S. chinensis could offer new options and certain conveniences for field survey targeting this species.
The Suitability Index (SI) model is widely used in marine species habitat studies to quantify habitat suitability by integrating environmental variables such as water depth, temperature, salinity, and prey availability (Xue et al., 2017; Yu et al., 2019; Feng et al., 2022). By assigning a suitability score to each variable and combining them into a composite index, the SI model identifies optimal habitats and predicts spatial distributions (Alabia et al., 2016). It could reflect habitat quality by quantifying associations between one or more key environmental factors and relevant species abundance or occurrence for a given species. SI model provides a simplified but interpretable approach to assess habitat suitability based on empirical or expert-defined thresholds for key environmental indicators. Research has proved that SI model could perform well when only using one key environmental factor (Yu and Chen, 2021). Therefore, the SI model still has certain applicability in the case of limited environmental data. The application of SI model provides valuable insights into habitat preferences, resource management, and conservation planning, particularly in dynamic ecosystems affected by environmental changes. However, to date, no studies have applied the SI model to investigate the habitat of S. chinensis.
The PRE and its surrounding waters host the largest known population of S. chinensis. This population holds immense significance for the conservation of this species’ valuable resources (Chen et al., 2010; Jefferson and Smith, 2016). Understanding the habitats variation of S. chinensis is of great significance for their resource conservation. In this study, we analyzed the spatial and temporal distribution of S. chinensis over a 14-year period (2009-2022) in the eastern PRE. And by using the SI model, the relationship between S. chinensis habitats and SST was verified. Based on the habitants distribution, we further examined the effects of El Nino and La Nina on S. chinensis. Our study could offer a new scientific perspective and a valuable approach for developing effective monitoring programs, spatial planning, and adaptive management strategies for natural resource conservation.
2 Materials and methods
2.1 Study area and sightings records for Sousa chinensis
The line-transect vessel survey database from Hong Kong Cetacean Research Project was employed in this study. The sighting data used in this research was derived from records dating back to as early as April 2009. (https://www.afcd.gov.hk/tc_chi/conservation/con_mar/con_mar_chi/con_mar_chi_chi/con_mar_chi_chi.html). In general, survey effort was evenly spread throughout the study period, with at least 280 km of survey effort conducted in every month of the year. Totally, 3258 S. chinensis sightings were recorded from April 2009 to December 2022. The Hong Kong 1980 grid coordinate system was projected to the GPS coordinates using a software provided by the Hongkong Lands Department (https://www.geodetic.gov.hk/en/services/tform/tform.aspx) for subsequent analyses. All sighting locations are shown in Figure 1.
Figure 1

Study area and sighting records location. (a) The study area in the eastern Pearl River Estuary in southeast China. (b) The distribution of S. chinensis sightings (red dots) around Lantau Island from 2009 to 2022.
2.2 Data processing
A daily sea surface temperature (SST) dataset with a 0.05° resolution was employed from Copernicus Marine Data Store in this study (https://data.marine.copernicus.eu/). The SST data period and its spatiotemporal resolution was matched with S. chinensis sighting records data by ArcGIS v10.8. On the survey map (Figure 1b), fishnet grips with a cell size of 1×1 km in the study area were created using the ArcMap v10.8 toolbox. By accumulating the sightings frequency, we calculated the sighting effort of each cell from 2009-2022. And the SSTs of each cell were averaged.
In order to explore the suitable habitats’ variability of S. chinensis under climate change, the oceanic Niño index (ONI) was considered to classify climate events. The ONI is a de-facto standard that NOAA uses for classifying El Niño (warm) and La Niña (cool) events in the eastern tropical Pacific. It is the running 3-month mean SST anomaly for the Niño 3.4 region (i.e., 5°N-5°S, 120°-170°W). Events are defined as 5 consecutive overlapping 3-month periods at or above the +0.5° anomaly for warm (El Niño) events and at or below the -0.5 anomaly for cool (La Niña) events (http://ggweather.com/enso/oni.htm). The classification results of climate events from 2009 to 2022 were as follows: El Niño years included 2009, 2014, 2015 and 2018; La Niña years included 2010, 2011, 2016, 2017, 2020, 2021 and 2022; neutral years included 2012, 2013 and 2019.
2.3 Construction of SI models for Sousa chinensis
Generally, the SI is a numerical index ranging from 0 to 1. 0 indicates the most unfavorable habitat, while 1 indicates the most suitable habitat (Song and Zhou, 2010). The observed SI values were determined using the frequency distribution of total sightings effort for SST class interval, which was divided by the maximum frequency value. The SI formula was established as follows:
where was the total sightings effort at a given class interval, was the maximum sightings effort at a certain class interval. The observed SI values were then converted into SI curves based on the statistical or parameterized functional relationships with SST. The SI models were fitted as the following equation (Yu et al., 2019):
where X represents SST, a and b were the estimated model parameters, which were solved with least squares estimate to minimize the residuals between the observed and predicted SI values. Each SI model was statistically tested.
The SI values were categorized into three intervals: SI < 0.4 was considered unsuitable habitat, 0.4 ≤ SI was classified as suitable habitat. For suitable habitat, 0.4 ≤SI< 0.6 was classified as generally suitable habitat, and SI ≥ 0.6 was identified as highly suitable habitat (Yu et al., 2019).
