Abstract
The study goal was to examine the interactive physiological effects of two freshwater inflow stressors, nitrate pulses coupled with salinity decrease, on the seagrass Halodule wrightii. A microcosm experiment was designed to approximate an observed freshwater inflow event. Over a 13-day period plants were subjected to three sequential salinity drops (S35→ S23→ S15→ S5) with nitrate-nitrogen added simultaneously at 0, 30 or 60 µM. For comparisons, the Control was no salinity change and no nitrate added denoted by S35/No N. Measurements of H. wrightii shoot production, photosynthesis, respiration, quantum efficiency, %N, C:N ratios and δ15N values which were made after each salinity drop revealed differing effects of low versus high N levels under S35 compared to reduced salinity. Compared to the Control at the experimental endpoint, leaf net photosynthesis: respiration (P:R) ratio decreased 3-fold for hyposalinity + High N addition (S5/High N) largely due to increased respiration. Leaf %N increased and C:N ratio decreased concomitantly with both stressors, with S5/High N having the highest %N and lowest C:N ratio. While the magnitude of the effect was related to the amount of added N at S35, there were different effects of Low versus High N at low salinity (S5). The trends of P:R ratio, leaf %N and C:N ratio are consistent with increased respiration, uptake of added N, and depletion of carbon reserves. However, δ15N suggested that added NO3- was taken up by leaves at S35, but not at S5. The increased %N at S5 may be due to translocation of amino acid N from rhizomes-roots to leaves. Metabolic networks were hypothesized to be regulated differently at 30 versus 60 µM NO3- under conditions of hyposalinity. These findings add to the growing evidence that simultaneous stressors typical of substantial freshwater inflow events, hyposalinity and nitrate loading, could adversely affect H. wrightii.
1 Introduction
Worldwide loss of seagrass has been well-documented (Orth et al., 2006; Waycott et al., 2009) with causes ranging from global climate change (increase in sea temperature, sea level, and frequency/intensity of storms), to regional changes in water quality and quantity and coastal development. Coastal freshwater input (FWI) can have significant effects on coastal ecosystems due to the quantity and quality of the FWI. Factors that influence FWI include land use/land cover, size of the watershed and the frequency and magnitude of rainfall events in the watershed. Coastal FWI is changing due to alterations of coastal watersheds and climate change (Ross and Randhir, 2022). With climate change, it is likely that coastal FWI events will be more intense and more frequent (Knutson, 2015; Kowalski et al., 2023). With coastal FWI comes depressed salinity, elevated water column N (inorganic and organic N) and light-attenuating turbidity (Kowalski et al., 2018; Mallin et al., 1999) which can lead to potential negative impacts on seagrass. Separately, hyposalinity and elevated N levels can, directly and indirectly, stress submerged aquatic vegetation. Although FWI events can include both hyposalinity and N loading, rarely has the combined effect of these two stressors on marine plants been examined.
1.1 Effects of salinity change on seagrass
Effects of salinity change on seagrass have been studied for years since salinity affects distribution of seagrass species (Kowalski et al., 2018; Lirman and Cropper, 2003; Biber, 2022), seagrass productivity (Kowalski et al., 2023), physiology (Koch et al., 2007; Kongrueang et al., 2018; Kowalski et al., 2024) and ultrastructure (Ferreira et al., 2017). Seagrass studies on hypersalinity are more numerous than studies on hyposalinity (478 vs 95 references, respectively) based on a search using BioAbstract, Science Direct and JSTOR.
Studies have documented the negative effects of hyposalinity on Cymodocea nodosa, Z. notlii and Posidonia oceanica (Invers et al., 2004; Fernández-Torquemada and Sánchez-Lizaso, 2011).
Hyposalinity was shown to lower photosynthetic rate, leaf chlorophyll concentrations, and quantum efficiency, while increasing respiration rate in various seagrass species (McMillan and Moseley, 1967; McMahon, 1968; Lirman and Cropper, 2003; Shafer et al., 2011; Fernández-Torquemada and Sánchez-Lizaso, 2011; Lamit and Tanaka, 2021; Gavin and Durako, 2014; Kowalski et al., 2023). Kongrueang et al. (2018) found that both hypo- and hypersaline conditions reduced the photosynthetic efficiency of the seagrass Enhalus acoroides seedlings. Osmotic stress due to hyposalinity can cause reduced growth and mortality resulting in substantial seagrass loss (Preen et al., 1995; Campbell and McKenzie, 2004; Griffin and Durako, 2012; DeYoe and Kowalski, 2014). A microcosm hyposalinity study for Halodule wrightii linked the physiological effects to cation depletion and notable shifts in the abundances of free amino acids, especially decreased proline and increased asparagine, among others, reflective of metabolic reprogramming (Kowalski et al., 2024). Plants exhibit broadly shared metabolic re-programming of carbon and amino acid metabolism in response to stressors (see Wang et al., 2018; Oddy et al., 2020; Alvarez et al., 2022 for reviews). For seagrasses, Udy and Dennison (1997) observed unique species-specific growth and biomass responses to N + P nutrient additions, yet there were similar underlying metabolic responses with respect to total amino acid levels, concentrations of two N-rich amino acids (N storage), and δ15N of the leaves.
1.2 Effects of nitrogen loading on seagrass
Anthropogenic nitrogen (N) loading to estuaries has been seen to be problematic for more than 40 years (Jaworski, 1981; Nixon, 1990; Nixon et al., 2001; Bricker et al., 2008; Gao et al., 2016). FWI delivers N and suspended sediment that may degrade water quality with adverse effects on seagrass.
Prior to cultural eutrophication, occasional pulses of N-laden stormwater have been found to be beneficial for estuaries (Nixon, 1990). Nitrogen loading is influenced by watershed size, watershed land use/land cover characteristics and precipitation regime. The impact of N loading depends upon the nitrogen form (nitrate, ammonia, organic), amplitude of load, volume of the receiving water body and residence time. Microalgae, macroalgae, emergent plants and seagrasses are positioned to capture available N (Nielsen et al., 2004). Hauxwell and Valiela (2004) outlined a sequence of plant responses as increased N loading occurs. N-replete algae (phytoplankton and seaweeds) grow faster than submerged aquatic vegetation (SAV) (Reifel et al., 2009) with an increase in algal standing stocks (Lapointe and Matzie, 1996; Han et al., 2016; Shaw et al., 2018) that may cause SAV decline due to light limitation (Burkholder et al., 2007), but other indirect effects are possible. Generally, the scenarios discussed above reflect a continual delivery of N-replete input to coasts such as municipal/industrial wastewater and agricultural flows to estuaries. With storm events, N-laden stormwater inflow to estuaries occurs in a pulsed manner (McCorquodale et al., 2009; Kowalski et al., 2018; DeYoe et al., 2023) which has received less attention.
Climate change has increased the frequency, duration, and intensity of tropical cyclones (Webster et al., 2005; Knutson, 2015). This subsequently has/will increase FWI to coastal waters like the Lower Laguna Madre (LLM) of Texas through direct precipitation input and storm runoff (Kowalski et al., 2018). FWI can be delivered in a consistent baseline and/or pulsed fashion (Kowalski et al., 2018). DeYoe et al. (2023) stated that the LLM has a watershed to estuary area of 10:1 and a flushing time of 284 days, or 1.28 times per year. This residence time is potentially long enough that FWI of significant magnitude and concomitant N input could notably affect primary producers in the LLM (DeYoe et al., 2023).
Kowalski et al. (2023) examined incremental hyposalinity effects alone (35→23→15→5) on H. wrightii leaves on leaf growth, quantum efficiency, photosynthesis, and leaf respiration in microcosms. They found impaired quantum efficiency, leaf growth, photosynthesis, and increased respiration rates with hyposaline conditions. In this study, the addition of water column N (as NO3-) was included to simulate the impacts of storm events (hyposalinity + N loading) on leaf growth and metabolism. N enrichment will increase N content for N-limited plants with physiological responses being species-specific (Lee et al., 2007; Touchette, 2007). The form of N is important as assimilation of NO3- is energetically more costly compared to ammonia and organic N (Touchette and Burkholder, 2000). The assimilation of inorganic N requires use of C skeletons to facilitate the transport and transfer of the N (Villazán et al., 2015) which may deplete plant carbon reserves (Touchette and Burkholder, 2000). For the seagrass Zostera marina, water-column NO3- enrichment with light reduction, or water-column NO3-enrichment with elevated temperature, caused lower shoot survival compared to single stressor treatments (Burkholder and Gilbert, 2013). Likewise, high ammonium levels paired with reduced light were hypothesized to impair H. wrightii (Kaldy et al., 2004).
Growth of N-limited seagrass can be stimulated by N influx (Irlandi et al., 2004; Govers et al., 2014; Mutchler and Hoffman, 2017; Hirst and Jenkins, 2017) resulting in increased seagrass leaf chlorophyll concentration and stimulation of photosynthesis (Lee and Dunton, 1999; Nielsen et al., 2004; Fourqurean et al., 2007). However, when Burkholder et al. (1994) subjected H. wrightii, Ruppia maritima, and Z. marina to 5 and 10 µM NO3-, they found leaf growth in Z. marina declined while H. wrightii and R. maritima growth was stimulated. It is unclear if the effect on Z. marina was related to NO3- “toxicity” or a pH increase leading to CO2 limitation that accompanied the nitrate addition to tanks (Kaldy et al., 2022). Ammonium enrichment of the water column caused mortality in the seagrass Z. noltii when photosynthetic rates were not sufficient to supply enough carbon skeletons needed to assimilate nitrogen (Brun et al., 2002). Ammonium at levels as low as 25 µM were found to be toxic to Z. marina (van Katwijk et al., 1997). The reduced form of N prevalent in anoxic sediments can be stimulatory to a point, but excessive NH4+ levels may be accompanied by high levels of toxic sulfide in anoxic sediments (Lee and Dunton, 2000). Stable N isotope measures (δ15N) are useful ecological tools because they integrate ecological processes and can be used as nutrient tracers (Lepoint et al., 2004). Dillon and Chanton (2008) used stable isotope values to assess the incorporation of δ15N in tissues of macroalgae and seagrass. Under the influence of increased water column NO3- H. wrightii should become isotopically enriched relative to the Controls and incorporate 15N from the water column N (as NO3-).
1.3 Interactive effects of hyposalinity and nitrogen loading
The negative impacts of environmental stressors can be exacerbated when they occur in combinations, however, not many studies have examined the interactive effects between hyposalinity and elevated water column N (Kahn and Durako, 2006; Stockbridge et al., 2020; Ostrowski et al., 2021). van Katwijk et al. (1999) found that Z. marina could tolerate high N levels (ammonium) at low salinity but not at high salinities. Jiang et al. (2013) explored interactions among two stressors, nutrients and salinity, for Thalassa hemprichii. “Pre-shading” plants before applying the stressors exacerbated the negative effects of hyposalinity and NO3- enrichment on leaf growth. The combination of pre-shading and reduced salinity induced non-structural carbohydrate (NSC) translocation from below-ground to above-ground parts and activated stress-related enzymes. Beck et al. (2024) found that seagrass declines were “somewhat associated” with increasing water temperatures and decreasing salinities and suggested that natural resource managers consider the reduced seagrass resilience due to these factors.
Two meta-studies concluded the need for more knowledge of how combinations of stressors interact and their types of interactions under realistic conditions (Stockbridge et al., 2020; Ostrowski et al., 2021). With climate change, increased frequency, intensity and duration of storms are predicted (Knutson, 2015). Amplified FWI events could place seagrass at risk, particularly in low FWI estuaries (Beck et al., 2024) like the LLM of Texas, so an understanding of the combined impacts of hyposalinity and elevated nitrogen levels on seagrasses is needed. This study addressed how the combination of hyposalinity and elevated NO3- levels could impair H. wrightii physiology (leaf growth, net photosynthesis, quantum efficiency, and leaf respiration), and indicators of N metabolism (leaf %N content, molar C:N ratios and stable isotope δ15N incorporation) under conditions approximating an observed FWI event.
