Abstract
Understanding how environmental and anthropogenic factors influence foraging behavior is essential to assess the vulnerability of coastal dolphin populations. We investigated the foraging dynamics of Guiana dolphins (Sotalia guianensis) in Praia do Madeiro Bay (Northeastern Brazil), focusing on both the frequency and collective structure of foraging events in relation to temporal, spatial, and boat-related variables. A total of 488 foraging events were recorded between March and June 2008, covering all daylight hours, tidal stages, and bay zones. A negative binomial model showed that foraging frequency was significantly lower under engine-on conditions, decreased seasonally from March to June 2008, and peaked during early morning hours. A complementary binomial model revealed that the probability of collective foraging decreased in some zones and later in the season, but increased when prey performed escape jumps. Boat presence also tended to enhance group coordination when engines were turned off. Together, these results indicate that S. guianensis flexibly adjusts its activity and coordination patterns in response to environmental cues and local vessel dynamics. The strong influence of boat traffic on both foraging frequency and coordination underscores the species’ sensitivity to human disturbance and highlights the need to regulate tourism activities within key feeding habitats.
Introduction
The Guiana dolphin (Sotalia guianensis) is a small cetacean (e.g. ~1.7–2.3m, ~90–150 kg, Lima et al., 2016) commonly found in bays and estuaries, which serve as critical habitats due to their high productivity and ecological stability (Carvalho and Meirelles, 2020). As an indicator species, it reflects the health and integrity of marine ecosystems by regulating trophic dynamics and accumulating environmental contaminants through biomagnification processes. Additionally, as a keystone species, it exerts significant predatory effects on its prey, shaping the structure and functioning of the food web (Rupil et al., 2023). Furthermore, S. guianensis heavily depends on estuarine environments, where ecological factors (i.e., salinity, productivity) and anthropogenic pressures converge, significantly affecting its survival (De Sousa Pais et al., 2017).
Despite its ecological importance, S. guianensis faces numerous threats due to habitat degradation, bycatch, and increasing human activities in coastal areas (IUCN Red List, 2018). This species is distributed along the coasts of South and Central America, mostly in tropical and subtropical shallow waters, ranging from southern Brazil (Simões Lopes, 1988) to Nicaragua (Edwards and Schnell, 2001), with occasional records suggesting potential habitats beyond these limits. Despite this broad longitudinal distribution, ecological niche models indicate that S. guianensis inhabits a narrow coastal strip, influenced by environmental and biological constraints, including competition with other dolphin species and limited dispersal capabilities (De Jesus Lobo et al., 2021).
One of the most important areas for S. guianensis in Brazil is Tibau do Sul, which provides essential habitat for feeding and social aggregation due to its shallow coastal waters and estuarine environments (Dantas da Silva et al., 2024). The Tibau do Sul Coastal Wildlife Reserve (REFAUTS), established in 2006, encompasses marine and terrestrial territories, including the Madeiro and Golfinhos bays. These areas are vital for the dolphins’ feeding, resting, and reproduction. However, inadequate management practices, such as insufficient enforcement of conservation regulations and the unplanned expansion of tourism, continue to threaten the species, particularly in tourist hotspots like Pipa (Freitas et al., 2016). Unregulated boat traffic, for example, significantly interferes with the species’ behavioral ecology, increasing stress and disrupting foraging activities (Martins et al., 2018).
Feeding behavior is a fundamental aspect of animal ecology, directly influencing survival, reproductive success, and species’ roles in shaping marine food webs. For cetaceans like Guiana dolphins, understanding feeding strategies provides key insights into their adaptation to dynamic and often human-impacted coastal ecosystems. These strategies range from individual foraging to highly coordinated group foraging, often supported by advanced sensory adaptations such as echolocation (Connor, 2000; Berta, 2020). By preying on fish, squid, and other marine organisms, cetaceans regulate prey populations and contribute to nutrient cycling, playing a pivotal role in maintaining ecosystem balance (Roman et al., 2014; Estes et al., 2009).
Although the foraging ecology of the Guiana dolphin (Sotalia guianensis) has been increasingly investigated in the past two decades, with studies describing diet composition (Rodrigues et al., 2020; Teixeira et al., 2021), trophic niche overlap with other coastal species (Teixeira et al., 2023), and a growing diversity of foraging tactics such as beach-hunting, barrier feeding and mud-ring feeding (Tannure et al., 2020; Pierry et al., 2023; Pierry et al., 2024), information remains scarce for several parts of its distribution range. In northeastern Brazil, and particularly along the coast of Rio Grande do Norte state, little is known about local foraging patterns, group composition during feeding, or the influence of environmental and anthropogenic factors on feeding activity.
This study addresses this knowledge gap by examining the combined impact, if any, of environmental and social factors on the foraging behavior of S. guianensis. The findings aim to inform effective conservation strategies by prioritizing the regulation of boat traffic, the enforcement of sustainable tourism practices, and the establishment of no-traffic zones during critical foraging times. By understanding how environmental factors and social interactions influence the foraging behavior of Guiana dolphins in the region, conservation efforts can mitigate threats in high-traffic areas like Pipa and promote responsible human-dolphin interactions.