3 Results
3.1 Spatial-temporal variation of Sousa chinensis distribution
From 2009 to 2022, S. chinensis was observed within a 227 km² area surrounding Lantau Island in the eastern PRE (Figure 2a). And there were significant differences between different sighting record grids of sighting efforts and average SST (P<0.05). The average SST of the waters where S. chinensis sightings occurred ranged from 15.9°C to 29.8°C during this period (Figure 2b). The maximum sighting effort in the study area reached 144 observations, while the majority of the sighting efforts were fewer than 10 observations. The average SST in waters with less than 10 sighting efforts was 23.67°C, whereas in waters with more than 100 sighting efforts, the average SST was 25.18°C.
Figure 2

Sighting effort heat map of S. chinensis and the corresponding mean SST from 2009 to 2022. (a) The sighting effort heat map of S. chinensis. (b) The mean SST corresponding to the sighting effort heat map.
As shown in Figure 3, under different months, the correlation analysis revealed a strong positive relationship between sighting effort and SST, with a correlation coefficient of 0.74 (P<0.05). The calculation of sighting frequency for the same months from 2009 to 2022 revealed a monthly trend in sighting effort that initially decreased from January, then increased and peaked in July, and gradually decreased through December. The maximum sighting effort occurred in July and August, with over 300 observations recorded during these months. The monthly average SST of the sighting areas ranged from 17.98°C to 29.03°C, with the average SSTs in July and August being 28.27°C and 28.86°C, respectively.
Figure 3

Monthly sighting frequency cumulative and the corresponding mean SST from 2009 to 2022.
3.2 Construction of SI models for Sousa chinensis
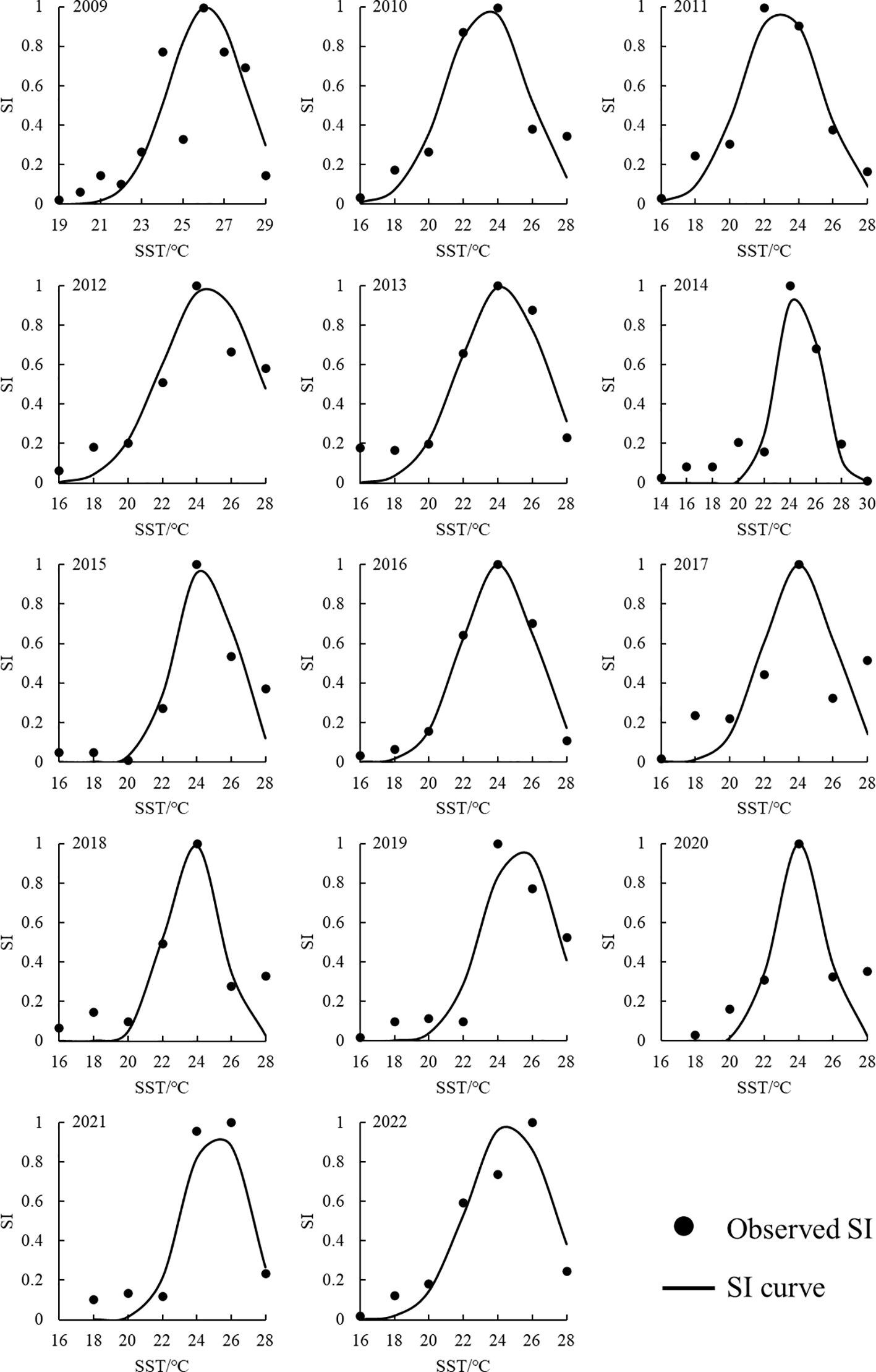
The fitted SI models was established with SST were shown in Table 1 and Figure 4. All the models were statistically significant (P < 0.05) with low Root Mean Square Errors (RMSE) and high correlation coefficients. Furthermore, it was found that the fitted SI curves were basically agreement with the observed SI values (Figure 4).