2 Materials and methods
2.1 Study site and plant collection
Halodule wrightii Ascherson (shoal grass) was selected for this study because it is a widespread euryhaline tropical seagrass. Plants for this microcosm study were collected as 10-cm diameter cores in July 2016 from a shallow water (50 cm depth) site in uniformly dense (5,000-8,000 shoots m-2) monotypic H. wrightii beds in the Lower Laguna Madre of Texas (26.14850, -97.18200). Water column temperature (28.7°C), salinity (37.4), pH (7.97) and dissolved oxygen (DO) (5.25 mg l-1) were measured with a calibrated Hydrolab Quanta multiprobe at the time of collection. Seawater from the site (chlorophyll <1 µg l-1; and NO3- <5 µM), collected the same day as seagrass, was used to fill 18 aquarium tanks at The University of Texas Rio Grande Valley, Edinburg, Texas. Plants with associated sediment were potted (10 cm diameter, 13 cm deep) in the field, covered with a tarp and transported within 6 hours of collection to be placed into 38 l aquaria (51 x 28 x 30.5 cm) filled with 27 l of seawater to a depth of 20 cm.
2.2 Culture
Seven pots were placed in each of 18 aquaria in a temperature-controlled chamber (Norlake Scientific, Hudson, WI). Aquarium pumps (flow rate of 200 L hr-1) were used for circulation. Light was provided with low heat T5 high output fluorescent white lights on a 14:10 light-dark cycle (320 µmol photons m-2 s-1) (Dunton, 1994). Plants were acclimated for 7 days at S35 before initiation of the experiment. Water temperature, salinity, pH, and dissolved oxygen were recorded every other day. Salinity was adjusted by adding deionized water. Tank water temperature was 25°C (± 2°C). Pots were placed randomly in aquaria and relocated daily to reduce the likelihood of a potential bias effect of location within an aquarium. Aquarium walls were cleaned daily to reduce development of periphyton. Aquaria were assigned a salinity and nitrogen treatment (3 replicates per treatment) using a random number generator in Microsoft Excel.
2.3 Treatments
2.3.1 Pulsed salinity decrease
Of the 18 tanks used in the experiment, nine were maintained at S35 throughout the experiment (Figure 1). In the other nine tanks (designated S5 endpoint), salinity was reduced sequentially (Drops 1–3 respectively) from S35 to S23 to S15 then S5. Each intermediate hyposalinity was maintained for several days to allow time for metabolic and physiological adjustments specifically, 4 days at S23, 6 days at S15, and 3 days at S5. For the initial 7-day acclimation period and each subsequent intermediate salinity period, the first and last days (salinity drops on days 7, 11, and 17) were approximately half of the day at the higher salinity and half of the day at the lower salinity. When averaged over time, salinity change rates approximated the maximum mean salinity change rates of the water column following the Hurricane Alex freshet of 2010 (Kowalski et al., 2018).
Figure 1

Experimental design and salinity drop schedule for microcosms with Control (S35/No N), hyposalinity (S5) and added nitrate (as KNO3) at two levels (30 µM and 60 µM NO3-). (A) Experimental aquaria setup showing salinity and nitrogen treatments. (B) Salinity reduction scheme during the 20-day experiment. Besides the 9 salinity reduction aquaria, there were 9 aquaria that were maintained at a salinity of 35 (Control) for the duration of the experiment. Following Drop 1, salinity reduction aquaria remained at reduced salinity for 4 days, then 6 days following Drop 2 and 3 days following Drop 3. Nitrate spikes were added to appropriate aquaria after each salinity change.
2.3.2 Nitrogen additions
Aquaria were also randomly assigned as a N Control (No N, no N added), Low N treatment (30 µM NO3-), or High N treatment (60 µM NO3-) (Figure 1). Levels and forms of nitrogen in storm runoff are highly variable (Jani et al., 2020). But nitrate is typically a large component of N in FWI (Jani et al., 2020) immediately available to plants. Added levels of NO3- N were based on observations of 108 and 14 µM NO3- levels in a storm runoff channel and a nearby seagrass bed, respectively (DeYoe et al., 2023). Most LLM seagrass beds have ~ 1 µM or less of NO3- outside of storm events, and average N:P ratios of ~23 (Cuddy and Dunton, 2023). All treatment combinations were done in triplicate aquaria. To maintain N concentrations that occur during extended stormwater runoff events (Mallin et al., 1999), the Low and High N aquaria were amended with KNO3 to the treatment concentrations the same day that salinity reductions occurred. Water samples were collected from each aquarium for water column nitrite-nitrate analysis before and after N additions. The source KNO3 used for the N additions had a δ15N value of -2.75‰. The cadmium reduction method (Parsons et al., 1984) was used for nitrite-nitrate assays.
2.4 Leaf carbon and nitrogen
At the end of the experiment (Day 20), 100 mg wet weight of leaf tissue was removed from each aquarium, rinsed in distilled water, dried at 70°C for 2 days, ground to a fine powder and weighed to the nearest µg for 15N, percent C and N analysis, and calculation of molar C and N ratios. Leaf samples were analyzed for N isotope ratios and leaf C and N content at the University of California Davis Stable Isotope Facility with a PDZ Europa ANCA-GSL elemental analyzer interfaced to a PDZ Europa 20–20 isotope ratio mass spectrometer (Sercon Ltd., Cheshire, UK). Samples were not acidified to remove inorganic carbon since acidification can alter δ15N signatures (Ng et al., 2007). Final δ15N values are expressed relative to international air standards for N.
2.5 Shoot production
The leaf-puncture method of Kowalski et al. (2001) was used to measure shoot production rates. Pots were randomly selected from each replicate treatment aquarium, and 20 shoots were pierced with a 28-gauge hypodermic needle (<0.5 mm diameter) just above the basal meristem on the first day of the 13-day (not counting the 7-d acclimation period) experiment. A rubber ring was placed at the base of pierced shoots so they could be located at the end of the experiment. On the last day of the experiment, marked shoots were detached from the rhizome and shoots were rinsed in deionized water and leaf segments were examined under a dissecting microscope to confirm that only pierced shoots and attendant leaves were collected. Leaves were gently scraped to remove epiphytes, measured for leaf length from the hole where shoots were pierced then new growth excised and dried at 70°C for 2 days, then weighed to the nearest 0.001 mg. Mean shoot growth was calculated as the mass of dried leaves divided by the number of shoots divided by time (days) for growth. All leaves produced per shoot were dried and weighed and shoot production rates expressed as mg dw shoot-1 d-1.
2.6 Photosynthesis
Photosynthesis measurements (O2 evolution) were made in the laboratory using Fire Sting (PyroScience, Inc., Germany) optical dissolved oxygen (DO) fixed mini-sensor (3 mm diameter) probes interfaced with a 4-channel meter connected to a computer. Shoots were selected randomly from pots. As photosynthetic rates along a leaf vary from tip to sheath (Enríquez and Borowitzka, 2010), only the youngest emerged leaf per shoot that was long enough to obtain a 4 cm length section was used. For each measurement, one leaf from each of three shoots were placed between two clear 1 cm x 4 cm plastic mesh sheets to hold the leaves side-by-side and perpendicular to the light source to eliminate shading (Shafer et al., 2011).
To minimize accumulation of O2 in the leaf, a 10-minute lag allowed lacunal O2 concentrations to equilibrate with the surrounding water column (Herzka and Dunton, 1997). For photosynthesis measurements, O2 levels were reduced to 50% saturation or less by bubbling with N2 gas. Circulation was achieved by including a small magnetic stirrer in the reaction vessel which was placed on a magnetic stir plate. DO measurements for photosynthesis were made under saturating irradiance (ca. 320 µmol photons m-2 s-1). Three 100 W cool, white light LED bulbs were positioned perpendicular to the leaves in the reaction chambers. Dissolved oxygen measurements were logged once every five minutes for 30 minutes. Net photosynthetic rates were calculated by the difference in DO concentrations (final-initial) multiplied by chamber volume, corrected by subtracting the value of a blank, and divided by incubation time and leaf mass and expressed as µmol O2 mg-1 dw leaf hr-1.
2.7 Photosynthesis quantum efficiency
A portable pulse amplitude-modulated (PAM) fluorometer (Junior-PAM, Walz, Germany) was used to measure photosynthetic quantum efficiency (Fv/Fm; QE) on leaf sections. Leaf sections were situated 1 mm from the tip of the 1 mm diameter light pipe, held at a constant 60° angle to the leaf (see Gavin and Durako, 2014 for details). The leaf sections were submersed in treatment water of a given salinity and then covered with an opaque black fabric cloth for 15 minutes of dark acclimation prior to measurement.
2.8 Respiration
Respiration measurements were done in the same manner as photosynthesis measurements using the same leaf segments employed for photosynthesis measurements. The leaves were held in the dark for 15 minutes to draw-down photosynthetic metabolites (respiratory substrates) and diminish light-enhanced dark respiration (Griffin and Turnbull, 2012). Dissolved oxygen measurements were logged once every minute for 20 minutes. Leaf segments were rinsed in de-ionized water, dried at 70°C for 2 days, and weighed to the nearest 0.001 mg. Rates for respiration were calculated as with photosynthesis. The net photosynthetic rate (P) was divided by the respiration rate (R) to calculate the P:R ratio.
2.9 Statistics
The data were collected from eighteen different tanks at several follow-up time points; therefore, the measurements of the outcome variables shoot production, photosynthesis, quantum efficiency, leaf respiration rates, photosynthesis to respiration ratios, percent N, molar C:N ratios and isotopic signatures were expected to be correlated within each tank. Each aquarium was treated as a statistical replicate (N = 3) with final endpoint salinity of 5, compared to a Control salinity at 35. Generalized Estimating Equations (GEE) models were used to analyze the outcomes variables accounting for the within tank responses’ correlation by incorporating predefined “working” correlation structures to estimate the regression parameters and their uncertainty (Zeger and Liang, 1986). GEE are known as marginal or population-averaged models with parameter estimates representing the average difference between subjects (Zeger and Liang, 1986). The principle interest of the analysis was to test the difference in mean outcomes between the salinity and N treatment and one Control group in each of the salinity drop’s time intervals, therefore GEE models were fitted using the main effect of the salinity treatment and salinity drop and the interaction term between salinity and nitrogen treatment and salinity drop. The QIC statistic was used to select the best model’s “working” correlation structure (Hilbe, 2007). Tukey-Kramer test was used for post-hoc multiple pairwise comparisons of mean outcome between groups. All statistical analyses were conducted using SAS 9.4 (SAS Institute Inc., 2023). All statistical tests were two-sided and were performed using a significance (α) level of 0.05.
3 Results
Table 1 summarizes the GEE findings for all three salinity drops. Measures of N dynamics (%N, C:N molar ratios and δ15N signatures) were more sensitive to interactions compared to measures of metabolic performance (quantum efficiency, net photosynthesis, respiration and net photosynthesis/respiration ratios (P:R ratio)). There were significant differences within and between group comparisons for salinity (p < 0.001) and N additions (p < 0.001) for photosynthesis, leaf respiration, quantum efficiency, δ15N, %N and C:N molar ratios (Table 1).