Methods
Study area
The study was conducted in the bay of Praia do Madeiro, located in the Pipa district (6°13’21.16 “S 35°04’15.91 “W), municipality of Tibau do Sul, on the southern coast of the state of Rio Grande do Norte, northeastern Brazil (Figure 1). The topography of the area includes rock formations at both ends of the cove, creating small headlands spaced approximately 1350 meters apart. The longest distance from the line connecting these headlands to the beach is 400 meters. A continuous cliff, about 30 meters high, runs along the coastline and served as the observation point for this study (Figure 1).
Figure 1

Map of the study area in Praia do Madeiro, Tibau do Sul, northeastern Brazil. The map shows the coastline configuration, observation point, and the three zones (A, B, and C) used for spatial categorization of dolphin foraging behavior. Zone A is located at the southeastern end of the bay, protected from wind and currents; Zone B is the transitional area; Zone C is located at the northwestern end, exposed to stronger environmental variation.
For the purposes of this study, the area was divided into three zones (Figure 1) based on previous studies (Santos-Jr et al., 2006):
Zone A
Located at the southeastern end, this area is protected from wind (<1.0 on the Beaufort scale) and coastal currents by the cliffs, resulting in relatively stable environmental conditions. The seabed here is flat, uniform, and shallow.
Zone B
A transition zone between A and C, where waters are deeper, and the seabed slopes due to sediment displacement. This zone partially benefits from the protection offered by the cliffs.
Zone C
The northwestern zone, unprotected from currents and winds, lacks the calm waters and flat seabed found in Zone A.
The maximum depth in the bay is 5 meters, and the seabed is composed exclusively of sand. The area is influenced by the estuary of the Guaraíras Lagoon, located 4 km north, which causes water turbidity, limiting our visibility to no more than 50 cm. The region has a monomodal climate regime, with a dry season from September to March and a rainy season from April to June, with an average temperature of 27 °C (Cepile, 2008).
To provide visual context, we included supplementary photographs showing the general layout of Praia do Madeiro, the observation point used in this study, and examples of tourist boats typically operating in the region (Supplementary Materials S1–S7).
Data collection
Behavioral data were collected from a fixed land-based observation point on the cliff overlooking Praia do Madeiro (northeastern Brazil). We used continuous land-based focal group sampling to record behavioral events. Observations were conducted over 45 non-consecutive days between March and June 2008, totaling 270 hours of effort. Each observation session lasted six hours, alternating between morning (06:00–11:59) and afternoon (12:00–17:59) periods.
Two trained observers alternated every hour to reduce fatigue and maintain consistent detection effort. Using Tasco 10×50 binoculars and a digital stopwatch, all dolphin groups visible in the bay were continuously monitored. For each foraging event, observers recorded the month, hour, tidal state (low, ebbing, rising, or high), bay zone (A, B, or C), and boat condition (no boat present, engine off, or engine on). Additional contextual information such as group composition and number of individuals engaged in foraging was also noted.
Foraging events were identified based on observable chase and attack behaviors, following Nascimento (2006). Collective foraging was defined as two or more dolphins simultaneously chasing or attacking prey within approximately twice the body length of an adult (~4 m). All events were manually logged on standardized data sheets, cross-checked between observers, and later digitized for statistical analysis. Each foraging event was treated as an independent observation.
Although tourist presence is known to be high at Praia do Madeiro—particularly in Zone A during weekends—the number of tourists on the beach or in the water was not systematically quantified during the 2008 field season. For this reason, tourist density could not be included as a predictor in the statistical models.
Data analysis
Each recorded foraging event was categorized according to five predictors: month (March–June), hour of day (06:00–17:59), tide state (low, ebbing, rising, or high), boat condition (no boat, engine off, or engine on), and bay zone (A, B, or C).
For each combination of these factors (Month × Hour × Tide × Boat Condition × Zone), the total number of foraging events was counted, resulting in 488 unique events.
To test which factors influenced the frequency of foraging events, we used generalized linear models for count data. A Poisson model was first fitted but showed significant overdispersion (dispersion ratio > 2, p < 0.001), so a Negative Binomial model was used instead (glm.nb, package MASS). The model included month, hour, tide state, boat condition, and bay zone as fixed effects. Model coefficients were expressed as rate ratios (exp(β)), representing multiplicative changes in the expected count of foraging events relative to the reference levels (No boat, Hour 06:00, Month 3, Tide Low, and Zone A). Model validation was performed using residual diagnostics (DHARMa package), which indicated no significant deviations from model assumptions. A complementary binomial logistic model was fitted to test which factors influenced the probability that a foraging event was collective rather than individual, using the same explanatory variables. Coefficients were expressed as odds ratios (exp(β)), indicating multiplicative changes in the odds of collective foraging relative to the same reference levels. All analyses were conducted in R 4.5.2 using the packages tidyverse, MASS, broom, performance, DHARMa, and ggplot2.
Results
A total of 270 h of land-based observations were conducted over 45 non-consecutive days between March and June 2008, resulting in 488 foraging events. Guiana dolphins were present in the study area on most survey days, typically forming small to medium-sized groups, as commonly reported for the species in northeastern Brazil. Although precise group size could not be quantified for every sighting due to distance and sea-state constraints, groups frequently included juveniles, and calves were occasionally observed, indicating regular use of the bay by family groups.