Table 1
| Year | SI model | R2 | RMSE | P-value |
|---|---|---|---|---|
| 2009 | SI=exp(-0.148×(SST-26.150)2) | 0.685 | 0.188 | <0.05 |
| 2010 | SI=exp(-0.092×(SST-23.342)2) | 0.890 | 0.111 | <0.05 |
| 2011 | SI=exp(-0.096×(SST-22.970)2) | 0.937 | 0.087 | <0.05 |
| 2012 | SI=exp(-0.068×(SST-24.722)2) | 0.853 | 0.117 | <0.05 |
| 2013 | SI=exp(-0.083×(SST-24.274)2) | 0.919 | 0.095 | <0.05 |
| 2014 | SI=exp(-0.194×(SST-24.673)2) | 0.920 | 0.091 | <0.05 |
| 2015 | SI=exp(-0.173×(SST-24.498)2) | 0.876 | 0.116 | <0.05 |
| 2016 | SI=exp(-0.112×(SST-24.045)2) | 0.989 | 0.038 | <0.05 |
| 2017 | SI=exp(-0.123×(SST-24.006)2) | 0.474 | 0.210 | <0.05 |
| 2018 | SI=exp(-0.212×(SST-23.752)2) | 0.800 | 0.135 | <0.05 |
| 2019 | SI=exp(-0.118×(SST-25.249)2) | 0.869 | 0.131 | <0.05 |
| 2020 | SI=exp(-0.253×(SST-24.047)2) | 0.754 | 0.152 | <0.05 |
| 2021 | SI=exp(-0.159×(SST-25.113)2) | 0.929 | 0.105 | <0.05 |
| 2022 | SI=exp(-0.088×(SST-24.695)2) | 0.869 | 0.122 | <0.05 |
SI models for S. chinensis from 2009 to 2022.
Figure 4

Suitability index (SI) curve of SST for S. chinensis from 2009 to 2022.
3.3 Habitant interannual variability of Sousa chinensis
As shown in Figures 5, 6, the statistical results indicated that there were significant differences in the patch number and area of habitats between different years both in highly suitable and unsuitable habitats (P < 0.05). For the highly suitable habitats (SI ≥ 0.6), there was a continuous downward trend in both the area and patch numbers for S. chinensis from 2009 to 2022. The maximum total area of highly suitable habitats was 129.30 km² in 2012, while the minimum was 9.08 km² in 2020. Conversely, the area of unsuitable habitats (SI < 0.4) exhibited an upward trend with the minimum area of unsuitable habitats was 84.59 km² in 2011, and the maximum reached 371.48 km² in 2020.
Figure 5

The area and patches of unsuitable habitant of S. chinensis from 2009-2022 (SI ≤ 0.4).
Figure 6

The area and patches of highly suitable habitant of S. chinensis from 2009-2022 (SI≥0.6).
The habitat spatial distribution from 2009 to 2022 was presented in Figure 7. Before 2013, numerous small patches of high suitable habitats were observed. However, after 2013, the number of these patches rapidly declined, leading to a corresponding reduction in the total area of high suitable habitats. Concurrently, degraded high suitable habitats transitioned into unsuitable habitats, with previously smaller, discrete patches of unsuitable habitats merging into larger ones. Consequently, the area of unsuitable habitats increased, while the number of patches decreased. Notably, the area of highly suitable habitats in the northern waters of Lantau Island significantly diminished. From 2014 onward, as the total area of high suitable habitats continued to decline, smaller patchy habitats further degraded, and the highly suitable habitats in the northern waters of Lantau Island experienced further reduction. By 2019, highly suitable habitats in waters north of 22°20′ had almost entirely disappeared. Despite the overall decline in suitable habitat, the western waters of Lantau Island consistently remained a highly suitable habitat range for S. chinensis, aligning with survey results from 2009 to 2022.
Figure 7

The spatial distribution of S. chinensis habitants from 2009-2022. The contours include SI=0.4 and SI=0.6.
3.4 Interannual variability of high suitable habitant under climate change
To evaluate the influence of climate change on the suitable habitat of S. chinensis, the spatial distribution of highly suitable habitats (SI ≥ 0.6) was analyzed under varying climatic conditions (Figure 8). Between 2009 and 2022, the largest suitable habitat area was recorded in the neutral year of 2012, while the smallest area was observed in the La Niña year of 2020. During El Niño years, the average area of highly suitable habitats was 57.05 km², with an average of 8 habitat patches. In La Niña years, the corresponding averages were 51.54 km² and 9 patches. Neutral years exhibited the highest values, with an average habitat area of 72.15 km² and 11 patches. Although statistical results indicated that the habitat area and numbers have on no significant difference (Supplementary Figure S1), there was a notable reduction in both the area and the number of patches of highly suitable habitats during ENSO events compared to neutral years. Additionally, the average latitude of highly suitable habitats during El Niño years was 22.267°N, while in La Niña years, it was 22.269°N. In neutral years, the average latitude was slightly lower at 22.252°N (Supplementary Figure S1). This suggests a northward shift in suitable habitat during ENSO events, despite the mean latitude showed no statistically significant differences.
Figure 8

The suitable habitants (SI≥0.6) spatial distribution of S. chinensis under different climate events from 2009-2022.