Table 1
| Effect | Drop #1 | Drop #2 | Drop #3 | |||
|---|---|---|---|---|---|---|
| Mean difference (SE) | Tukey-Kramer adjusted p-value | Mean difference (SE) | Tukey-Kramer adjusted p-value | Mean difference (SE) | Tukey-Kramer adjusted p-value | |
| Outcome variable: leaf net photosynthetic rates |
||||||
| High N: S35 vs. Salinity trt | 30.50 (2.47) | <0.0001 | -20.31 (3.19) | <0.0001 | -14.58 (3.25) | 0.0010 |
| Low N: S35 vs. Salinity trt | 71.60 (6.24) | <0.0001 | -43.26 (0.78) | <0.0001 | -41.01 (6.09) | <0.0001 |
| No N: S35 vs. Salinity trt | 6.25 (2.36) | 0.4201 | -24.64 (1.33) | <0.0001 | -11.35 (2.64) | 0.0023 |
| S35: High N vs. Low N | -39.66 (6.13) | <0.0001 | -16.48 (1.91) | <0.0001 | -25.41 (1.55) | <0.0001 |
| S35: High N vs. No N | 28.63 (1.87) | <0.0001 | -11.47 (1.96) | <0.0001 | -10.68 (2.14) | <0.0001 |
| S35: Low N vs. No N | 68.29 (6.36) | <0.0001 | 5.01 (0.72) | <0.0001 | 14.74 (2.15) | <0.0001 |
| Salinity trt: High N vs. Low N | 1.44 (2.72) | 1 | -39.43 (2.68) | <0.0001 | -51.84 (6.6) | <0.0001 |
| Salinity trt: High N vs. No N | 4.38 (2.87) | 0.9886 | -15.80 (2.85) | <0.0001 | -7.44 (3.59) | 0.8317 |
| Salinity trt: Low N vs. No N | 2.94 (2.02) | 0.9933 | 23.63 (1.36) | <0.0001 | 44.39 (6.21) | <0.0001 |
| Outcome variable: leaf respiration rates | ||||||
| High N: S35 vs. Salinity trt | -3.82 (2.23) | 0.9650 | -27.02 (3.51) | <0.0001 | -68.83 (9.22) | <0.0001 |
| Low N: S35 vs. Salinity trt | -22.9 (7.17) | 0.1206 | -28.23 (5.59) | <0.0001 | -157.61 (8.29) | <0.0001 |
| No N: S35 vs. Salinity trt | 23.65 (2.6) | <0.0001 | -90.07 (2.44) | <0.0001 | -55.75 (6.56) | <0.0001 |
| S35: High N vs. Low N | -14.46 (5.15) | 0.3059 | -26.6 (5.53) | 0.0002 | -3.6 (3.07) | 0.9995 |
| S35: High N vs. No N | 3.48 (2.41) | 0.9940 | 46.12 (3.45) | <0.0001 | 44.63 (2.74) | <0.0001 |
| S35: Low N vs. No N | 17.94 (5.52) | 0.1037 | 72.72 (4.43) | <0.0001 | 48.23 (1.58) | <0.0001 |
| Salinity trt: High N vs. Low N | -33.54 (5.46) | <0.0000 | -27.81 (3.6) | <0.0001 | -92.38 (12.01) | <0.0001 |
| Salinity trt: High N vs. No N | 30.95 (2.43) | <0.0001 | -16.93 (2.53) | <0.0001 | 57.71 (10.98) | <0.0001 |
| Salinity trt: Low N vs. No N | 64.49 (5.25) | <0.0001 | 10.88 (4.2) | 0.4586 | 150.1 (10.45) | <0.0001 |
| Outcome variable: net photosynthesis:respiration ratio | ||||||
| High N: S35 vs. Salinity trt | 0.27 (0.05) | <0.0001 | -0.04 (0.02) | 0.9793 | 0.21 (0.04) | <0.0001 |
| Low N: S35 vs. Salinity trt | 0.51 (0.12) | 0.0028 | -0.18 (0.04) | 0.0002 | 0.26 (0.04) | <0.0001 |
| No N: S35 vs. Salinity trt | -0.46 (0.05) | <0.0001 | 0.39 (0.01) | <0.000 | 0.34 (0.03) | <0.0001 |
| S35: High N vs. Low N | -0.18 (0.12) | 0.9868 | -0.08 (0.03) | 0.4560 | -0.11 (0.04) | 0.4444 |
| S35: High N vs. No N | 0.27 (0.01) | <0.0001 | -0.48 (0.02) | <0.0001 | -0.44 (0.05) | <0.0001 |
| S35: Low N vs. No N | 0.45 (0.11) | 0.0101 | -0.4 (0.03) | <0.0001 | -0.33 (0.04) | <0.0001 |
| Salinity trt: High N vs. Low N | 0.07 (0.06) | 0.9999 | -0.23 (0.03) | <0.0001 | -0.06 (0.03) | 0.9283 |
| Salinity trt: High N vs. No N | -0.46 (0.07) | <0.0001 | -0.05 (0.02) | 0.1226 | -0.31 (0.02) | <0.0001 |
| Salinity trt: Low N vs. No N | -0.52 (0.06) | <0.000 | 0.18 (0.03) | <0.000 | -0.25 (0.03) | <0.0001 |
| Outcome variable: quantum efficiency | ||||||
| High N: S35 vs. Salinity trt | -0.01 (0.002) | 0.2035 | -0.020 (0.01) | 0.0020 | 0.07 (0.01) | <0.0001 |
| Low N: S35 vs. Salinity trt | -0.004 (0.01) | 1 | 0.002 (0.01) | 1 | 0.002 (0.001) | 0.9843 |
| No N: S35 vs. Salinity trt | -0.01 (0.01) | 0.8785 | 0.010 (0.004) | 0.0242 | -0.03 (0.004) | <0.0001 |
| S35: High N vs. Low N | 0.01 (0.004) | 0.8888 | 0.020 (0.003) | <0.0001 | 0.02 (0.01) | 0.0045 |
| S35: High N vs. No N | 0.02 (0.002) | <0.0001 | 0.030 (0.01) | <0.0001 | 0.03 (0.01) | <0.0001 |
| S35: Low N vs. No N | 0.01 (0.004) | 0.0307 | 0.020 (0.01) | 0.0679 | 0.01 (0.002) | <0.0001 |
| Salinity trt: High N vs. Low N | 0.01 (0.003) | 0.3627 | -0.004 (0.01) | 1 | -0.05 (0.001) | <0.0001 |
| Salinity trt: High N vs. No N | 0.02 (0.01) | 0.1467 | 0.002 (0.004) | 1 | -0.06 (0.003) | <0.0001 |
| Salinity trt: Low N vs. No N | 0.01 (0.01) | 0.9984 | 0.010 (0.01) | 1 | -0.02 (0.004) | 0.0005 |
| Outcome variable: leaf %N | ||||||
| High N: S35 vs. Salinity trt | 0.29 (0.02) | <0.0001 | -0.18 (0.002) | <0.0001 | -0.55 (0.02) | <0.0001 |
| Low N: S35 vs. Salinity trt | 0.56 (0.01) | <0.0001 | 0.02 (0.01) | 0.9451 | -0.06 (0.02) | 0.3817 |
| No N: S35 vs. Salinity trt | 0.03 (0.01) | 0.1239 | 0.53 (0.02) | <0.0001 | -0.49 (0.01) | <0.0001 |
| S35: High N vs. Low N | 0.03 (0.01) | 0.1338 | 0.04 (0.01) | 0.2543 | 0.1 (0.02) | <0.0001 |
| S35: High N vs. No N | 0.20 (0.01) | <0.0001 | 0.54 (0.01) | <0.0001 | 0.28 (0.02) | <0.0001 |
| S35: Low N vs. No N | 0.16 (0.01) | <0.000 | 0.50 (0.02) | <0.0001 | 0.18 (0.01) | <0.0001 |
| Salinity trt: High N vs. Low N | 0.3 (0.02) | <0.0001 | 0.24 (0.004) | <0.0001 | 0.59 (0.02) | <0.0001 |
| Salinity trt: High N vs. No N | -0.13 (0.02) | <0.0001 | 0.19 (0.01) | <0.0001 | 0.34 (0.01) | <0.0001 |
| Salinity trt: Low N vs. No N | -0.43 (0.01) | <0.0001 | -0.05 (0.01) | 0.0082 | -0.25 (0.02) | <0.0001 |
| Outcome variable: leaf C to N ratio | ||||||
| High N: S35 vs. Salinity trt | -2.09 (0.06) | <0.0001 | 0.82 (0.08) | <0.0001 | 2.89 (0.13) | <0.0001 |
| Low N: S35 vs. Salinity trt | -6.42 (0.08) | <0.0001 | -0.92 (0.05) | <0.0001 | -0.73 (0.04) | <0.0001 |
| No N: S35 vs. Salinity trt | -0.16 (0.08) | 0.8320 | 5.00 (0.11) | <0.0001 | 4.32 (0.04) | <0.0001 |
| S35: High N vs. Low N | -0.41 (0.02) | <0.0001 | -0.14 (0.07) | 0.8937 | -1.1 (0.1) | <0.0001 |
| S35: High N vs. No N | -1.72 (0.04) | <0.0001 | -5.79 (0.09) | <0.0001 | -3.6 (0.11) | <0.0001 |
| S35: Low N vs. No N | -1.31 (0.04) | <0.0001 | -5.65 (0.06) | <0.0001 | 2.55 (0.04) | <0.0001 |
| Salinity trt: High N vs. Low N | -4.74 (0.1) | <0.0001 | -1.88 (0.05) | <0.0001 | -4.71 (0.09) | <0.0001 |
| Salinity trt: High N vs. No N | 0.21 (0.09) | 0.6216 | -1.61 (0.09) | <0.0001 | -2.16 (0.08) | <0.0001 |
| Salinity trt: Low N vs. No N | 4.95 (0.1) | <0.0001 | 0.27 (0.1) | 0.3679 | -2.5 (0.04) | <0.0001 |
| Outcome variable: leaf δ15N | ||||||
| High N: S35 vs. Salinity trt | -0.58 (0.15) | 0.0103 | 0.54 (0.14) | 0.0194 | -0.57 (0.14) | 0.0104 |
| Low N: S35 vs. Salinity trt | -0.56 (0.23) | 0.5843 | 0.21 (0.06) | 0.0905 | -0.53 (0.09) | <0.0001 |
| No N: S35 vs. Salinity trt | 1.65 (0.1) | <0.0001 | -0.48 (0.12) | 0.0126 | 0.12 (0.14) | 1 |
| S35: High N vs. Low N | -1.09 (0.13) | <0.0001 | -0.13 (0.04) | 0.1843 | -0.27 (0.15) | 0.9360 |
| S35: High N vs. No N | -1.04 (0.12) | <0.0001 | -0.1 (0.12) | 1 | -0.58 (0.16) | 0.0227 |
| S35: Low N vs. No N | 0.05 (0.13) | 1 | 0.03 (0.12) | 1 | -0.32 (0.08) | 0.0030 |
| Salinity trt: High N vs. Low N | -1.08 (0.24) | 0.0010 | -0.46 (0.15) | 0.1806 | -0.23 (0.09) | 0.3960 |
| Salinity trt: High N vs. No N | 1.19 (0.13) | <0.0001 | -0.16 (0.14) | 0.9997 | 0.11 (0.12) | 1 |
| Salinity trt: Low N vs. No N | 2.27 (0.22) | <0.0001 | 0.3 (0.07) | 0.0033 | 0.34 (0.15) | 0.6854 |
Estimated interaction effects between nitrogen levels and salinity levels using Generalized Estimating Equations (GEE) models to analyze Halodule wrightii variations in net photosynthesis, respiration rates, net photosynthesis to leaf respiration ratios, quantum efficiency, leaf percent nitrogen, leaf C:N molar ratios and leaf δ15N, as functions of salinity drops (S23, S15 and S5) and KNO3 additions at 30 µM (Low N) and 60 µM, (High N), compared to S35 control with no N additions (No N).
Units for each parameter: net photosynthesis and respiration rates, µmol O2 g-1 dw leaf hr-1; photosynthesis to respiration ratios (unitless); quantum efficiency, Fv/Fm; Leaf nitrogen as % nitrogen; C:N ratios, carbon and nitrogen moles; δ15N as ‰.
Bold face values indicate statistically significant differences.