Overall sighting patterns suggest that Praia do Madeiro represents a high-use coastal habitat for Sotalia guianensis, consistent with previous reports from nearby regions. Dolphins were detected across all three zones of the bay, although their distribution varied over time and appeared to track both prey availability and human activity.
A negative binomial model including month, hour, tide state, boat condition, zone, and prey escape behavior explained the observed variation in foraging event frequency (Table 1, Figure 2). The model revealed a strong effect of boat presence and clear temporal patterns in both seasonal and daily activity.
Table 1
| Predictor | RR | SE | CI | p-value |
|---|---|---|---|---|
| Boat condition – No boat (ref) | 1.00 | — | ref | |
| Hour 06:00 (ref) | 1.00 | — | ref | |
| Month M3 (ref) | 1.00 | — | ref | |
| Tide low (ref) | 1.00 | — | ref | |
| Zone A (ref) | 1.00 | — | ref | |
| Prey escape – no_jump (ref) | 1.00 | — | ref | |
| Month M4 | 0.85 | 0.161 | 0.62–1.18 | 0.320 |
| Month M5 | 0.52 | 0.184 | 0.37–0.76 | 0.001** |
| Month M6 | 0.39 | 0.273 | 0.22–0.65 | 0.001** |
| Hour 07:00 | 2.27 | 0.289 | 1.02–5.04 | 0.042* |
| Hour 08:00 | 2.13 | 0.305 | 0.92–4.95 | 0.105 |
| Hour 09:00 | 1.85 | 0.292 | 0.82–4.14 | 0.242 |
| Hour 10:00 | 1.61 | 0.281 | 0.74–3.51 | 0.472 |
| Hour 11:00 | 1.23 | 0.291 | 0.55–2.76 | 0.963 |
| Hour 12:00 | 1.61 | 0.288 | 0.73–3.57 | 0.505 |
| Hour 13:00 | 1.58 | 0.299 | 0.69–3.61 | 0.588 |
| Hour 14:00 | 1.45 | 0.302 | 0.63–3.33 | 0.775 |
| Hour 15:00 | 1.11 | 0.342 | 0.43–2.86 | 0.999 |
| Hour 16:00 | 1.27 | 0.336 | 0.50–3.20 | 0.966 |
| Hour 17:00 | 1.65 | 0.354 | 0.62–4.39 | 0.658 |
| Tide ebbing | 1.16 | 0.134 | 0.90–1.52 | 0.261 |
| Tide rising | 1.04 | 0.154 | 0.77–1.40 | 0.816 |
| Tide high | 1.30 | 0.149 | 0.97–1.74 | 0.081 |
| Boat condition – engine off | 0.88 | 0.124 | 0.67–1.16 | 0.502 |
| Boat condition – engine on | 0.62 | 0.162 | 0.43–0.89 | 0.006** |
| Zone B | 0.85 | 0.122 | 0.67–1.07 | 0.180 |
| Zone C | 0.79 | 0.379 | 0.35–1.56 | 0.527 |
| Prey escape – jump | 0.89 | 0.094 | 0.74–1.07 | 0.201 |
Negative binomial model for foraging event frequency.
Rate ratios (RR), standard errors (SE), and 95% confidence intervals (CI) are shown on the response scale. p-values for Boat condition, Hour, and Month were adjusted using Dunnett’s contrasts versus the reference level (no boat, 06:00 h, and March, respectively).
Significance codes: p < 0.05 = *, p < 0.01 = **, p < 0.001 = ***.
Bold values indicate statistically significant predictor effects (p < 0.05).
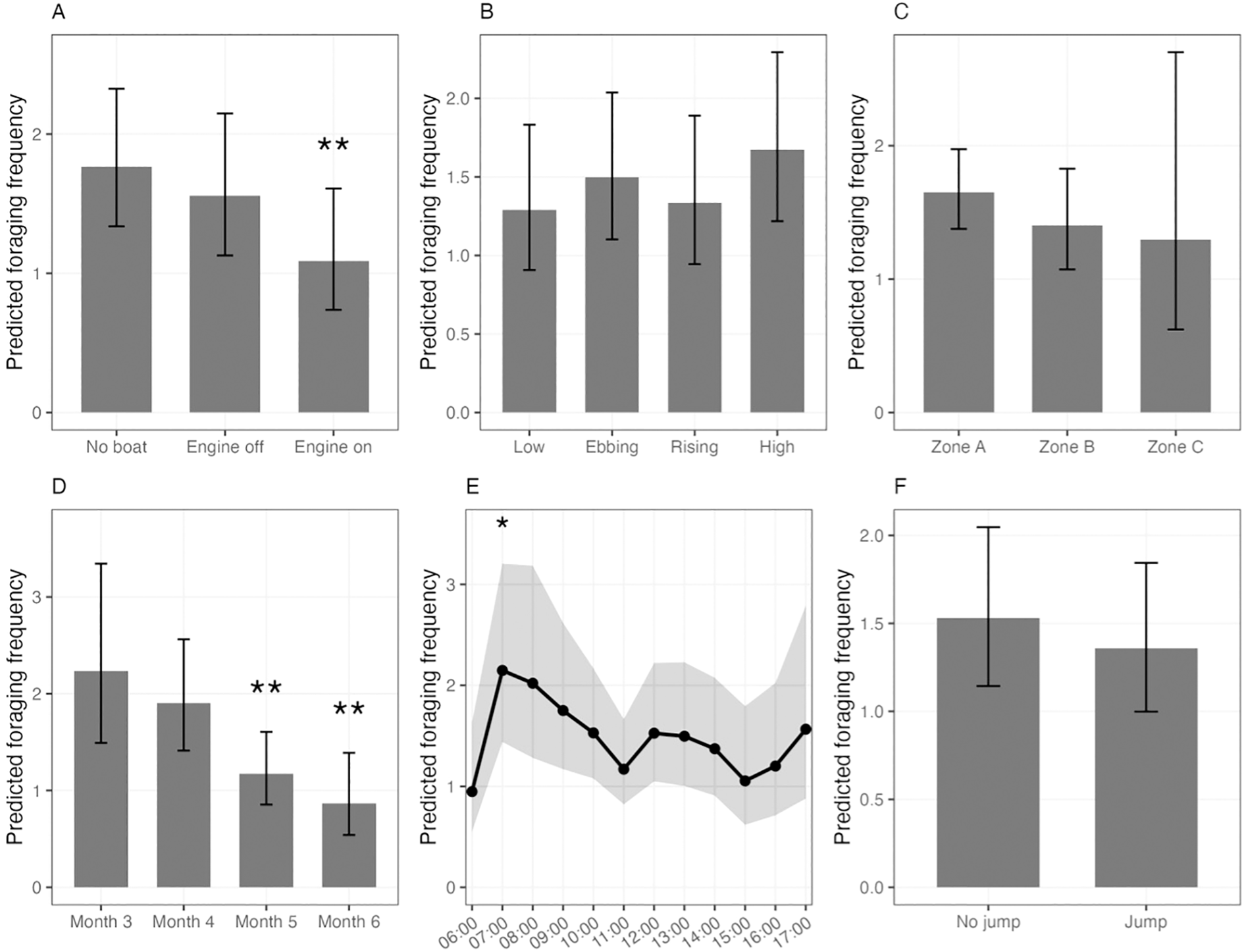
Figure 2