4 Discussion
S. chinensis is a key marine mammal in the coastal ecosystems of the PRE in southern China, which is significantly affected by environmental changes. Over recent decades, significant anthropogenic pressures have altered the physical and ecological characteristics of the estuary. Therefore, the spatial distribution of S. chinensis is essential for effective conservation planning. Several modeling approaches have been employed to delineate suitable habitats of cetacean. For example, Lin et al. (2022a) used MaxEnt to predict suitable habitats for S. chinensis in the PRE under different salinity and turbidity regimes. Wu et al. (2017b) applied KDE to aerial survey data in the northern Beibu Gulf to delineate core areas of dolphin activity and overlap with shipping lanes. SDMs, such as MaxEnt, and Generalized Additive Models (GAMs), utilize environmental covariates and occurrence records to generate probabilistic predictions of suitable habitats. These models are particularly powerful for species with large ranges and small sample sizes (Elith and Leathwick, 2009; Lin et al., 2022b). KDE, in contrast, is a non-parametric method used to identify spatial hotspots based solely on sighting locations or movement data. It has been widely applied to delineate high-use areas and core zones for marine mammal populations but lacks integration with environmental variables and thus provides limited ecological inference (Wu et al., 2017b; Huang et al., 2019). This study revealed the correlation between the sighting effort of S. chinensis and SST in the eastern PRE. Based on the sighting effort and SST data, SI model was firstly used to calculate the habitat distribution of S. chinensis from 2009 to 2021, and analyzed the interannual variability of habitat with climate change. SI model scores habitat based on expert-defined or empirically-derived suitability thresholds for each environmental variable, resulting in a composite index of habitat quality. To be able to build a plausible habitat suitability model, we carefully analyzed data, performed predictor quality control (e.g. data resampling and matching). Moreover, we have carefully evaluated the model outputs and their ecological relevance. Even though, previous studies have demonstrated that SST is a crucial factor influencing the distribution of marine mammals, including the S. chinensis, we recognized the potential limitations of this approach and the risk of oversimplification. Future studies should explore more complex models if sufficient data are available. While despite the aforementioned limitations, our results still provide valuable insights into habitat suitability trends of S. chinensis.
This study revealed that S. chinensis activities exhibited monthly and seasonal difference, with maximum sighting effort occurred between June and July and minimum occurred between February and April. Similar patterns were also reported by previous researches. In the Modaomen Estuary (Western PRE), acoustic monitoring observed seasonal variation in the occurrence of S. chinensis, in which higher detection rates were found during the spring and summer compared to the autumn and winter (Fang et al., 2020). While in the Hsinhuwei River estuary in Taiwan, seasonal variations in the acoustic dolphin detection rate were correlated with estuary runoff, positively in the dry season with lower levels of runoff but negatively in the wet season with much higher levels of runoff (Lee, 2016). Similarly, Lin et al. (2021), found that the S. chinensis sighting rate and foraging activity increased in spring, and maintained until heavy rainfall or increased river runoff occurred during late summer. Analysis suggests that the substantial river runoff during the wet season, particularly during typhoon periods, increases water turbidity, subsequently affecting prey abundance near the river mouth. These alterations contribute to the seasonal distribution gradient of S. chinensis (Lin et al., 2021).
SST is a key factor influencing the distribution of marine species, including cetaceans. Research has found that since 2014, Hong Kong waters have experienced more prolonged and frequent marine heat waves, with a significant reduction of core habitat of S. chinensis by 26%, and changes in SST drove shifts in S. chinensis distribution (Xiang et al., 2024). Consistent with these findings, this study observed a significant decline in suitable habitats for S. chinensis after 2013. Rising SSTs, driven by global warming, have several ecological consequences (Hazen et al., 2013, 2019). Warmer waters can shift fish distribution, altering prey availability for dolphins (Santora et al., 2020). In the Hsinhuwei estuary, increased temperatures enhanced chlorophyll-a concentrations and primary production, attracting more prey and subsequently more S. chinensis (Lin et al., 2021). SST regulates the distribution of prey species, such as fish and invertebrates, which are critical for the dolphins’ diet. The analysis of stomach contents of S. chinensis shown that lionfish, stonefish, and yellow croaker were the main food resources for dolphins (Jefferson and Karczmarski, 2001). Changes in SST can, therefore, directly influence the availability of food resources in the estuary and adjacent waters, thereby affecting the spatial and temporal distribution of S. chinensis. In particular, temperature-sensitive species may move to cooler, deeper waters, forcing S. chinensis to adjust its foraging behavior and range (Morato et al., 2020). Such changes in prey availability could result in increased competition for food, further straining the already vulnerable dolphin population. This study also found that ENSO events caused a northward shift in the average latitude of suitable habitats. Moreover, the direct effects of increased SST on the dolphins themselves should not be overlooked. Elevated temperatures can affect the health and reproductive success of marine mammals, including changes in metabolic rates, growth, and survival. While S. chinensis is a relatively hardy species, the long-term impacts of warming waters could lead to increased stress, reduced reproductive rates, and higher mortality, especially if these changes coincide with other environmental stressors such as habitat loss and pollution (Wild et al., 2019; Mann et al., 2021).