3.1 Shoot production
Effects of hyposalinity or N treatments on shoot production rates were not notable, except for a 20% decrease for the S5/No N treatment compared to S35/No N (Figure 2; P = 0.05). N added treatments had no effect on mean shoot production at S35 but at S5 added N did stimulate shoot production, i.e., S5/Low N was 45% greater while S5/High N was 28% greater compared to S5/No N. Pairwise differences in shoot production were nearly different by salinity without added N (P = 0.05) and significantly by Low N treatment at S5 (P = 0.004; P = 0.051 for High N) and salinity-N interaction (P = 0.037).
Figure 2

Halodule wrightii mean shoot production (mg dw shoot d-1) (± SEM) at S35 (control) and S5. Nitrogen treatments (as KNO3) were 30 µM (Low N) and 60 µM (High N). N = 6 to 11.
3.2 Net photosynthesis and quantum efficiency
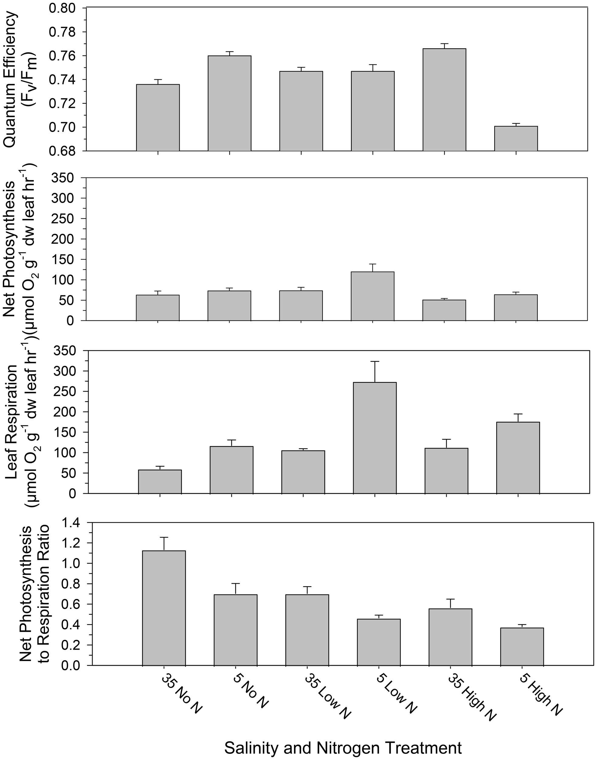
Seagrass maximum net photosynthetic rates were significantly affected by all treatments (Figure 3; Table 1). The photosynthetic rate at S5/Low N was about 2-fold higher than S35/No N Control and was 60% higher than the S5/No N treatment. The Low N treatment at S35 was only 23% greater compared to the S35/No N Control. Net photosynthetic rates for High N treatments were ~15% lower than their respective No N Controls for both salinities. Thus, there were stimulatory versus inhibitory effects of the low and high N additions, respectively, on net photosynthesis. The effects of salinity treatment and N additions were highly significant (P < 0.001, P = 0.002, respectively), as was the salinity-nitrogen interaction (Table 1).
Figure 3

Halodule wrightii mean values (± SEM) for quantum efficiency, net photosynthesis and respiration rates, and net photosynthesis to respiration ratios only at experimental endpoint (salinity Drop 3). Plants were subjected to N levels (as KNO3) at 30 µM (Low N) and 60 µM (High N) compared to control with no N additions (No N). Where there is no error bar, error is smaller than error symbol. N = 3 for control and treatments. Graphs for each parameter at all drops (intermediate salinities) are in Supplementary Material.
Quantum efficiency increased significantly with added N at S35 (P < 0.001) but did just the opposite at S5 i.e., small increases (~ 4%) with N addition at S35 were in contrast to S5 where N addition reduced QE by 2% at Low N and 8% at High N (Figure 3). The S5/High N plants had the lowest QE value (0.7) which was highly significant (P < 0.0001). QE for hyposalinity alone (S5/No N) was slightly higher (4%) than the S35/No N Control value.
3.2 Respiration
Leaf respiration rates were significantly stimulated by both hyposalinity and N treatments in an interactive manner (Figure 3, Table 1). Separately, the influence of salinity and N treatments were highly significant (P < 0.001), as was salinity-N treatment interaction (P = 0.009) (Table 1). Rates were consistently greater at low salinity (S5) compared to S35 at either N treatment. The combination of hyposalinity and either N addition treatment increased respiration rate more than either hyposalinity or N addition alone. In comparison to the S35/No N Control, leaf respiration increased 2-fold for hyposalinity or 1.5 to 1.8-fold for N treatments individually, while at S5, the N treatments further increased respiration 1.5 to 2.3-fold. Respiration from the combined S5/+N addition treatments were 3 to 5-fold greater compared to the S35/No N Control. Although there was an increasing respiration trend with added N at S35, at S5/High N respiration was lower than the S5/Low N value, inconsistent with the trend at S35 (Figure 3).
3.3 Net photosynthesis to respiration ratio (P:R)
Except for S35/No N Control (P:R ~1.2), the mean P:R ratios for all treatments were less than 0.7 at the end of the experiment (Figure 3). Hyposalinity alone decreased the ratio to 0.7. Added N decreased the P:R ratios in a concentration dependent manner at both salinities, but the relative magnitude of decrease from the added N was much greater at S35 than at S5, with final ratios of 0.6 and 0.4, respectively. Despite the high individual rates for P and R separately in the S5/Low N treatment, its P:R ratio was similar to that of the other two S5 treatments.
3.4 Halodule leaf %N, C:N ratios and δ15N
In comparison to S35/No N (Control), all treatments had lower C:N molar ratios and higher %N levels (Figure 4). Regardless of salinity, High N resulted in greater changes than Low N for C:N and %N. The leaf % N content was 1.8% in the S35/No N but was higher in all other treatments by ~10 to 50% relatively. At S35, the %N increase trended proportionally with the added N concentration, consistent with assimilation of supplemented N. Nitrogen addition at S5 did not show a consistent trend: S5/No N was ~2.3%, S5/Low N was lower at ~2.0% with the highest %N for S5/High N plants (~2.8%). Salinity treatment, N treatment, and salinity-N treatment interaction were all significantly different (P < 0.001) (Table 1).
Figure 4

Halodule wrightii mean values (± SEM) for leaf percent nitrogen, leaf C:N molar ratios, and leaf δ15N (‰). Only experimental endpoint Drop 3 data are shown. Plants were subjected to N levels (as NO3-) at 30 µM (Low N) and 60 µM (High N) compared to control No N addition (No N). Where there is no error bar, error is smaller than error symbol. N = 3 for controls and treatments. Graphs for each parameter at all drops are in Supplementary Material.
Leaf C:N ratios decreased from 22.5 in Control to as low as 16.5 for all treatments, concomitant with the increases in %N (Figure 4; Table 1). The greatest N-induced changes occurred for the High N treatments at both salinities (-16% and -27% at S35 and S5, respectively). Salinity treatment, N treatment, and salinity-N treatment interaction were all significant (P < 0.001) (Table 1). The S5 Low N values for C:N and %N did not fit the N-induced trends in these parameters observed at S35, but these results reflect the combined impact of added N with hyposalinity.
The δ15N value at S35 was reduced for Low (+2.70‰) and High N (+2.44‰) treatments compared to No N (+3.01‰) consistent with uptake of added NO3- (P = 0.009) (Figure 4, Table 1). The δ15N value of KNO3 used for N additions was -2.75‰. In contrast to the S35 results, and seemingly counter to the measured increase of % N and decrease of C:N at S5 hyposalinity, the δ15N value for S5/No N (+2.89‰) was lower than the values for S5/Low N (+3.23‰) or S5/High N (+3.00‰) treatments suggesting no uptake of the added N. Overall, δ15N differences for salinity alone were significant (P = 0.004) and significant for salinity-N interaction (P = 0.014), but not for N alone (Table 1). N-induced differences relative to the No N treatments were altered by hyposalinity, supporting an interactive effect of hyposalinity and N addition.
4 Discussion
This experiment compared the individual and combined effects of hyposalinity and two levels of NO3- on H. wrightii shoot production, physiological parameters and indicators of N status/metabolism. Leaf growth integrated the response to the stressors whereas the physiological and nitrogen indicators revealed shorter term underlying metabolic responses.
Mean shoot growth decreased ~20% with hyposalinity treatment alone (P = 0.05) in this short-term experiment. Nitrate additions had no significant effects at normal salinity (S35), but NO3- addition combined with hyposalinity resulted in greater leaf production compared to S5/No N (P = 0.04), suggesting compensation of hyposalinity-induced growth inhibition. For the physiological parameters, all hyposalinity and nitrogen treatments maintained or increased rates of net photosynthesis and respiration, but the P:R ratio decreased significantly for both treatments compared to the Control (Figure 3) and there were additive negative effects of the two stressors that were N concentration dependent.
However, for 5 of the 7 physiological parameters at S5, the Low N values were either lower or higher, respectively, than No N and High N treatments. The P:R ratio decreased up to 3-fold, primarily due to additively increased respiration from both hyposalinity and NO3- addition. Leaf %N increased and C:N ratio decreased concomitantly with applied stressors. The greatest change was observed for the combination of hyposalinity and high N addition. These measures are consistent with uptake of added N, increased respiration and depletion of carbon. However, there were disparate effects of Low versus High N at S5. At S35, the magnitudes of the observed effects trended with the amount of added N and δ15N decreased consistent with uptake of added NO3-. However, at S5, the lack of δ15N significance suggested instead that added NO3- was not taken up by the leaves, despite increased %N and increased shoot production by N addition. This increased leaf N in the absence of isotopic evidence of nitrate uptake at S5 is best interpreted as combined stressor-induced alteration of C- and/or N-metabolisms for which there is evidence in multiple species and stressors (Bian et al., 2020; Alvarez et al., 2022; Kowalski et al., 2024). We hypothesize these alterations involve translocation of stored N (most likely as amino acids) from rhizomes-roots to the leaves (Jiang et al., 2013; Tegeder and Masclaux-Daubresse, 2018; Vega et al., 2019; Wang et al., 2021; Yang et al., 2023) as this could increase leaf N in the absence of external N uptake. The interactive effects of hyposalinity and NO3- are consistent with integrated C- and N-metabolism (Bian et al., 2020; Oddy et al., 2020; Carillo and Rouphael, 2022) and further suggest different metabolic networks at 30 versus 60 µM NO3- under hyposalinity, evidenced by the differing effects of Low vs High N additions. These interpretations contribute testable hypotheses for future – omics studies needed to resolve plant responses to interacting FWI stressors.
Regardless of treatment (hyposalinity and/or N addition), there was shoot production (Figure 2). Even though stressors had mixed effects on photosynthesis while increasing respiration, there were sufficient carbon reserves (probably from rhizomes) available in the plants (Wang et al., 2021; Jiang et al., 2013) to accommodate shoot growth for the duration of the experiment. Shoot production values from this study are similar to those from an earlier H. wrightii study for the LLM of Texas (Kowalski et al., 2009). Perhaps this experiment was too short (20 days) to see negative effects on shoot production, but it is notable that NO3- addition ameliorated the growth inhibition at hyposalinity without impacting growth at normal salinity. This suggests that leaves were not N-limited at S5 during the experiment since they did grow without apparent uptake and assimilation of external N as suggested by the leaf δ15N data.
4.1 Physiological parameters
The physiological parameters revealed significant and patterned responses to individual and combined stressors (Figure 3). Hyposalinity alone increased net photosynthesis (~15%, non-significant), QE (~4%), and doubled respiration. Low and High N additions had, respectively, stimulatory and inhibitory (or less positive) effects on net photosynthetic rates at both salinities. The differences were not significant at S35, but notable and significant for S5/Low N. The N additions also increased QE (+4% for High N) at S35 but significantly decreased QE at S5 (-8% at High N). R. maritima exhibited an almost immediate decrease in photosynthesis after salinity decreased from 35 to 10, however, it could adapt osmotically over a period of 1–2 days (Murphy et al., 2003). Although our experiment was relatively short (13 days at various hyposalinities), measurements after each salinity drop showed progressive changes in physiological parameters (Supplementary Figures S1-S7) which may represent adjustments in C metabolism as discussed below. The decline in QE may serve as a means to avoid damage to the photosynthetic apparatus when plants are under stress (Niyogi, 2000). Kongrueang et al. (2018) found that both hypo- and hypersaline conditions reduced the QE of the seagrass Enhalus acoroides seedlings.
