In the published article, there was an error in the legends for Figure 4 and Figure 5. The figures themselves are in the correct order, but their legends were reversed. The corrected legends appear below.
The correct legend for Figure 4 is:
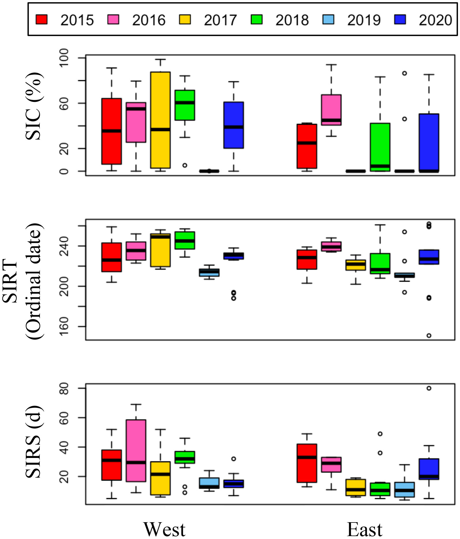
Figure 4

Annual variations of 7 days average sea ice concentration prior to sampling period, sea ice retreat timing (SIRT), and sea ice retreat speed (SIRS) in the east and the west sides of the NCESS during the cruises.
“Annual variations of 7 days average sea ice concentration prior to sampling period, sea ice retreat timing (SIRT), and sea ice retreat speed (SIRS) in the east and the west sides of the NCESS during the cruises.”
The correct legend for Figure 5 is:
Figure 5

Annual variations in environmental variables derived from the vertical profiles of environmental variables during cruises. The box plot represents the data on the east and west sides during six-year cruises. The central mark in the box is the median, and the edges of the box are the 25th and 75th marks. Abbreviations: BVF, mean Brunt–Väisälä buoyancy frequency (N2, s-2) upper 100 m depth; Zeu, euphotic depth (m); Znc, nitracline depth (m); Zscm, subsurface chlorophyll maximum depth (m).
“Annual variations in environmental variables derived from the vertical profiles of environmental variables during cruises. The box plot represents the data on the east and west sides during six-year cruises. The central mark in the box is the median, and the edges of the box are the 25th and 75th marks. Abbreviations: BVF, mean Brunt–Väisälä buoyancy frequency (N², s-²) upper 100 m depth; Zeu, euphotic depth (m); Znc, nitracline depth (m); Zscm, subsurface chlorophyll maximum depth (m).”
The original version of this article has been updated.
Statements
Publisher’s note
All claims expressed in this article are solely those of the authors and do not necessarily represent those of their affiliated organizations, or those of the publisher, the editors and the reviewers. Any product that may be evaluated in this article, or claim that may be made by its manufacturer, is not guaranteed or endorsed by the publisher.
Summary
Keywords
phytoplankton biomass, phytoplankton size structure, Chukchi Sea, East Siberian Sea, Arctic Ocean
Citation
Lee Y, Cho K-H, Jung J, Moon JK, Yang EJ and Kang S-H (2025) Correction: Multi-year variability of summer phytoplankton biomass and size structure in the northern Chukchi and East Siberian Seas, Arctic Ocean: role of light and nutrient availability. Front. Mar. Sci. 12:1633102. doi: 10.3389/fmars.2025.1633102
Received
22 May 2025
Accepted
28 May 2025
Published
13 June 2025
Volume
12 - 2025
Edited and reviewed by
Jin Zhou, Tsinghua University, China
Updates
Copyright
© 2025 Lee, Cho, Jung, Moon, Yang and Kang.
This is an open-access article distributed under the terms of the Creative Commons Attribution License (CC BY). The use, distribution or reproduction in other forums is permitted, provided the original author(s) and the copyright owner(s) are credited and that the original publication in this journal is cited, in accordance with accepted academic practice. No use, distribution or reproduction is permitted which does not comply with these terms.
*Correspondence: Youngju Lee, yjlee@kopri.re.kr
Disclaimer
All claims expressed in this article are solely those of the authors and do not necessarily represent those of their affiliated organizations, or those of the publisher, the editors and the reviewers. Any product that may be evaluated in this article or claim that may be made by its manufacturer is not guaranteed or endorsed by the publisher.