Beyond SST, climate change has broader ecological impacts. In the PRE, a study analyzing summer ichthyoplankton data from 2003 to 2018 investigated the effects of climate variability on fish larvae and eggs in the PRE (Li et al., 2023). The findings revealed that fish larvae abundance and diversity were positively correlated with the Oceanic Niño Index (ONI), with abundance changes lagging approximately three months behind climate variations. Notably, a climatic shift from a “cold” to a “warm” state in the early 2010s corresponded with significant changes in ichthyoplankton abundance and species composition. During La Niña conditions, a reduction in ichthyoplankton abundance and a constrained seaward distribution were observed, suggesting that climate-induced alterations in river discharge and estuarine environments affect ichthyoplankton dynamics. These changes were especially important because the S. chinensis relies heavily on small, estuarine-associated fish species such as mullets and sciaenids for foraging. Disruptions to prey abundance and distribution due to climate anomalies can significantly affect S. chinensis health and habitat use. Study also suggested that the emergence of hypoxic zones might have a negative impact on S. chinensis habitats, as S. chinensis habitats in the hypoxic zone declined faster than those in the non-hypoxic zone (Guo et al., 2022). Investigations conducted in July 2021 during the summer hypoxia period revealed extensive hypoxic zones (dissolved oxygen ≤ 2 mg/L) in the PRE (Lai et al., 2024). The study documented varied responses among demersal fish species to hypoxic conditions, with some species being sensitive and others more tolerant. Cetaceans are not directly affected by hypoxia because they are air-breathing species. However, the occurrence of hypoxia usually directly affects the survival of demersal fish, which indirectly influences dolphins whose main food source is fish (Craig et al., 2001). Dissolved oxygen levels emerged as the primary factor influencing fish community diversity, underscoring the importance of maintaining adequate oxygen levels for the health of fish populations and the overall estuarine ecosystem. Climate change may aggravate the decline of dissolved oxygen concentrations in most of the bay, estuary, and adjacent sea areas by rising temperature which would lead to an increase in the occurrence and intensity of hypoxic conditions (Breitburg et al., 2018). The effects of climate change on S. chinensis are also compounded by human-induced stressors. The PRE is one of the most industrialized and densely populated regions in China, and the dolphins face numerous threats, including habitat loss due to urban development, ship strikes, pollution, and overfishing (Karczmarski et al., 2016). These stressors can interact with climate-related changes, exacerbating the vulnerability of the species. Pollution from industrial activities, particularly heavy metals and plastic waste, further compounds the challenges, making it difficult for the dolphins to thrive even in areas that might otherwise be suitable habitats (Gui et al., 2017; Chan and Karczmarski, 2019; Guo et al., 2022). Moreover, reduced prey availability due to overfishing and mariculture could further strain the dolphins’ ability to adapt to changing environmental conditions.
While boat-based survey method is often used to carry out long-term monitoring of marine mammals. Visual surveys are limited to periods of good visibility including good weather and daylight hours. Thus, an increasing number of manpower-efficient and cost-effective methods are being adopted in cetacean research and conservation efforts, including passive acoustic monitoring (PAM) based on buoys (Fang et al., 2020; Liu et al., 2022). PAM enables the collection of continuous data over large spatial and temporal scales, independent of adverse weather and visual conditions. However, the deployment of these instruments often relies on visual observation data as a foundation (Fang et al., 2020). And considering the maintenance and power supply, buoy systems are generally designed as low computing power platforms. Therefore, the data collection decision of the visual system has a significant impact on the endurance of the buoy. The findings of this study on the distribution and variation of suitable habitats for S. chinensis based on SST could provide a reliable reference for selecting deployment sites for PAM buoys, facilitating the development of more rational and efficient experimental protocols for researchers to obtain essential data (Lin et al., 2021).
5 Conclusion
Based on the sighting records and SST data, this study analyzed the relationship between SST and the spatial and temporal distribution of sighting efforts for S. chinensis. Additionally, the SI model was used to calculate the habitat distribution of S. chinensis in the eastern PRE for the first time. The results revealed a strong correlation between SST and sighting effort. And from 2009 to 2022, the area of suitable habitats for S. chinensis declined continuously. Climate change has had a negative impact on the suitable habitats of S. chinensis, with a significant reduction in both the area and number of high-suitability habitat patches during ENSO events compared to neutral years. The findings of this study provide new methodologies and perspectives for habitat research on S. chinensis. SST and climate change should be taken into account when developing conservation strategies for S. chinensis.
Statements
Data availability statement
The datasets presented in this study can be found in online repositories. The names of the repository/repositories and accession number(s) can be found in the article/Supplementary Material.
Author contributions
SW: Conceptualization, Data curation, Formal Analysis, Methodology, Writing – original draft, Writing – review & editing. GL: Funding acquisition, Writing – review & editing. YZ: Visualization, Writing – review & editing. JC: Visualization, Writing – review & editing. HY: Visualization, Writing – review & editing.
Funding
The author(s) declare that financial support was received for the research and/or publication of this article. This work was supported by the Hainan Provincial Science and Technology Plan Sanya Yazhou Bay Science and Technology City Science and Technology Innovation Joint Project (grant number 2021CXLH0004); the Laoshan Laboratory Technology Innovation Project (grant number: LSKJ202201801); the National Key R&D Program of China (grant number: 2023YFD2401304); the National Natural Science Foundation of China (grant number: 32073026).
Acknowledgments
We thank the Hong Kong Cetacean Research Project for their public dataset.
Conflict of interest
The authors declare that the research was conducted in the absence of any commercial or financial relationships that could be construed as a potential conflict of interest.
Generative AI statement
The author(s) declare that no Generative AI was used in the creation of this manuscript.
Publisher’s note
All claims expressed in this article are solely those of the authors and do not necessarily represent those of their affiliated organizations, or those of the publisher, the editors and the reviewers. Any product that may be evaluated in this article, or claim that may be made by its manufacturer, is not guaranteed or endorsed by the publisher.