Respiration at S35 nearly doubled with N addition regardless of N concentration, but at S5, Low N addition respiration rates were 2.3-fold greater than S5 No N and ~4.6-fold greater than the S35 Control. In contrast, High N had a less positive effect on respiration at S5 (only ~1.5-fold that of the S5 No N).
The ratio of net photosynthesis to respiration (P:R) revealed the balance between the two major energy production/expenditure processes involved in carbon metabolism. Except for S35/No N Control,bH. wrightii P:R ratios for all treatments were 0.7 or less, and significantly less than the Control (1.1) (Figure 3). This implies that the Control (S35/No N) produced more reserve carbon potentially for use in growth and reproduction than plants from the other treatments. The sharp increase in leaf respiration rates in this study was likely due to the high simultaneous energy costs of hyposalinity (Shafer et al., 2011; Kowalski et al., 2024) and assimilation of N by leaves (Touchette and Burkholder, 2000). This is notable since it implies that under conditions of hyposalinity and excessive nitrogen loading there is potential to decrease the resiliency of H. wrightii due to reduced capacity to produce reserve carbon (non-structural carbon reserves) for growth or reproduction (Jiang et al., 2013). Further studies of longer duration are needed to explore potential linkage to seagrass resiliency.
The contrasting effects of Low vs High N additions and the different salinities on photosynthesis, QE and respiration, positive at low and negative (or less positive) at high N concentrations, were unexpected and suggest metabolic reprogramming (Xu and Fu, 2022) from the interactive stressors. Low N had a greater stimulatory effect on photosynthetic rate than did High N at either salinity and QE increased or decreased, respectively, by N additions at S35 or S5. Similarly, Low N had a greater stimulatory effect on respiration than did High N only at S5. Increased respiration appears to be a response of H. wrightii to both hyposalinity and N addition separately, but their interaction is complex. The range of average leaf respiration rates in this study was comparable to field measurements of H. wrightii respiration by Dunton (1996).
The lesser effects on photosynthesis and respiration at High N compared to Low N (at both salinities) might result from dysregulation of N metabolism (Tegeder and Masclaux-Daubresse, 2018; Vega et al., 2019; Shilpha et al., 2023) and subsequent disruption of C metabolism (Coschigano et al., 1998; Britto and Kronzucker, 2002; van der Heide et al., 2008; Tsuno et al., 2011; Villazán et al., 2015; Wang et al., 2018; Carillo and Rouphael, 2022) due to organic acid depletion (Paul and Pellny, 2003). NO3- itself can serve as a regulatory molecule triggering gene expression changes that divert carbon, including decreased starch synthesis and increased production of organic acids and amino acids in plants (Wang et al., 2018; Carillo and Rouphael, 2022). Different metabolic networks at 30 versus 60 µM NO3- under conditions of hyposalinity would explain the observed disparate effects of low vs high N additions. Future studies with proteomics and metabolomics techniques could reveal how these metabolic networks shift (Xu and Fu, 2022). As noted by Jiang et al. (2013), seagrass with diminished non-structural carbohydrate (NSC) reserves may be especially susceptible to stressors where the plant response relies on NSC as a source of osmoticum and carbon skeletons for ammonium assimilation. NSC reserves decreased for the combination of reduced salinity and NO3- enrichment in T. hemprichii (Jiang et al., 2013).
NSC reserves likely supported a large part of the increased respiration for energy production in this study. Benjamin et al. (1999) found that the rhizome diameter of Halophila ovalis decreased when plants were grown at a reduced salinity (10), suggesting that the plants were expending rhizome carbon (NSC) under hyposaline conditions. Murphy et al. (2003) found reduced starch reserves and increased soluble sugars under hyposalinity in R. maritima.
4.2 Effects of stressors on N status and metabolism indicators
The N status measures showed increased leaf N content and decreased C:N ratios for both N treatments and hyposalinity (Figure 4). Hyposalinity alone (S5/No N) resulted in the %N value being 27% higher compared to Control, indicating that stress can increase leaf N in the absence of added N. The magnitude of the % N change was related to the amount of N added with one exception (S5 Low N), and the effect was greatest when hyposalinity was combined with the highest level of N (46% vs Control). Only at S35 did the observed δ15N changes of H. wrightii leaves provide evidence of N incorporation from added NO3- in the water column. The leaf δ15N values decreased as expected (i.e. became more depleted by up to 0.5‰, a decrease of 19%) for the uptake of external N with a δ15N value of -2.75‰. The initial S35 Control δ15N value of ~+3 was typical for H. wrightii (Cuddy and Dunton, 2023).
The nitrate-induced changes in δ15N seen at S35 were not seen at S5 however. The S5 mean leaf δ15N values did not change significantly compared to the original S35 Control, and despite 17 - 46% increases in %N with 0 - 60 µM N additions (Figure 4, Table 1). For hyposalinity stress alone, %N increased in the absence of added N, and when N was added at S5, there was no new N assimilation apparent based on δ15N values, despite changes in physiological parameters. This implies another source for the increased N, such as translocation of N from rhizomes-roots to the leaves, as seen for eight seagrass species by Marbà et al. (2002). If this is the case, then alteration of N-metabolism, and reallocation is suggested (Kaldy, 2011; Marbà et al., 2002) to explain increased leaf N in the absence of new N assimilation (Hemminga et al., 1991; Wang et al., 2018; Yang et al., 2023). In a parallel study, Kowalski et al. (2024) found that the same S5 hyposalinity treatment depleted the leaves of ions (including K+, Cl-, Ca+2), osmoticum, and, by inference, C skeletons. These ions are all regulatory and could potentially signal altered C metabolism. The large pool of free proline (1 N atom) amino acids was replaced by a new large pool of asparagine (2 N atoms) (Kowalski et al., 2024), a mechanism that would reduce osmoticum and make more C available for respiration while conserving N levels.
Energy from NSC (Jiang et al., 2013), and C skeletons from amino acids could be translocated from below-ground stores to shoots. The N-rich amino acids might retain their original δ15N signature yet add to the N content of the leaf tissue so the leaf δ15N value would not be greatly affected, assuming leaves and rhizomes-roots have nearly the same δ15N signature. This scenario is consistent with our observations and suggests that NO3- uptake into leaves was either blocked (Sandoval-Gil et al., 2019) and/or affected by N secretion (Bian et al., 2020) of the absorbed NO3-. The latter explanation would only work if the N secretion process were highly selective for the lighter N isotope, and, importantly, if the N translocation into leaves were biased to favor the heavier N isotope (which is unlikely). We thus favor the interpretation that the added NO3- was not taken up into leaves. As we did not measure the N content of rhizomes-roots in this study, future work should examine this scenario.
Coordination of whole plant response is complex and, beyond the immediate scope of this work, likely involves additional metabolisms related to homeostasis of ions, pH and phosphorus (Ye et al., 2022). Phloem NO3- transport also has an important role in NO3- homeostasis (Tegeder and Masclaux-Daubresse, 2018) and plant growth regulation, and many NO3- transporters in rice and Arabidopsis have been characterized as to their contributions towards N allocation for growth and stress response (Sun et al., 2013; Wang et al., 2018; Ye et al., 2022; Carillo and Rouphael, 2022). These concepts are consistent with a large body of research on the regulation of nitrogen use efficiency (NUE) and impacts of stressors in model plant systems (Sun et al., 2013; Wang et al., 2018; Landrein et al., 2018; Carillo and Rouphael, 2022; Xu and Fu, 2022; Yang et al., 2023). It is reasonable to expect some conservation of these functions in the seagrasses.
The H. wrightii leaves used for all of the assays in this work were young (but at least 4 cm in length) to avoid complications with epiphyte fouling. By the end of the 3rd drop most remaining leaves represented new growth which would have developed under the environmental conditions of the applied stressors and probably drew N and C reserves from the root/rhizome (Marbà et al., 2002; Wang et al., 2018; Ota et al., 2020; Yang et al., 2023).
4.3 Changes during the salinity drop regime
The foregoing was based primarily on differences observed at the experimental endpoint i.e., after Drop 3. Since salinity was reduced in three steps (35→23→15→5) during the experiment, hyposalinity stress was presumably exacerbated over time. Supplementary Figures S1-S7 show details of measured physiological and N status parameters with each salinity drop. At Drop 1, δ15N at S23 Low or High N were not lower than the No N. For the same time at S35, δ15N values for only High N (δ15N=1.85) were reduced compared to No N treatment (δ15N=2.88). After Drop 2, there was 15N uptake by S35/High N (δ15N = 2.72) compared to the respective No N treatment (δ15N=2.82). It appears that 15N uptake was initiated at the time of Drop 1 but only in the S35 High N treatments. At experimental endpoint (Drop 3), leaf δ15N did indicate significant 15N uptake at S35 Low and High N but not by Low or High N at S5. Added N combined with hyposalinity seemed to impact the δ15N dynamics throughout the experiment.
4.4 Potential implications of combined stressor impacts
Gavin and Durako (2014) and Griffin and Durako (2012) found that under low salinity (5 and 10), H. johnsonii tolerated short-term reductions better than prolonged salinity reductions. Benjamin et al. (1999) found H. ovalis variably intolerant to prolonged hyposalinity. Long-term exposure to hyposalinity would cost plants stored carbon through diversion to respiration instead of being used for growth and reproduction. Seagrasses in general may be more vulnerable when rhizome carbon reserves are low, e.g. due to hyposalinity, nitrogen loading (Jiang et al., 2013), light-limited conditions (Kaldy et al., 2004; Jiang et al., 2013) or early in the growing season (Kowalski et al., 2009). DeYoe et al. (2023) suggested that seagrass decline in the LLM of Texas was related to the combined effects of hyposalinity and nitrogen loading.
5 Conclusions
The purpose of this study was to examine the combined effects of two common freshwater inflow stressors, hyposalinity and nitrogen loading, on the seagrass H. wrightii. The energy loss from combined hyposalinity and N stressors, increased leaf %N, and δ15N-indicated differences in uptake of external NO3- at the different salinities suggested interactive regulation of plant responses related to whole plant coordination of N- and C-metabolisms and shoot development. Different metabolic networks were presumably at work at 30 versus 60 µM NO3- under conditions of hyposalinity, but not so at S35. Coordination of whole plant response is complex and there remains an incomplete understanding of N assimilation and reallocation during the simultaneous leaf growth and senescence that occurs in H. wrightii so it is not yet possible to predict seagrass bed or ecosystem level impacts from the physiological responses. Moreover, while added N appeared to relieve the growth impairment observed from hyposalinity, the magnitude and timing of multiple stressor exposures could lead to great variation in resulting impacts. Further studies are required to enable modeling of the potential impacts for seagrass management (Stockbridge et al., 2020; Ostrowski et al., 2021).
A major implication of this study is that simultaneous stressors, hyposalinity and N loading, typical of substantial FWI events, could potentially have detrimental effects on H. wrightii with respect to plant resilience. This phenomenon might apply to other seagrass species also. If so, coastal managers and seagrass conservation efforts should consider the impacts the combined effects of salinity regimes and nitrogen loading have on seagrass persistence.
Statements
Data availability statement
The raw data supporting the conclusions of this article will be made available by the authors, without undue reservation.
Author contributions
JK: Writing – original draft, Writing – review & editing, Formal Analysis, Investigation, Methodology, Resources. HD: Writing – review & editing, Formal Analysis. KC: Funding acquisition, Resources, Writing – original draft, Writing – review & editing, Investigation, Methodology. KV: Formal Analysis, Writing – review & editing, Methodology.