Predicted foraging event frequency (mean ± 95% CI) as a function of (A) boat condition, (B) tide state, (C) zone, (D) month, (E) hour of day, and (F) prey escape behavior, based on the negative binomial model. Post-hoc pairwise comparisons were conducted using Dunnett-adjusted contrasts versus the reference level (no boat, March, or 06:00 h). Asterisks indicate levels of statistical significance (*p < 0.05; **p < 0.01; ***p < 0.001).
Boat condition significantly affected foraging frequency (Figure 2A). Predicted foraging frequency under engine-on conditions was 0.62 times than in the absence of boats (p = 0.006), whereas engine-off conditions did not differ significantly from the reference level (no boat).
Seasonal variation was also significant (Figure 2D). Foraging frequency decreased from March (reference level) to May and June 2008, with rate ratios of 0.52 (p = 0.001) and 0.39 (p = 0.001), respectively.
Diurnal variation followed a similar pattern (Figure 2E). Predicted foraging frequency at 07:00 h was 2.27 times higher than at 06:00 h (p = 0.042), with activity gradually declining during the remainder of the day.
No significant effects were detected for tide state, zone, or prey escape behavior (Table 1, Figures 2B, C, F), although a weak trend suggested slightly higher activity during high tide (p = 0.081).
A binomial logistic model was fitted to examine the probability that a foraging event was collective rather than individual (Table 2, Figure 3).
Table 2
| Predictor | OR | SE | CI | p-value |
|---|---|---|---|---|
| Boat condition – no_boat (ref) | 1.00 | — | ref | |
| Hour 06:00 (ref) | 1.00 | — | ref | |
| Month M3 (ref) | 1.00 | — | ref | |
| Tide low (ref) | 1.00 | — | ref | |
| Zone A (ref) | 1.00 | — | ref | |
| Prey escape – no_jump (ref) | 1.00 | — | ref | |
| Month M4 | 0.76 | 0.373 | 0.32–1.83 | 0.775 |
| Month M5 | 0.35 | 0.438 | 0.12–0.99 | 0.046* |
| Month M6 | 0.39 | 0.758 | 0.06–2.31 | 0.451 |
| Hour 07:00 | 0.63 | 0.766 | 0.08–5.25 | 0.982 |
| Hour 08:00 | 0.50 | 0.833 | 0.05–4.98 | 0.936 |
| Hour 09:00 | 1.45 | 0.738 | 0.19–11.13 | 0.991 |
| Hour 10:00 | 1.21 | 0.712 | 0.17–8.70 | 0.999 |
| Hour 11:00 | 1.32 | 0.751 | 0.17–10.48 | 0.998 |
| Hour 12:00 | 1.08 | 0.731 | 0.14–8.18 | 1.000 |
| Hour 13:00 | 1.05 | 0.753 | 0.13–8.44 | 1.000 |
| Hour 14:00 | 2.28 | 0.741 | 0.29–17.67 | 0.834 |
| Hour 15:00 | 1.36 | 0.844 | 0.13–14.02 | 0.998 |
| Hour 16:00 | 1.70 | 0.812 | 0.18–16.08 | 0.974 |
| Hour 17:00 | 2.56 | 0.840 | 0.25–26.18 | 0.829 |
| Tide ebbing | 0.52 | 0.321 | 0.25–1.12 | 0.114 |
| Tide rising | 0.71 | 0.357 | 0.31–1.65 | 0.640 |
| Tide high | 0.56 | 0.364 | 0.24–1.32 | 0.267 |
| Boat condition – engine off | 1.89 | 0.302 | 0.97–3.70 | 0.065 |
| Boat condition – engine on | 1.27 | 0.393 | 0.53–3.05 | 0.751 |
| Zone B | 0.33 | 0.345 | 0.15–0.71 | 0.002** |
| Zone C | 4.91 | 0.891 | 0.68–35.48 | 0.136 |
| Prey escape – jump | 2.03 | 0.222 | 1.32–3.15 | 0.001** |
Binomial model for the probability of collective foraging in Sotalia guianensis.