Supplementary material
The Supplementary Material for this article can be found online at: https://www.frontiersin.org/articles/10.3389/fmars.2025.1566086/full#supplementary-material
Supplementary Figure 1The statistical of suitable habitants’ distribution of S. chinensis under different climate events from 2009-2022.
References
1
Alabia I. D. Saitoh S. I. Hirawake T. Igarashi H. Ishikawa Y. Usui N. et al . (2016). Elucidating the potential squid habitat responses in the central North Pacific to the recent ENSO flavors. Hydrobiologia.772, 215–227. doi: 10.1007/s10750-016-2662-5
2
Breitburg D. Levin L. A. Oschlies A. Gregoire M. Chavez F. P. Conley D. J. et al . (2018). Declining oxygen in the global ocean and coastal waters. Science359, eaam7240. doi: 10.1126/science.aam7240
3
Chan S. C. Y. Karczmarski L. (2019). Epidermal lesions and injuries of coastal dolphins as indicators of ecological health. EcoHealth.16, 576–582. doi: 10.1007/s10393-019-01428-0
4
Chen B. Y. Gao H. Jefferson T. A. Lu Y. Wang L. Li S. S. et al . (2018). Survival rate and population size of Indo Pacific humpback dolphins (Sousa chinensis) in Xiamen Bay, China. Mar. Mammal. Sci.34, 1018–1033. doi: 10.1111/mms.12510
5
Chen T. Hung S. K. Qiu Y. Jia X. Jefferson T. A. (2010). Distribution, abundance, and individual movements of Indo-Pacific humpback dolphins (Sousa chinensis) in the Pearl River Estuary, China. Mammalia74, 117–125. doi: 10.1515/mamm.2010.024
6
Chen B. Y. Xu X. R. Jefferson T. A. Olson P. A. Qin Q. R. Zhang H. K. et al . (2016). Conservation status of the Indo-Pacific humpback dolphin (Sousa chinensis) in the northern Beibu Gulf, China. Adv. Mar. Biol.73, 19–139. doi: 10.1016/bs.amb.2015.10.001
7
Chen B. Zheng D. Yang G. Xu X. Zhou K. (2009). Distribution and conservation of the Indo–Pacific humpback dolphin in China. Integr. Zool.4, 240–247. doi: 10.1111/j.1749-4877.2009.00160.x
8
Craig J. K. Crowder L. B. Gray C. D. McDaniel C. J. Henwood T. A. Hanifen J. G. (2001). Ecological effects of hypoxia on fish, sea turtles, andMarine mammals in the northwestern gulf of Mexico. Coastal hypoxia: Consequences living Resour. ecosystems.58, 269–291. doi: 10.1029/CE058p0269
9
Dares L. E. Hoffman J. M. Yang S. C. Wang J. Y. (2014). Short note: habitat characteristics of the critically endangered Taiwanese humpback dolphins (Sousa chinensis) of the Eastern Taiwan Strait. Aquat. Mamm.40, 368–374. doi: 10.1578/AM.40.4.2014.368
10
Elith J. Leathwick J. R. (2009). Species distribution models: Ecological explanation and prediction across space and time. AREES.40, 677–697. doi: 10.1146/annurev.ecolsys.110308.120159
11
Fang L. Lin W. Guo L. Cai H. Pine M. K. Wu Y. (2020). Monitoring indo-pacific humpback dolphin occurrences in a highly urbanized estuary for informing conservation and management. Aquat. Conservation: Mar. Freshw. Ecosyst.31, 685–695. doi: 10.1002/aqc.3475
12
Feng Z. Yu W. Zhang Y. Li Y. Chen X. (2022). Habitat variations of two commercially valuable species along the Chilean waters under different-intensity el niño events. Front. Mar. Sci.9. doi: 10.3389/fmars.2022.919620
13
Gui D. Yu R. Q. Karczmarski L. Ding Y. Zhang H. Sun Y. (2017). Spatiotemporal trends of heavy metals in indo-pacific humpback dolphins (Sousa chinensis) from the Western pearl river estuary, China. Environ. Sci. Technol.51, 1848–1858. doi: 10.1021/acs.est.6b05566
14
Guo L. Lin W. Zeng C. Luo D. Wu Y. (2020). Investigating the age composition of indo-pacific humpback dolphins in the pearl river estuary based on their pigmentation pattern. Mar. Biol.167, 50. doi: 10.1007/s00227-020-3650-x
15
Guo L. Luo D. Yu R. Q. Zeng C. Huang N. Wang H. et al . (2022). Habitat decline of the largest known Indo-Pacific humpback dolphin (Sousa chinensis) population in poorly protected areas associated with the hypoxic zone. Front. Mar. Sci.9. doi: 10.3389/fmars.2022.1048959
16
Hazen E. L. Abrahms B. Brodie S. Carroll G. Jacox M. G. Savoca M. S. et al . (2019). Marine cetaceans as climate and ecosystem sentinels. Front. Ecol. Environ.17, 565–574. doi: 10.1002/fee.2125
17
Hazen E. L. Jorgensen S. Rykaczewski R. R. Bograd S. Foley D. G. Jonsen I. D. et al . (2013). Predicted habitat shifts of Pacific cetaceans in a changing climate. Nat. Clim. Change3, 234–238. doi: 10.1038/nclimate1686
18