Funding
The author(s) declared that financial support was received for this work and/or its publication. Financial Support: Partial support was provided by a Texas A&M University-Corpus Christi Research Enhancement Grant to Kirk Cammarata. Publication costs were provided by the School of Earth, Environmental and Marine Sciences at The University of Texas Rio Grande Valley.
Acknowledgments
This work was possible due to the dedicated crews who helped in the set-up of the aquaria, collection, care, and transport of the seagrass from field to laboratory: Nellie Kowalski, Michael Songcayauon, Isaac Peña, Stephanie Bilodeau, and Julie Dominguez. Field help was provided by Larry Shriver. Logistical support was provided by the University of Texas Rio Grande Valley Coastal Studies Laboratory, South Padre Island, Texas. The logistical support of Thomas Eubanks and Michael Persans (University of Texas Rio Grande Valley) was invaluable for numerous aspects of this project. We thank Sarah Quintanilla, for her invaluable help and discussions she provided in the experimental work. Thanks to Jim Kaldy for his helpful discussions and improving the manuscript. Paul Zimba loaned the Fire Sting equipment. Partial support was provided by a Texas A&M University-Corpus Christi Research Enhancement Grant to Kirk Cammarata. The authors would also like to acknowledge the helpful suggestions and comments from several reviewers.
Conflict of interest
The author(s) declared that this work was conducted in the absence of any commercial or financial relationships that could be construed as a potential conflict of interest.
Generative AI statement
The author(s) declared that generative AI was not used in the creation of this manuscript.
Any alternative text (alt text) provided alongside figures in this article has been generated by Frontiers with the support of artificial intelligence and reasonable efforts have been made to ensure accuracy, including review by the authors wherever possible. If you identify any issues, please contact us.
Publisher’s note
All claims expressed in this article are solely those of the authors and do not necessarily represent those of their affiliated organizations, or those of the publisher, the editors and the reviewers. Any product that may be evaluated in this article, or claim that may be made by its manufacturer, is not guaranteed or endorsed by the publisher.
Supplementary material
The Supplementary Material for this article can be found online at: https://www.frontiersin.org/articles/10.3389/fmars.2025.1712666/full#supplementary-material
Supplementary Figure 1Quantum efficiency mean values (± SEM) for Halodule wrightii from each of the three salinity drop and nitrogen treatment regimes (See Figure 1). Bars labeled by each treatment endpoint. Salinity values for drops 1–3 were, respectively, 23, 15 or 5. Plants were subjected to N levels (as KNO3) at 30 µM (Low N) and 60 µM, (High N) compared to control with no N additions (No N). Where no error bar is seen, error is smaller than error symbol. N = 3 for control and treatments.
Supplementary Figure 2Photosynthesis mean values (± SEM) for Halodule wrightii from each of the three salinity drop and nitrogen treatment regimes (See Figure 1). Bars labeled by each treatment endpoint. Salinity values for drops 1–3 were, respectively, 23, 15 or 5. Plants were subjected to N levels (as KNO3) at 30 µM (Low N) and 60 µM, (High N) compared to control with no N additions (No N). Where no error bar is seen, error is smaller than error symbol. N = 3 for control and treatments.
Supplementary Figure 3Leaf respiration mean values (± SEM) for Halodule wrightii from each of the three salinity drop and nitrogen treatment regimes (See Figure 1). Bars labeled by each treatment endpoint. Salinity values for drops 1–3 were, respectively, 23, 15 or 5. Plants were subjected to N levels (as KNO3) at 30 µM (Low N) and 60 µM, (High N) compared to control with no N additions (No N). Where no error bar is seen, error is smaller than error symbol. N = 3 for control and treatments.
Supplementary Figure 4Photosynthesis to respiration ratio mean values (± SEM) for Halodule wrightii from each of the three salinity drop and nitrogen treatment regimes (See Figure 1). Bars labeled by each treatment endpoint. Salinity values for drops 1–3 were, respectively, 23, 15 or 5. Plants were subjected to N levels (as KNO3) at 30 µM (Low N) and 60 µM, (High N) compared to control with no N additions (No N). Where no error bar is seen, error is smaller than error symbol. N = 3 for control and treatments.
Supplementary Figure 5Leaf percent nitrogen mean values (± SEM) for Halodule wrightii from each of the three salinity drop and nitrogen treatment regimes (See Figure 1). Bars labeled by each treatment endpoint. Salinity values for drops 1–3 were, respectively, 23, 15 or 5. Plants were subjected to N levels (as KNO3) at 30 µM (Low N) and 60 µM, (High N) compared to control with no N additions (No N). Where no error bar is seen, error is smaller than error symbol. N = 3 for control and treatments.
Supplementary Figure 6Leaf C:N molar ratio mean values (± SEM) for Halodule wrightii from each of the three salinity drop and nitrogen treatment regimes (See Figure 1). Bars labeled by each treatment endpoint. Salinity values for drops 1–3 were, respectively, 23, 15 or 5. Plants were subjected to N levels (as KNO3) at 30 µM (Low N) and 60 µM, (High N) compared to control with no N additions (No N). Where no error bar is seen, error is smaller than error symbol. N = 3 for control and treatments.
Supplementary Figure 7Leaf δ15N (‰) mean values (± SEM) for Halodule wrightii from each of the three salinity drop and nitrogen treatment regimes (See Figure 1). Bars labeled by each treatment endpoint. Salinity values for drops 1–3 were, respectively, 23, 15 or 5. Plants were subjected to N levels (as KNO3) at 30 µM (Low N) and 60 µM, (High N) compared to control with no N additions (No N). Where no error bar is seen, error is smaller than error symbol. N = 3 for control and treatments.
References
1
Alvarez M. E. Savouré A. Szabados L. (2022). Proline metabolism as regulatory hub. Trends Plant Sci.27, 39–55. doi: 10.1016/j.tplants.2021.07.009
2
Beck M. W. Flaherty-Walia K. Scolaro S. Burke M. C. Furman B. T. Karlen D. J. et al . (2024). Hot and fresh: Evidence of climate-related suboptimal water conditions for seagrass in a large Gulf Coast estuary. Estuar. Coast.47, 1475–1497. doi: 10.21203/rs.3.rs-3946855/v1
3
Benjamin K. Walker D. McComb A. Kuo J. (1999). Structural response of marine and estuarine plants of Halophila ovalis (R. Br.) Hook. f. to long-term hyposalinity. Aquat. Bot.64, 1–17. doi: 10.1016/S0304-3770(98)00103-X
4
Bian Z. Wang Y. Zhang X. Li T. Grundy S. Yang Q. et al . (2020). A review of environmental effects on nitrate accumulation in leafy vegetables grown in controlled environments. Foods9, 732. doi: 10.3390/foods9060732
5
Biber P. (2022). Prolonged low salinity tolerance in Halodule wrightii Asch. Aquat. Bot.178, 3498. doi: 10.1016/j.aquabot.2022.103498
6
Bricker S. B. Longstaff B. Dennison, Jones A. Boicourt K. Wicks C. Woerner J. (2008). Effects of nutrient enrichment in the nation’s estuaries: A decade of change. Harmful Algae8, 21–32. doi: 10.1016/j.hal.2008.08.028
7
Britto D. T. Kronzucker H. J. (2002). NH4+ toxicity in higher plants: a critical review. J. Plant Physiol.159, 567–584. doi: 10.1078/0176-1617-0774
8
Brun F. G. Hernández I. Vergara J. J. Peralta G. Pérez-Lloréns J. L. (2002). Assessing the toxicity of ammonium pulses to the survival and growth of Zostera noltii. Mar. Ecol. Prog. Ser.225. Available online at: https://www.jstor.org/stable/24865405.
9
Burkholder J. M. Gilbert P. M. (2013). “ Eutrophication/oligotrophication,” in Encyclopedia of Biodiversity. ed. LevineS. (New York: Academic Press). doi: 10.1016/B978-0-12-384719-5.00047-2
10
Burkholder J. M. Glasgow H. B. Jr. Cooke J. E. (1994). Comparative effects of water-column nitrate enrichment on eelgrass Zostera marina, shoalgrass Halodule wrightii, and widgeongrass Ruppia maritima. Mar. Ecol. Prog. Ser.105, 121–138. Available online at: https://www.jstor.org/stable/24842893 (Accessed December 24, 2025).
11
Burkholder J. M. Tomasko D. A. Touchette B. W. (2007). Seagrasses and eutrophication. J. Exp. Mar. Biol. Ecol.350, 46–72. doi: 10.1016/j.jembe.2007.06.024
12
Campbell S. J. McKenzie L. J. (2004). Flood related loss and recovery of intertidal seagrass meadows in southern Queensland, Australia. Estuar. Coast. Shelf Sci.60, 477–490. doi: 10.1016/j.ecss.2004.02.007
13
Carillo P. Rouphael Y. (2022). Nitrate uptake and use efficiency: Pros and cons of chloride interference in the vegetable crops. Front. Plant Sci.13. doi: 10.3389/fpls.2022.899522
14
Coschigano K. T. Melo-Olveida R. Lim J. (1998). Arabodopsis gls mutants and distinct Fdx-GOGAT genes: implications for photorespiration and primary nitrogen assimilation. Plant Cell10, 741–752. doi: 10.1105/tpc.10.5.741
15
Cuddy M. R. Dunton K. H. (2023). Seagrass isoscapes and stoichioscapes reveal linkages to inorganic nitrogen sources in the Lower Laguna Madre, Western Gulf of Mexico. Estuar. Coast.46, 2115–2127. doi: 10.1007/s12237-023-01206-w
16
DeYoe H. R. Kowalski J. L. (2014). Reassessment of seagrass distribution and biomass in the Lower Laguna Madre, Texas Final Report to the Texas General Land Office. (Edinburg, Texas: The University of Texas Pan American), 118p.