Predictors include month, hour, tide state, boat condition, zone, and prey escape behavior.
Values represent odds ratios (OR), standard errors (SE), and 95% confidence intervals (CI).
Post-hoc pairwise comparisons were conducted using Dunnett-adjusted contrasts versus the reference level (no boat, 06:00 h, March, low tide, Zone A, and no jump, respectively).
Asterisks indicate levels of statistical significance (*p < 0.05; **p < 0.01; ***p < 0.001).
Bold values indicate statistically significant predictor effects (p < 0.05).
Figure 3

Predicted probability of collective foraging (mean ± 95% CI) according to (A) boat condition, (B) zone, (C) month, (D) hour, (E) tide state, and (F) prey escape behavior, obtained from the binomial model (Table 2). Post-hoc pairwise comparisons were conducted using Dunnett-adjusted contrasts versus the reference level (no boat, Zone A, March, 06:00 h, low tide, and no jump, respectively). Asterisks indicate levels of statistical significance (*p < 0.05; **p < 0.01; ***p < 0.001).
The likelihood of collective foraging varied significantly among zones (Figure 3B). It was lower in Zone B compared to Zone A (odds ratio = 0.33, p = 0.002) and showed a non-significant trend toward higher values in Zone C (odds ratio = 4.91, p = 0.136).
Seasonal effects were also detected (Figure 3C). The probability of collective foraging in May was significantly lower than in March (odds ratio = 0.35, p = 0.046), whereas no significant differences were observed for April or June.
Boat condition approached significance (Figure 3A). Collective foraging was 1.89 times more likely under engine-off conditions than when no boats were present (p = 0.065), but no difference was found for engine-on situations (p = 0.751).
The behavior of prey had a clear effect on group coordination (Figure 3F). Collective foraging was more likely when prey performed surface escape jumps (odds ratio = 2.03, p = 0.001).
No significant differences were found among hours of the day or tidal stages (Table 2, Figures 3D, E).
Overall, both models revealed that Guiana dolphins adjust not only the frequency but also the collective structure of their foraging according to temporal, spatial, and anthropogenic factors. Foraging was most frequent during early morning hours, declined seasonally, and varied among bay zones. Boat presence and engine status influenced both the occurrence and the social coordination of foraging, highlighting the sensitivity of Sotalia guianensis to local vessel dynamics and the importance of managing tourism activities within critical feeding habitats.
Discussion
This study provides an integrated view of how Sotalia guianensis adjusts both the frequency and the collective structure of its foraging behavior in response to temporal, spatial, and anthropogenic factors in Praia do Madeiro Bay. The combination of two complementary models — one describing foraging event frequency and another describing the probability of collective foraging — revealed that boat traffic, diel and seasonal cycles, and prey behavior all influence how Guiana dolphins exploit their coastal habitat.
The results partially supported our initial hypotheses. As predicted, boat presence influenced the occurrence and structure of foraging events, and temporal variables such as month and hour significantly shaped dolphin activity. Spatial differences among zones and the behavior of prey also contributed to the variability observed.
Boat traffic and disturbance effects
Boat presence, particularly with engines running, strongly reduced foraging frequency and affected group coordination. This dual effect highlights the sensitivity of S. guianensis to local vessel dynamics and supports the growing evidence that tourism-related noise and movement can interfere with feeding activities in coastal dolphins (e.g., De Sousa Pais et al., 2017; Martins et al., 2018; Vianna-Gatts et al., 2023). Engine noise may mask prey-generated cues or social signals used for coordination, while the physical presence of boats could induce vigilance or avoidance behavior, reducing the time available for effective foraging. Similar short-term reductions in foraging and social cohesion under boat disturbance have been reported for bottlenose dolphins (Tursiops truncatus) in several regions (Lusseau and Higham, 2004; New et al., 2013), suggesting a general sensitivity among delphinids to unpredictable vessel approaches.
Temporal and spatial modulation
The models also revealed strong temporal modulation of foraging activity, with a clear early-morning peak and a progressive decline through the day. Such diel patterns are consistent with observations in other coastal populations of Sotalia and Tursiops, where prey availability and light levels interact to shape feeding windows (Rossi-Santos and Flores, 2006; Dantas da Silva et al., 2024). Seasonal decreases from March to June 2008 may reflect changes in prey density or environmental conditions such as tidal amplitude and turbidity, which are known to affect hunting efficiency in shallow waters (Azevedo et al., 2007).