Huang J. S. Wu Y. Wang J. Y. (2019). Habitat use and potential human impacts on Indo-Pacific humpback dolphins in the northern Beibu Gulf. Mar. Ecol. Prog. Ser.620, 199–213. doi: 10.3354/meps12979
19
Jefferson T. A. Curry B. E. (2015). Humpback dolphins: A brief introduction to the genus sousa. Adv. Mar. Biol.72, 1–16. doi: 10.1016/bs.amb.2015.04.001
20
Jefferson T. A. Hung S. K. (2004). A review of the status of the Indo-Pacific humpback dolphin (Sousa chinensis) in Chinese waters. Aquat. Mamm.30, 149–158. doi: 10.1578/AM.30.1.2004.149
21
Jefferson T. A. Karczmarski L. (2001). Sousa chinensis. Mamm. species2001, 1–9. doi: 10.2307/0.655.1
22
Jefferson T. A. Smith B. D. (2016). Re-assessment of the conservation status of the indo-pacific humpback dolphin (Sousa chinensis) using the IUCN red list criteria. Adv. Mar. Biol.73, 1–26. doi: 10.1016/bs.amb.2015.04.002
23
Karczmarski L. Huang S. L. Or C. K. Gui D. Chan S. C. Lin W. et al . (2016). Humpback dolphins in Hong Kong and the Pearl River Delta: Status, threats and conservation challenges. Adv. marine Biol.73, 27–64. doi: 10.1016/bs.amb.2015.09.003
24
Lai H. Bi S. Yi H. D. Li H. Y. Wei X. C. Wang G. P. et al . (2024). Characteristics of demersal fish community structure during summer hypoxia in the Pearl River Estuary, China. Ecol. Evol.14 (7), e11722. doi: 10.1002/ece3.11722
25
Lee C. Y. (2016). Passive acoustic monitoring on activity patterns of indo-pacific humpback dolphins (Sousa chinensis) in an estuary. National Taiwan University, Taiwan.
26
Li S. F. He J. G. Lai Z. G. (2023). The interannual variations of summer ichthyoplankton in the pearl river estuary as a response to climate change. J. Mar. Sci. Eng.1, 209. doi: 10.3390/jmse11010209
27
Lin W. Z. Chen S. L. Liu B. S. Zheng R. Q. Serres A. Lin M. L. et al . (2024a). Survival and population size of the Indo-Pacific humpback dolphins off the eastern Leizhou Peninsula. Mar. Mammal. Sci.41 (1), e13156. doi: 10.1111/mms.13156
28
Lin W. Z. Karczmarski L. Chan S. C.Y. Zheng R. Q. Ho Y. W. Mo Y. Q. et al . (2024b). Population parameters and heterogeneity in survival rates of Indo-Pacific humpback dolphins in a heavily urbanized coastal region of southeast China: implications for conservation. Front. Mar. Sci.11, 1252661. doi: 10.3389/fmars.2024.1252661
29
Lin M. L. Liu M. M. Lek S. Dong L. J. Zhang P. J. Gozlan R. E. et al et al . (2021). Modelling habitat suitability of the indo-pacific humpback dolphin using artificial neural network: The influence of shipping. Ecol. Inf.62, 101274. doi: 10.1016/j.ecoinf.2021.101274
30
Lin T. Zhang J. Chen B. Wang D. (2022a). Modeling the distribution of Indo-Pacific humpback dolphins (Sousa chinensis) under changing salinity and turbidity in the Pearl River Estuary. Ecol. Model.469, 109993. doi: 10.1016/j.ecolmodel.2022.109993
31
Lin W. Zheng R. Liu B. Chen S. Lin M. Liu M. et al . (2022b). Low survivals and rapid demographic decline of a threatened estuarine delphinid. Front. Mar. Sci.9. doi: 10.3389/fmars.2022.782680
32
Liu M. Lin M. Dong L. Caruso F. Li S. (2022). An integrated strategy for monitoring cetaceans in data-poor regions. Biol. Conserv.272, 109648. doi: 10.1016/j.biocon.2022.109648
33
Mann J. Foroughirad V. McEntee M. H. F. Miketa M. Evans T. C. Karniski C. et al . (2021). Elevated calf mortality and long-term responses of wild bottlenose dolphins to extreme climate events: impacts of foraging specialization and provisioning. Front. Mar. Sci.8, 617550. doi: 10.3389/fmars.2021.617550
34
Morato T. González-Irusta J. M. Dominguez-Carrió C. Wei C. L. Davies A. Sweetman A. K. et al . (2020). Climate-induced changes in the suitable habitat of cold-water corals and commercially important deep-sea fishes in the North Atlantic. Glob. Change. Biol.26, 2181–2202. doi: 10.1111/gcb.14996
35
Peng C. Wu H. Wang X. Zhu Q. Jefferson T. A. Wang C. C. et al . (2020). Abundance and residency dynamics of the Indo-Pacific humpback dolphin, Sousa chinensis, in the Dafengjiang River Estuary, China. Mar. Mammal. Sci.36 (2), 632–637. doi: 10.1111/mms.12663
36
Reeves R. Dalebout M. Jefferson T. Karczmarski L. Laidre K. O’Corry-Crowe G. et al . (2008). Sousa chinensis. The IUCN Red List of Threatened Species 2008: e.T20424A9197694. Available online at: http://www.iucnredlist.org/details/20424/0.