17
DeYoe H. R. Pulich W. Jr. Lupher R. Neupane Guthrie C. (2023). Role of episodic freshwater inflow pulses on seagrass decline in the Lower Laguna Madre, Texas. Estuar. Coast.46, 2093–2114. doi: 10.1007/s12237-023-01170-5
18
Dillon K. S. Chanton J. P. (2008). Nitrogen stable isotopes of macrophytes assess stormwater nitrogen inputs to an urbanized estuary. Estuar. Coast.31, 360–370. doi: 10.1007/s12237-007-9028-1
19
Dunton K. H. (1994). Seasonal growth and biomass of the subtropical seagrass Halodule wrightii in relation to continuous measurements of underwater irradiance. Mar. Biol.120, 479–489. doi: 10.1007/BF00680223
20
Dunton K. H. (1996). Photosynthetic production and biomass of the subtropical seagrass Halodule wrightii along an estuarine gradient. Estuaries19, 436–447. doi: 10.2307/1352461
21
Enríquez S. Borowitzka M. A. (2010). “ The use of the fluorescence signal in studies of seagrasses and macroalgae,” in Chlorophyll a Fluorescence in Aquatic Sciences: Methods and Applications. Developments in Applied Phycology, vol. 4 . Eds. SuggettD.PrášilO.BorowitzkaM. ( Springer, Dordrecht), 197–208. doi: 10.1007/978-90-481-9268-7_9
22
Fernández-Torquemada Y. Sánchez-Lizaso J. L. (2011). Responses of two Mediterranean seagrasses to experimental changes in salinity. Hydrobiology669, 21–33. doi: 10.1007/s10750-011-0644-1
23
Ferreira C. Simioni C. Schmidt E. C. Ramlov F. Maraschin M. Bouzon Z. L. (2017). The influence of salinity on growth, morphology, leaf ultrastructure, and cell viability of the seagrass Halodule wrightii Ascherson. Protoplasma254, 1529–1537. doi: 10.1007/s00709-016-1041-4
24
Fourqurean J. W. Marbà N. Duarte C. M. Diaz-Almela E. Ruiz-Halpern S. (2007). Spatial and temporal variation in the elemental and stable isotopic content of the seagrasses Posidonia oceanica and Cymodocea nodosa from the Illes Balears, Spain. Mar. Biol.151, 219–232. doi: 10.1007/s00227-006-0473-3
25
Gao W. Hong B. Dennis P. Swaney D. P. Howarth R. W. Guo H. (2016). A system dynamics model for managing regional N inputs from human activities. Ecol. Modell.322, 82–91. doi: 10.1016/j.ecolmodel.2015.12.001
26
Gavin N. M. Durako M. J. (2014). Population-based variation in resilience to hyposalinity stress in Halophila johnsonii. Bull. Mar. Sci.90, 781–794. doi: 10.5343/bms.2013.1056
27
Govers L. L. de Brouwer J. H. F. Suykerbuy W. Bouma T. J. Lamers L. P. M. Smolders A. J. P. et al . (2014). Toxic effects of increased sediment nutrient and organic matter loading on the seagrass Zostera noltii. Aquat. Toxicol.155, 253–260. doi: 10.1016/j.aquatox.2014.07.005
28
Griffin N. E. Durako M. J. (2012). The effect of pulsed versus gradual salinity reduction on the physiology and survival of Halophila johnsonii Eiseman. Mar. Biol.159, 1439–1437. doi: 10.5343/BMS.2013.1056
29
Griffin K. L. Turnbull M. H. (2012). Out of the light and into the dark: post-illumination respiratory metabolism. New Phytol.195, 4–7. doi: 10.1111/j.1469-8137.2012.04181.x
30
Han Q. Soissons L. M. Tjeerd B. J. van Katwijk M. M. Liu D. (2016). Combined nutrient and macroalgae loads lead to response in seagrass indicator properties. Mar. Poll. Bull.106, 174–182. doi: 10.1016/j.marpolbul.2016.03.004
31
Hauxwell J. Valiela I. (2004). “ Effects of nutrient loading on shallow seagrass-dominated coastal systems: Patterns and processes,” in Estuarine Nutrient Cycling: The Influence of Primary Producers. Aquatic Ecology Book Series, vol. 2 . Eds. NielsenS. L.BantaG. T.PedersenM. F. ( Springer, Dordrecht). doi: 10.1007/978-1-4020-3021-5_3
32
Hemminga M. A. Harrison P. G. van Lent F. (1991). The balance of nutrient losses and gains in seagrass meadows. Mar. Ecol. Prog. Ser.71, 85–96. doi: 10.3354/meps071085
33
Herzka S. Z. Dunton K. H. (1997). Seasonal photosynthetic patterns of the seagrass Thalassia testudinum in the western Gulf of Mexico. Mar. Ecol. Prog. Ser.152, 103–117. doi: 10.3354/meps152103
34
Hilbe J. (2007). “ GEE goodness-of-fit,” in Negative Binomial Regression (Cambridge: Cambridge University Press). doi: 10.1017/CBO9780511973420
35
Hirst A. J. Jenkins G. P. (2017). Experimental test of N-limitation for Zostera nigricaulis seagrass at three sites reliant upon very different sources of N. J. Exp. Mar. Biol. Ecol.486, 204–213. doi: 10.1016/j.jembe.2016.10.011
36
Invers O. Kraemer G. P. Pérez M. Romero J. (2004). Effects of nitrogen addition on nitrogen metabolism and carbon reserves in the temperate seagrass Posidonia oceanica. J. Exp. Mar. Biol. Ecol.303, 97–114. doi: 10.1016/j.jembe.2003.11.005
37
Irlandi E. A. Orlando B. A. Cropper W. P. Jr. (2004). Short-term effects of nutrient addition on growth and biomass of Thalassia testudinum in Biscayne Bay, FL. Fla. Sci.67, 18–26. Available online at: https://www.jstor.org/stable/24321194 (Accessed December 24, 2025).
38
Jani J. Yang Y.-Y. Lusk M. G. Toor G. S. (2020). Composition of nitrogen in urban residential stormwater runoff: Concentrations, loads, and source characterization of nitrate and organic nitrogen. PloS One15, e0229715. doi: 10.1371/journal.pone.0229715
39
Jaworski N. A. (1981). “ Sources of nutrients and the scale of eutrophication problems in estuaries,” in Estuaries and Nutrients. Contemporary Issues in Science and Society. Eds. NeilsonB. J.CroninL. E. (New York: Humana Press). doi: 10.1007/978-1-4612-5826-1_5
40
Jiang Z. Huang X. Zhang J. (2013). Effect of nitrate enrichment and salinity reduction on the seagrass Thalassia hemprichii previously grown in low light. J. Exp. Mar. Biol. Ecol.443, 114–122. doi: 10.1016/j.jembe.2013.02.034
41
Kahn A. E. Durako M. J. (2006). Thalassia testudinum seedling responses to changes in salinity and nitrogen levels. J. Exper. Mar. Biol. Ecol.335, 1–12. doi: 10.1016/j.jembe.2006.02.011
42
Kaldy J. (2011). Using a macroalgal δ15N bioassay to detect cruise ship wastewater effluent inputs. Mar. Poll. Bull.62, 1762–1771. doi: 10.1016/j.marpolbul.2011.05.023
43
Kaldy J. E. Brown C. A. Pacella S. R. (2022). Carbon limitation in response to nutrient loading in an eelgrass mesocosm: influence of water residence time. Mar. Ecol. Prog. Ser.689, 1–17. doi: 10.3354/meps14061
44
Kaldy J. E. Dunton K. H. Kowalski J. L. Lee K.-S. (2004). Factors controlling seagrass revegetation onto dredged material deposits: A case study in Lower Laguna Madre, Texas. J. Coast. Res.20, 292–300. Available online at: http://www.jstor.org/stable/4299283 (Accessed December 24, 2025).
45
Knutson T. R. (2015). “ Tropical cyclones and hurricanes,” in Tropical Cyclones and Climate Change, In Encyclopedia of Atmospheric Sciences (Second Edition). Eds. NorthG. R.PyleJ.ZhangF. ( Academic Press, Oxford), 65–76. doi: 10.1016/B978-0-12-382225-3.00508-9
46
Koch M. S. Schopmeyer S. A. Kyhn-Hansen C. Madden C. J. Peters J. S. (2007). Tropical seagrass species tolerance to hypersalinity stress. Aquat. Bot.86, 14–24. doi: 10.1016/j.aquabot.2006.08.003
47
Kongrueang P. Buapet P. Roongsattham P. (2018). Physiological responses of Enhalus acoroides to osmotic stress. Bot. Mar.61, 257–267. doi: 10.1515/bot-2017-0108
48
Kowalski J. L. Cammarata K. DeYoe H. R. Vatcheva K. (2023). Metabolic responses of Halodule wrightii to hyposalinity. Aquat. Bot.186, 103628. doi: 10.1016/j.aquabot.2023.103628
49
Kowalski J. L. Cammarata K. Persans M. W. Vatcheva K. Quintanilla S. (2024). Effects of hyposalinity on ion content, organic osmolytes, and lipid peroxidation in the seagrass Halodule wrightii. Hydrobiology851, 2711–2729. doi: 10.1007/s10750-024-05489-3
50
Kowalski J. L. DeYoe H. R. Allison T. C. (2009). Seasonal production and biomass of the seagrass, Halodule wrightii Aschers. (Shoal Grass), in a subtropical Texas lagoon. Estuar. Coast.32, 467–482. doi: 10.1007/s12237-009-9146-z
51
Kowalski J. L. DeYoe H. R. Allison T. C. Kaldy J. E. (2001). Productivity estimation in Halodule wrightii: comparison of leaf-clipping and leaf-marking techniques, and the importance of clip height. Mar. Ecol. Prog. Ser.220, 131–136. doi: 10.3354/meps220131
52
Kowalski J. L. DeYoe H. R. Boza G. H. Jr. Hockaday D. L. Zimba P. V. (2018). A comparison of salinity effects from Hurricanes Dolly, (2008) and Alex, (2010) in a Texas lagoon system. J. Coast. Res.34, 1429–1438. doi: 10.2112/JCOASTRES-D-18-00011.1
53
Lamit N. Tanaka Y. (2021). Effects of river water inflow on the growth, photosynthesis, and respiration of the tropical seagrass Halophila ovalis. Bot. Mar.64, 93–100. doi: 10.1515/bot-2020-0079
54
Landrein B. Formosa-Jordana P. Malivert A. Schuster C. Melnyk C. W. Yanga W. et al . (2018). Nitrate modulates stem cell dynamics in Arabidopsis shoot meristems through cytokinins. PNAS115, 1382–1387. doi: 10.1073/pnas.1718670115
55
Lapointe B. E. Matzie W. R. (1996). Effects of stormwater nutrient discharges on eutrophication processes in nearshore waters of the Florida Keys. Estuaries19, 422–435. doi: 10.2307/1352460
56
Lee K.-S. Dunton K. H. (1999). Influence of sediment nitrogen-availability on carbon and nitrogen dynamics in the seagrass Thalassia testudinum. Mar. Biol.134, 217–226. doi: 10.1007/s002270050540
57
Lee K.-S. Dunton K. H. (2000). Diurnal changes in pore water sulfide concentrations in the seagrass Thalassia testudinum beds: the effects of seagrasses on sulfide dynamics. J. Exper. Mar. Biol. Ecol.255, 201–214. doi: 10.1016/S0022-0981(00)00300-2
58
Lee K.-S. Park S. R. Kim Y. K. (2007). Effects of irradiance, temperature, and nutrients on growth dynamics of seagrasses: A review. J. Exp. Mar. Biol. Ecol.350, 144–175. doi: 10.1016/j.jembe.2007.06.016
59
Lepoint G. Dauby P. Gobert S. (2004). Applications of C and N stable isotopes to ecological and environmental studies in seagrass ecosystems. Mar. Poll. Bull.49, 887–891. doi: 10.1016/j.marpolbul.2004.07.005
60
Lirman D. Cropper W. P. (2003). The influence of salinity on seagrass growth, survivorship, and distribution within Biscayne Bay, Florida: Field, experimental, and modeling studies Estuar. Coast26, 131–141. doi: 10.1007/BF02691700
61
Mallin M. A. Posey M. H. Shank G. C. McIver M. R. Ensign S. H. Alphin T. D. (1999). Hurricane effects on water quality and benthos in the Cape Fear watershed: Natural and anthropogenic impacts. Ecol. Appl.9, 350–362. doi: 10.1890/1051-0761(1999)009[0350:HEOWQA]2.0.CO;2
62
Marbà N. Hemminga M. A. Mateo M. A. Duarte C. M. Mass Y. E. M. Terrados J. et al . (2002). Carbon and nitrogen translocation between seagrass ramets. Mar. Ecol. Prog. Ser.226, 287–300. doi: 10.3354/meps226287
63
McCorquodale J. A. Roblin R. J. Georgiou I. Y. Haralampides K. A. (2009). Salinity, nutrient, and sediment dynamics in the Pontchartrain Estuary. J. Coast. Res.10054, 71–87. doi: 10.2112/SI54-000.1
64
McMahon C. A. (1968). Biomass and salinity tolerance of shoalgrass and manatee grass in the lower Laguna Madre, Tx. J. Wild. Manage.32, 501–507. doi: 10.2307/3798928
65
McMillan C. Moseley F. N. (1967). Salinity tolerances of five marine spermatophytes of Redfish Bay, Texas. Ecology48, 503–506. doi: 10.2307/1932688
66
Murphy L. R. Kinsey S. T. Durako M. J. (2003). Physiological effects of short-term salinity changes on Ruppia maritima. Aquat. Bot.75, 293–309. doi: 10.1016/S0304-3770(02)00206-1
67
Mutchler T. Hoffman D. K. (2017). Response of seagrass (Thalassia testudinum) metrics to short-term nutrient enrichment and grazing manipulations. J. Exp. Mar. Biol. Ecol.486, 105–113. doi: 10.1016/j.jembe.2016.09.015
68
Ng J. S. S. Wai T.-C. Williams G. A. (2007). The effects of acidification on the stable isotope signatures of marine algae and molluscs. Mar. Chem.103, 97–102. doi: 10.1016/j.marchem.2006.09.001
69
Nielsen S. L. Banta G. T. Pedersen M. F. (2004). “ Attempting a synthesis - Plant/nutrient interactions,” in Estuarine Nutrient Cycling: The Influence of Primary Producers. Aquatic Ecology Book Series, vol. 2 . Eds. NielsenS. L.BantaG. T.PedersenM. F. ( Springer, Dordrecht). doi: 10.1007/978-1-4020-3021-5_11
70
Nixon S. W. (1990). Marine eutrophication: A growing international problem. Ambio3 (19), 101. Available online at: https://www.jstor.org/stable/4313673 (Accessed December 24, 2025).