Spatially, differences among bay zones suggest that environmental heterogeneity and human use of the habitat may jointly modulate dolphin distribution. The lower probability of collective foraging in Zone B, for example, could indicate localized disturbance or variable prey concentrations. Detailed mapping of prey schools and acoustic measurements would be needed to disentangle these factors.
Prey behavior and collective foraging
The likelihood of collective foraging doubled when prey exhibited escape behavior (i.e., surface jumps), suggesting that S. guianensis dynamically adjusts its coordination strategy according to prey response. Coordinated chases likely increase capture success when prey attempt to flee, as has been described in other delphinid species during cooperative herding (Gazda et al., 2005; Similä and Ugarte, 1993). These results emphasize that collective tactics in Guiana dolphins are not fixed but context-dependent, potentially mediated by acoustic cues that synchronize movements and maintain group cohesion during prey pursuit. Future bioacoustic monitoring could clarify how signal exchange supports such coordination under variable noise conditions.
Conservation implications
Praia do Madeiro Bay functions as a critical feeding habitat for Guiana dolphins but is also a focal area for recreational boating and tourism. The observed reduction in foraging frequency and coordination under engine-on conditions indicates that even moderate vessel activity can disrupt essential behaviors. Management measures such as temporal restrictions on engine use, distance regulations, or the establishment of quiet zones could mitigate these impacts. Integrating behavioral monitoring with acoustic assessments will be essential to define disturbance thresholds and guide sustainable ecotourism practices in the region.
This study presents several limitations that should be considered when interpreting the results. Tourist presence, which is known to be high and variable at Praia do Madeiro, was not quantified and could not be incorporated into the models. Day-to-day variability in environmental conditions may also have affected dolphin detectability and behavior. In addition, prey behavior was recorded visually, which may underestimate fine-scale dynamics occurring underwater. Future studies should incorporate standardized measures of tourist density and acoustic methods to better characterize noise exposure.
Perspectives
Together, these findings reveal a flexible foraging system where S. guianensis adjusts both activity intensity and social organization to environmental and anthropogenic constraints. Continued research combining acoustic, behavioral, and ecological data will be key to understanding how this species balances energy acquisition and disturbance avoidance in increasingly human-dominated coastal habitats. Such measures are essential to ensure the long-term coexistence of S. guianensis with sustainable tourism in northeastern Brazil.
Future work should incorporate simple indices of tourist pressure, such as weekday/weekend categories or direct counts of people in the water, to complement boat-related variables. The use of passive acoustic monitoring may also help quantify underwater noise from tourist vessels and its potential impact on dolphin behavior.
Statements
Data availability statement
The raw data supporting the conclusions of this article will be made available by the authors, without undue reservation.
Ethics statement
Ethical approval was not required for the study involving animals in accordance with the local legislation and institutional requirements because Ethical approval was not required for this study because all observations were conducted non-invasively from a land-based platform, without any direct interaction, disturbance, or manipulation of the animals. The study complied with all applicable national and international guidelines for wildlife research.
Author contributions
JLM: Investigation, Data curation, Formal analysis, Writing – original draft, Writing – review & editing. RM: Conceptualization, Data curation, Formal analysis, Funding acquisition, Investigation, Methodology, Project administration, Resources, Software, Supervision, Validation, Visualization, Writing – original draft, Writing – review & editing. FD: Conceptualization, Data curation, Formal analysis, Funding acquisition, Investigation, Methodology, Project administration, Resources, Software, Supervision, Validation, Visualization, Writing – original draft, Writing – review & editing.
Funding
The author(s) declared that financial support was not received for this work and/or its publication.
Acknowledgments
We sincerely thank Anna Osiecka for her invaluable guidance, thoughtful advice, and generous support throughout this study, particularly during the challenging stages of data analysis. We are also grateful to Diogo Rolim for his assistance during fieldwork and to Hotel Village Natureza for granting access to the observation sites. Finally, we thank Reviewer 1 for the constructive and insightful comments that helped improve the quality of this manuscript.
Conflict of interest
The author(s) declared that this work was conducted in the absence of any commercial or financial relationships that could be construed as a potential conflict of interest.
Generative AI statement
The author(s) declared that generative AI was not used in the creation of this manuscript.
Any alternative text (alt text) provided alongside figures in this article has been generated by Frontiers with the support of artificial intelligence and reasonable efforts have been made to ensure accuracy, including review by the authors wherever possible. If you identify any issues, please contact us.
Publisher’s note
All claims expressed in this article are solely those of the authors and do not necessarily represent those of their affiliated organizations, or those of the publisher, the editors and the reviewers. Any product that may be evaluated in this article, or claim that may be made by its manufacturer, is not guaranteed or endorsed by the publisher.
Supplementary material
The Supplementary Material for this article can be found online at: https://www.frontiersin.org/articles/10.3389/fmars.2025.1695002/full#supplementary-material
References
1
Azevedo A. F. Oliveira A. M. Viana S. C. Van Sluys M. (2007). Habitat use by marine tucuxis (Sotalia guianensis) in Guanabara Bay, south–eastern Brazil. J. Mar. Biol. Assoc. U. K.87, 201–205.