37
Ross P. S. Dungan S. Z. Hung S. K. Jefferson T. A. Macfarquhar C. Perrin W. F. et al . (2010). Averting the baiji syndrome: conserving habitat for critically endangered dolphins in Eastern Taiwan Strait. Aquat. Conserv. Mar. Freshw. Ecosyst.20, 685–694. doi: 10.1002/aqc.1141
38
Sahri A. Putra M. I. H. Mustika P. L. K. et al . (2021). Cetacean habitat modelling to inform conservation management, marine spatial planning, and as a basis for anthropogenic threat mitigation in Indonesia. Ocean. Coast. Manage.205, 105555. doi: 10.1016/j.ocecoaman.2021.105555
39
Santora J. A. Mantua N. J. Schroeder I. D. et al . (2020). Habitat compression and ecosystem shifts as potential links between marine heatwave and record whale entanglements. Nat. Commun.11, 536. doi: 10.1038/s41467-019-14215-w
40
Song L. Zhou Y. (2010). Developing an integrated habitat index for bigeye tuna (Thunnus obesus) in the Indian Ocean based on longline fisheries data. Fish. Res.105, 63–74. doi: 10.1016/j.fishres.2010.03.004
41
Wang X. Wu F. Turvey S. T. Rosso M. et al . (2015). Social organization and distribution patterns inform conservation management of a threatened Indo-Pacific humpback dolphin population. J. Mammal.96, 964–971. doi: 10.1093/jmammal/gyv097
42
Wang J. Y. Yang S. C. Fruet P. F. Daura-Jorge F. G. Secchi E. R. (2012). Mark-recapture analysis of the critically endangered Eastern Taiwan Strait population of Indo-Pacific humpback dolphins (Sousa chinensis): Implications for conservation. B. Mar. Sci.88, 885–902. doi: 10.5343/bms.2010.1097
43
Wild S. Krützen M. Rankin R. W. et al . (2019). Long-term decline in survival and reproduction of dolphins following a marine heatwave. Curr. Biol.29, 239–240. doi: 10.1016/j.cub.2019.02.047
44
Wu H. Jefferson T. A. Peng C. Liao Y. Huang H. Lin M. et al . (2017b). Distribution and habitat characteristics of the indo-pacific humpback dolphin (Sousa chinensis) in the northern beibu gulf, China. Aquat. Mamm.43, 219–228. doi: 10.1578/AM.43.2.2017.219
45
Wu Y. Wang J. Y. Ding W. Zhu Q. (2017a). Spatial distribution and conservation implication of Chinese white dolphins in the Beibu Gulf. Aquat. Mamm.43, 412–422. doi: 10.1578/AM.43.4.2017.412
46
Xiang Z. Li T. Wang X. et al . (2024). Distribution shifts in Indo-Pacific humpback dolphins and the co-occurrence of marine heatwaves. Rev. Fish Biol. Fisheries34, 1035–1050. doi: 10.1007/s11160-024-09854-2
47
Xu X. Song J. Zhang Z. Li P. Yang G. Zhou K. (2015). The world′s second largest population of humpback dolphins in the waters of Zhanjiang deserves the highest conservation priority. Sci. Rep.5, 1–9. doi: 10.1038/srep08147
48
Xue Y. Guan L. Tanaka K. et al . (2017). Evaluating effects of rescaling and weighting data on habitat suitability modeling. Fish. Res.188, 84–94. doi: 10.1016/j.fishres.2016.12.001
49
Yu W. Chen X. (2021). Habitat suitability response to sea-level height changes: Implications for Ommastrephid squid conservation and management. Aquaculture Fisheries.6, 309–320. doi: 10.1016/j.aaf.2020.06.001
50
Yu W. Chen X. J. Zhang Y. Yi Q. (2019). Habitat suitability modelling revealing environmental-driven abundance variability and geographical distribution shift of winter–spring cohort of neon flying squid Ommastrephes bartrami in the northwest Pacific Ocean. ICES. J. Mar. Sci.76, 1722–1735. doi: 10.1093/icesjms/fsz051
Summary
Keywords
Sousa chinensis , sighting effort, habitant distribution, sea surface temperature, climate change, pearl river estuary
Citation
Wan S, Li G, Zhang Y, Cheng J and Yang H (2025) Interannual variability of Indo-Pacific humpback dolphin (Sousa chinensis) habitats in the Eastern Pearl River Estuary, China. Front. Mar. Sci. 12:1566086. doi: 10.3389/fmars.2025.1566086
Received
24 January 2025
Accepted
10 April 2025
Published
02 May 2025
Volume
12 - 2025
Edited by
Xian Sun, Sun Yat-sen University, China
Reviewed by
Ajit Kumar Mohanty, Indira Gandhi Centre for Atomic Research (IGCAR), India
Shuhao Liu, Ministry of Natural Resources, China
Updates
Copyright
© 2025 Wan, Li, Zhang, Cheng and Yang.
This is an open-access article distributed under the terms of the Creative Commons Attribution License (CC BY). The use, distribution or reproduction in other forums is permitted, provided the original author(s) and the copyright owner(s) are credited and that the original publication in this journal is cited, in accordance with accepted academic practice. No use, distribution or reproduction is permitted which does not comply with these terms.
*Correspondence: Shujie Wan, wanshujie@fmiri.ac.cn; Guodong Li, liguodong@fmiri.ac.cn
Disclaimer
All claims expressed in this article are solely those of the authors and do not necessarily represent those of their affiliated organizations, or those of the publisher, the editors and the reviewers. Any product that may be evaluated in this article or claim that may be made by its manufacturer is not guaranteed or endorsed by the publisher.