71
Nixon S. W. Buckley B. Granger S. Bintz J. (2001). Responses of very shallow marine ecosystems to nutrient enrichment. Hum. Ecol. Risk Assess.7, 1457–1481. doi: 10.1080/20018091095131
72
Niyogi K. K. (2000). Safety valves for photosynthesis. Curr. Opin. Plant Biol.3, 455–460. doi: 10.1016/S1369-5266(00)00113-8
73
Oddy J. Raffan S. Wilkinson M. Elmore J. S. Halford N. G. (2020). Stress, nutrients and genotype: understanding and managing asparagine accumulation in wheat grain. l. CABI Agric. Biosci.1, 726. doi: 10.1186/s43170-020-00010-x
74
Orth R. J. Carruthers T. J. B. Dennison W. C. Duarte C. M. Fourqurean J. W. Heck K. L. et al . (2006). A global crisis for seagrass ecosystems. Bioscience56, 987–996. doi: 10.1641/0006-3568(2006)56[987:AGCFSE]2.0.CO;2
75
Ostrowski A. Connolly R. M. Sievers M. (2021). Evaluating multiple stressor research in coastal wetlands: A systematic review. Mar. Environ. Res.164, 105239. doi: 10.1016/j.marenvres.2020.105239
76
Ota R. Matsubayashi Y. Ohkubo Y. Yamashita Y. Ogawa-Ohnishi M. (2020). Shoot-to-root mobile CEPD-like 2 integrates shoot nitrogen status to systemically regulate nitrate uptake in Arabidopsis. Nat. Commun.11, 641. doi: 10.1038/s41467-020-14440-8
77
Parsons T. R. Maita Y. Lalh C. M. (1984). A manual of chemical and biological methods for seawater analysis (New York: Pergamon Press). doi: 10.25607/OBP-1830
78
Paul M. J. Pellny T. K. (2003). Carbon metabolite feedback regulation of leaf photosynthesis and development. J. Exp. Bot.54, 539–547. doi: 10.1093/jxb/erg052
79
Preen A. R. Lee Long W. J. Coles R. G. (1995). Flood and cyclone related loss, and partial recovery, of more than 1000 km2 of seagrass in Hervey Bay, Queensland, Australia. Aquat. Bot.52, 3–17. doi: 10.1016/0304-3770(95)00491-H
80
Reifel K. M. Johnson S. C. DiGiacomo P. M. Mengel M. J. Nezlin N. P. Warrick J. A. et al . (2009). Impacts of stormwater runoff in the Southern California Bight: Relationships among plume constituents. Continent. Shelf. Res.29, 1821–1835. doi: 10.1016/j.csr.2009.06.011
81
Ross E. R. Randhir T. O. (2022). Effects of climate and land use changes on water quantity and quality of coastal watersheds of Narragansett Bay. Sci. Total Environ.807, 151082. doi: 10.1016/j.scitotenv.2021.151082
82
Sandoval-Gil J. M. Ávila-López M. C. Camacho-Ibar V. F. Zertuche-González J. A. Cabello-Pasini A. (2019). Regulation of nitrate uptake by the seagrass Zostera marina during upwelling. Estuar. Coast.42, 731–742. doi: 10.1007/s12237-019-00523-3
83
SAS Institute Inc . (2023). SAS/STAT 15.3 User’s Guide (Cary, NC: SAS Institute Inc).
84
Shafer D. J. Kaldy J. E. Sherman T. D. Marko K. M. (2011). Effects of salinity on photosynthesis and respiration of the seagrass Zostera japonica: A comparison of two established populations in North America. Aquat. Bot.95, 214–220. doi: 10.1016/j.aquabot.2011.06.003
85
Shaw K. C. Howes B. L. Schlezinger D. (2018). Macroalgal composition and accumulation in New England estuaries. J. Environ. Manage.206, 246–254. doi: 10.1016/j.jenvman.2017.10.021
86
Shilpha J. Song J. Jeong B. R. (2023). Ammonium phytotoxicity and tolerance: An insight into ammonium nutrition to improve crop productivity. Agronomy13, 1487. doi: 10.3390/agronomy13061487
87
Stockbridge J. Jones A. R. Gillanders B. M. (2020). A meta-analysis of multiple stressors on seagrasses in the context of marine spatial cumulative impacts assessment. Sci. Rep.10, 11934. doi: 10.1038/s41598-020-68801-w
88
Sun W. Huang A. Sang Y. Fu Y. Yang Z. (2013). Carbon–nitrogen interaction modulates plant growth and expression of metabolic genes in rice. J. Plant Growth Reg.32, 575–584. doi: 10.1007/s00344-013-9324-x
89
Tegeder M. Masclaux-Daubresse C. (2018). Source and sink mechanisms of nitrogen transport and use. New Phytol.217, 35–53. doi: 10.1111/nph.14876
90
Touchette B. W. (2007). Seagrass-salinity interactions: Physiological mechanisms used by submersed marine angiosperms for a life at sea. J. Exp. Mar. Biol. Ecol.350, 194–215. doi: 10.1016/j.jembe.2007.05.037
91
Touchette B. W. Burkholder J. (2000). Review of nitrogen and phosphate metabolism in seagrasses. J. Exp. Mar. Biol. Ecol.250, 133–167. doi: 10.1016/S0022-0981(00)00195-7
92
Tsuno M. Suzuki H. Kondo T. Mino H. Noguchi T. (2011). Interaction and inhibitory effect of ammonium cation in the oxygen evolving center of photosystem II. Biochemistry50, 2506–2514. doi: 10.1021/bi101952g
93
Udy J. W. Dennison W. C. (1997). Growth and physiological responses of three seagrass species to elevated sediment nutrients in Moreton Bay, Australia. J. Exp. Mar. Biol. Ecol.217, 253–277. doi: 10.1016/S0022-0981(97)00060-9
94
van der Heide T. Smolders A. J. P. Rijkens B. G. A. van Nes. E. H. van Katwijk M. M. Roelofsm J. G. M. (2008). Toxicity of reduced nitrogen in Eelgrass (Zostera marina) is highly dependent on shoot density and pH. Oecologia158, 411–419. doi: 10.1007/s00442-008-1155-2
95
van Katwijk M. M. Schmitz G. H. W. Gasseling A. P. van Avesaath P. H. (1999). Effects of salinity and nutrient load and their interaction on Zostera marina. Mar. Ecol. Prog. Ser.190, 155–165. Available online at: https://www.jstor.org/stable/24854636 (Accessed December 24, 2025).
96
van Katwijk M. M. Vergeer L. H. T. Schmitz G. H. W. Roelofs J. G. M. (1997). Ammonium toxicity in eelgrass Zostera marina. Mar. Ecol. Prog. Ser.157, 159–173. doi: 10.3354/MEPS157159
97
Vega A. O’Brien J. A. Gutiérrez R. A. (2019). Nitrate is an essential macronutrient for plants Nitrate and hormonal signaling crosstalk for plant growth and development. Curr. Opin. Plant Biol.52, 155–163. doi: 10.1016/j.pbi.2019.10.001
98
Villazán B. Salo T. Brun F. G. Vergaram J. Pedersen M. F. (2015). High ammonium availability amplifies the adverse effect of low salinity on eelgrass Zostera marina. Mar. Ecol. Prog. Ser.536, 149–162. doi: 10.3354/meps11435
99
Wang Y. Y. Cheng Y. H. Chen K. E. Tsay Y. F. (2018). Nitrate transport, signaling, and use efficiency. Ann. Rev. Plant Biol.69, 85–122. doi: 10.1146/annurev-arplant-042817-040056
100
Wang R. Cresswell T. Johansen M. P. Harrison J. J. Jiang Y. Keitel C. et al . (2021). Reallocation of nitrogen and phosphorus from roots drives regrowth of grasses and sedges after defoliation under deficit irrigation and nitrogen enrichment. J. Ecol.109, 4071–4080. doi: 10.1111/1365-2745.13778
101
Waycott M. Duarte C. M. Carruthers T. J. B. Orth R. J. Dennison W. C. Olyarnik S. et al . (2009). Accelerating loss of seagrasses across the globe threatens coastal ecosystems. Proc. Nat. Acad. Sci.106, 12377–12381. doi: 10.1073/pnas.0905620106
102
Webster P. J. Holland G. J. Curry J. A. Chang H. R. (2005). Changes in tropical cyclone number, duration, and intensity in a warming environment. Sci. 16309, 1844–1846. doi: 10.1126/science.1116448
103
Xu Y. Fu X. (2022). Reprogramming of plant central metabolism in response to abiotic stresses: A metabolomics view. Int. J. Mol. Sci.23, 5716. doi: 10.3390/ijms23105716
104
Yang J. Lu J. Liu M. Dijkstra F. A. (2023). Continuous remobilization from below-ground provides more than half of all carbon and nitrogen in regrowing shoots after grassland defoliation. J. Ecol.111, 2172–2180. doi: 10.1111/1365-2745.14166
105
Ye J. Y. Tian W. H. Jin C. W. (2022). Nitrogen in plants: from nutrition to the modulation of abiotic stress adaptation. Stress Biol.2, 4. doi: 10.1007/s44154-021-00030-1
106
Zeger S. L. Liang K. Y. (1986). Longitudinal data analysis for discrete and continuous outcomes. Biometrics42, 121–130. doi: 10.2307/2531248
Summary
Keywords
Halodule wrightii , hyposalinity, interactive stressors, nitrate enrichment, seagrass, stable nitrogen isotope ecology
Citation
Kowalski JL, DeYoe H, Cammarata K and Vatcheva K (2026) Interactive effects of hyposalinity and nitrate loading on growth, physiology, and nitrogen status of the seagrass, Halodule wrightii. Front. Mar. Sci. 12:1712666. doi: 10.3389/fmars.2025.1712666
Received
25 September 2025
Revised
04 December 2025
Accepted
10 December 2025
Published
12 January 2026
Volume
12 - 2025
Edited by
Janet Kubler, California State University, United States
Reviewed by
Masood Jan, University of Florida, United States
Ioannis-Dimosthenis S. Adamakis, National and Kapodistrian University of Athens, Greece
Jennifer Li Ruesink, University of Washington, United States
Updates
Copyright
© 2026 Kowalski, DeYoe, Cammarata and Vatcheva.
This is an open-access article distributed under the terms of the Creative Commons Attribution License (CC BY). The use, distribution or reproduction in other forums is permitted, provided the original author(s) and the copyright owner(s) are credited and that the original publication in this journal is cited, in accordance with accepted academic practice. No use, distribution or reproduction is permitted which does not comply with these terms.
*Correspondence: Joseph L. Kowalski, joseph.kowalski01@utrgv.edu
Disclaimer
All claims expressed in this article are solely those of the authors and do not necessarily represent those of their affiliated organizations, or those of the publisher, the editors and the reviewers. Any product that may be evaluated in this article or claim that may be made by its manufacturer is not guaranteed or endorsed by the publisher.