2
Berta A. (Ed.) (2020). Whales, dolphins, and porpoises: A natural history and species guide (London: Academic Press).
3
Carvalho V. L. Meirelles A. C. O. (Eds.) (2020). Boto cinza: Biology and conservation in Brazil (Cham: Springer).
4
Cepile A. R. (2008). Aspectos ambientais e ecológicos da região de Tibau do Sul, RN (Brasil): implicações para a conservação da fauna costeira ( Repositório Institucional da UFRN). Available online at: https://repositorio.ufjf.br/jspui/bitstream/ufjf/3967/1/alanrobertocepile.pdf (Accessed December 10, 2025).
5
Connor R. C. (2000). “ Group living in whales and dolphins,” in Cetacean societies: Field studies of dolphins and whales. Eds. MannJ.ConnorR. C.TyackP. L.WhiteheadH. (Chicago: University of Chicago Press), 199–218.
6
Dantas da Silva G. R. Martins de Medeiros M. G. F. de Oliveira Lunardi V. Gonçalves Lunardi D. (2024). Nursery area for the threatened Guiana dolphin, Sotalia guianensis, on the northeast coast of Brazil. Int. J. Conserv. Sci.15. Available online at: https://ijcs.ro (Accessed December 10, 2025).
7
De Jesus Lobo A. Wedekin L. L. Sobral-Souza T. Le Pendu Y. (2021). Potential distribution of Guiana dolphin (Sotalia guianensis): A coastal-estuarine and tropical habitat specialist. J. Mammal102, 308–318. doi: 10.1093/jmammal/gyab004
8
De Sousa Pais F. Cardoso R. P. Rossi-Santos M. R. Wedekin L. L. Silva F. J. Monteiro-Filho E. L. et al . (2017). “ Anthropogenic noise and Guiana dolphins (Sotalia guianensis) in Brazil: Ecological and conservation concerns,” in Advances in marine vertebrate research in Latin America: Technological innovation and conservation. Eds. BastidaR. R. A.RodríguezH. J. G.de QueirozL. A. C. (Natal: Universidade Federal do Rio Grande do Norte), 321–366. doi: 10.1007/978-3-319-56985-7_11
9
Edwards H. H. Schnell G. D. (2001). Status and ecology of Sotalia fluviatilis in the Cayos Miskito reserve, Nicaragua. Mar. Mammal Sci.17, 445–472. doi: 10.1111/j.1748-7692.2001.tb00998.x
10
Estes J. A. Doak D. F. Springer A. M. Williams T. M. (2009). Causes and consequences of marine mammal population declines in southwest Alaska: A food-web perspective. Philos. Trans. R Soc. B Biol. Sci.364, 1647–1658. doi: 10.1098/rstb.2008.0246
11
Freitas D. C. Silva P. C. M. Lunardi V. O. Santos J. E. A. Lunardi D. G. (2016). Land use and occupation at Coastal Wildlife Reserve of Tibau do Sul (REFAUTS), Rio Grande do Norte, Brazil, (1984–2015). Rev. Bras. Geogr. Fís9, 1880–1887. doi: 10.26848/rbgf.v9i6.2692
12
Gazda S. K. Connor R. C. Edgar R. K. Cox F. (2005). A division of labour with role specialization in group–hunting bottlenose dolphins (Tursiops truncatus) off Cedar Key, Florida. Proc. R Soc. B Biol. Sci.272, 135–140. doi: 10.1098/rspb.2004.2930
13
International Union for Conservation of Nature (IUCN) (2018). The IUCN Red List of Threatened Species. Version 2018-1. Available online at: https://www.iucnredlist.org (Accessed 23 July 2025).
14
Lima J. Y. Carvalho A. P. M. Azevedo C. T. Barbosa L. A. Silveira L. S. (2016). Variation of age and total length in sotalia guianensis (Van bénéden 1864) (Cetacea, delphinidae), on the Coast of Espírito Santo State, Brazil. Braz. J. Biol.77, 437–443. doi: 10.1590/1519-6984.13215
15
Lusseau D. Higham J. E. S. (2004). Managing the impacts of dolphin–based tourism through the definition of critical habitats: the case of bottlenose dolphins (Tursiops spp.) in Doubtful Sound, New Zealand. Tour. Manag.25, 657–667.
16
Martins D. T. L. Rossi–Santos M. R. Silva F. J. L. (2018). Effects of anthropogenic noise on the acoustic behaviour of Sotalia guianensis in Pipa, northeastern Brazil. J. Mar. Biol. Assoc. U. K.98, 215–222.
17
Nascimento L. F. D. (2006). Boto cinza (Sotalia guianensis, Van Benédén 1864) (Cetacea, Delphinidae): Atividade aérea, forrageio e interações inter-específicas, na Praia de Pipa (Tibau do Sul RN) e estudo comparativo entre duas populações do Nordeste do Brasil. Natal, Brazil: Universidade Federal do Rio Grande do Norte.
18
New L. F. Harwood J. Thomas L. Donovan C. Clark J. S. Hastie G. et al (2013). Modelling the biological significance of behavioural change in coastal bottlenose dolphins in response to disturbance. Funct. Ecol.27, 314–322.
19
Pierry J. C. Morete M. E. Monteiro–Filho E. L. Teixeira C. R. (2023). Guiana dolphins use mangrove margins as a natural barrier to chase fish prey. Ethology130, e13411.
20
Pierry J. C. Novelli M. B. S. Louzada C. N. Monteiro–Filho E. L. A. (2024). Rings of Power: evidence of mud ring feeding performed by Guiana dolphins. J. Mar. Biol. Assoc. U. K.104, e69. doi: 10.1017/S002531542400078X
21
Rodrigues V. L. A. Wedekin L. L. Marcondes M. C. C. Barbosa L. Farro A. P. C. (2020). Diet and foraging opportunism of the Guiana dolphin in the Abrolhos Bank, Brazil. Mar. Mammal Sci.36, 436–450.
22
Roman J. Estes J. A. Morissette L. Smith C. Costa D. McCarthy J. et al . (2014). Whales as marine ecosystem engineers. Front. Ecol. Environ.12, 377–385. doi: 10.1890/130220
23
Rossi-Santos M. R. Wedekin L. L. (2006). Evidence of bottom contact behavior by estuarine dolphins (Sotalia guianensis) on the Eastern Coast of Brazil. Aquat Mamm32, 140–144. doi: 10.1578/AM.32.2.2006.140
24
Rupil G. M. Daura-Jorge F. G. Pagliosa P. R. Wedekin L. L. Freire A. S. Angelini R. (2023). To be or not to be controlled? The ecological role of the Guiana dolphin in its southernmost range. Estuar. Coast. Shelf Sci.288, 108360. doi: 10.1016/j.ecss.2023.108360
25
Santos-Jr É. Pansard K. C. Yamamoto M. E. Chellappa S. (2006). Comportamento do boto-cinza, Sotalia guianensis (Van Bénédén) (Cetacea, Delphinidae) na presença de barcos de turismo na Praia de Pipa, Rio Grande do Norte, Brasil. Rev. Bras. Zool23, 661–666. doi: 10.1590/S0101-81752006000300025
26
Similä T. Ugarte F. (1993). Surface and underwater observations of cooperatively feeding killer whales in Northern Norway. Can. J. Zool71, 1494–1499. doi: 10.1139/z93-210
27
Simões Lopes P. C. (1988). Ocorrência de uma população de Sotalia fluviatilis Gervais 1853, (Cetacea, Delphinidae) no limite sul de sua distribuição, Santa Catarina, Brasil. Biotemas1, 57–62.
28
Tannure N. C. Barbosa F. S. Barcellos D. D. Mattiuzzo B. Martinelli A. Campos L. B. et al . (2020). Acoustic description of beach–hunting Guiana dolphins in the Cananéia estuary. Aquat. Mamm.46, 11–20.
29
Teixeira C. R. Botta S. Daura–Jorge F. G. Pereira L. B. Newsome S. D. Simões–Lopes P. C. (2021). Niche overlap and diet composition of three sympatric coastal dolphin species. Mar. Mammal Sci.37, 111–126.
30
Teixeira C. R. Botta S. Cremer M. J. Marcondes M. C. Pereira L. B. Newsome S. D. et al (2023). Ecologically driven differences in individual diet specialization across three populations of Guiana dolphin. Oecologia201, 397–408.
31
Vianna–Gatts F. Montanini G. Azevedo A. F. Lailson–Brito J. Bisi T. L. (2023). Feeding ecology based on stable isotopes: a comparative study on Guiana dolphins. Mar. Environ. Res.192, 106234.
Summary
Keywords
behavioral plasticity, cetacean ecology, coastal ecosystems, collective foraging, social behavior
Citation
Lopez Marulanda J, Maceido de Quieroz RE and De Lima Silva FJ (2026) Social and environmental drivers of foraging behavior in Guiana dolphins (Sotalia guianensis) in Northeastern Brazil. Front. Mar. Sci. 12:1695002. doi: 10.3389/fmars.2025.1695002
Received
29 August 2025
Revised
01 December 2025
Accepted
04 December 2025
Published
09 January 2026
Volume
12 - 2025
Edited by
Lyne Morissette, M – Expertise Marine, Canada
Reviewed by
Ronaldo Angelini, Federal University of Rio Grande do Norte, Brazil
Paula Djanira Coutinho, Universidade Federal de Pernambuco, Brazil
Updates
Copyright
© 2026 Lopez Marulanda, Maceido de Quieroz and De Lima Silva.
This is an open-access article distributed under the terms of the Creative Commons Attribution License (CC BY). The use, distribution or reproduction in other forums is permitted, provided the original author(s) and the copyright owner(s) are credited and that the original publication in this journal is cited, in accordance with accepted academic practice. No use, distribution or reproduction is permitted which does not comply with these terms.
*Correspondence: Juliana Lopez Marulanda, juliana.lopez.marulanda@gmail.com
Disclaimer
All claims expressed in this article are solely those of the authors and do not necessarily represent those of their affiliated organizations, or those of the publisher, the editors and the reviewers. Any product that may be evaluated in this article or claim that may be made by its manufacturer is not guaranteed or endorsed by the publisher.