Abstract
Cyanobacteria are major contributors to summer primary production in the Baltic Sea, where extensive blooms of diazotrophic taxa such as Aphanizomenon flosaquae and Nodularia spumigena shape ecosystem functioning. However, the environmental drivers regulating their biomass dynamics remain incompletely understood. Using long-term monitoring data (1976–2024) from the Gulf of Riga, this study examined how nutrient concentrations, salinity and river runoff influenced cyanobacterial bloom composition and intensity. While both taxa co-occurred, A. flosaquae contributed substantially more biomass, allowing for a detailed statistical analysis. GAM (Generalized Additive Model) revealed that winter dissolved inorganic phosphorus (DIP) was the strongest and most consistent predictor of subsequent summer biomass, suggesting a ‘legacy effect’ where early-season nutrient availability governs bloom magnitude months later. Summer dissolved inorganic nitrogen (DIN) also contributed significantly, which is consistent with the ability of A. flosaquae to meet nitrogen requirements through N-fixation. In contrast, integrated salinity and winter river runoff exhibited limited effect, although co-plot analyses indicated that higher-salinity regions, naturally poorer in DIP, amplified the role of phosphorus in shaping biomass responses. Understanding how these factors interact is essential for predicting bloom development in the Baltic Sea.
1 Introduction
Cyanobacteria are a persistent and ecologically significant component in the Baltic Sea ecosystem, with records indicating their presence for at least 7,000 years (Bianchi et al., 2000). In the present day, summer blooms dominated by cyanobacteria Nodularia spumigena, Aphanizomenon flosaquae, and Dolichospermum (Wasmund, 1997) contribute substantially to primary production in the Baltic Sea (Munkes et al., 2021; Haraguchi et al., 2021; Abdelgadir et al., 2025). The onset and intensity of these blooms are regulated by environmental abiotic factors, including sea surface temperature, the duration of water column stratification, light availability, and nutrient concentrations (Wasmund, 1997; Vanharanta et al., 2024; Kahru et al., 2025).
Favorable conditions for cyanobacterial proliferation develop when the spring bloom leads to near-depletion of dissolved inorganic nitrogen (DIN) in surface waters (Pliński et al., 2007), while dissolved inorganic phosphorus (DIP) remains available by internal sediment release or continued external inputs of terrestrial origin (Vahtera et al., 2007b; Andersson et al., 2015; Vanharanta et al., 2024). The study by Kaiser et al. (2020) was able to link onset of cyanobacteria biomass increase with increase of riverine phosphorus input. The increase in cyanobacteria resulted in substantial input of bioavailable nitrogen from atmosphere (Olofsson et al., 2021). That, in turn, intensified primary production and associated deposition of organic material. The consequent near-bottom oxygen depletion has been attributed to release of phosphorus from sediments (Conley et al., 2002) further accelerating primary production (Vahtera et al., 2007a).
Although the dominant cyanobacteria share functional traits such as filamentous morphology, buoyancy regulation, and N-fixing capacity, they exhibit species-specific ecological niches that are influenced by a range of abiotic factors, including salinity (Lehtimaki et al., 1997; Eigemann et al., 2018). These ecological niche differences drive the spatial and temporal variability of cyanobacterial distribution across the Baltic Sea (Olofsson et al., 2020) and are particularly evident in sub-basins like the Gulf of Riga, which is the focus area of this study.
Cyanobacteria are present in the Gulf of Riga as early as April, although at negligible concentrations (Liepina-Leimane et al., 2022). During summer the cyanobacterial community increases substantially and is dominated by A. flosaquae and N. spumigena (Liepina-Leimane et al., 2024). Both species have similar ecological roles—fixing atmospheric N and supporting food web productivity via heterotrophic bacteria and zooplankton (Karlson et al., 2015). However, they differ in their salinity optima and spatial distributions (Purina et al., 2018; Labucis et al., 2023). A. flosaquae is typically more abundant in the coastal parts of the Gulf of Riga, where lower salinity conditions (0–2 PSU) are maintained by freshwater input from the Daugava River (Jurgensone et al., 2011; Rakko and Seppälä, 2014; Liepina-Leimane et al., 2024). In contrast, N. spumigena exhibits a higher salinity preference (optimal range 8–10 PSU) and tends to dominate in more open regions of the central Baltic Sea (Rakko and Seppälä, 2014). Under intermediate salinity conditions (5–7 PSU), both species may co-occur and form blooms (Liepina-Leimane et al., 2022, 2024).
Munkes et al. (2021) identified light availability, phosphate concentration, and temperature dependence as the main factors shaping cyanobacterial communities, particularly under climate-driven sea surface warming. In contrast, salinity has often been regarded as a secondary driver across most of the Baltic Sea because earlier studies reported broad tolerance ranges (Lehtimaki et al., 1997; Moisander et al., 2007; Rakko and Seppälä, 2014) and species are frequently treated as a single functional group. However, Liepina-Leimane et al. (2024) demonstrated that nitrogen fixation rates can differ substantially among species, underscoring the importance of a species-specific perspective.
In brackish ecosystems such as the Baltic Sea, particularly bays and lagoons influenced by river runoff, anthropogenic pressure and climate change-driven alterations result in simultaneous changes of nutrient concentrations, temperature regime and salinity. The Gulf of Riga is typically characterized by DIN limitation, which favors the proliferation of cyanobacteria. However, DIP concentration, often identified as a primary factor facilitating bloom persistence and intensity (Schoffelen et al., 2019), shows variable patterns in this region (Purina et al., 2018; Liepina-Leimane et al., 2022) and complicates attempts to generalize nutrient controls. Moreover, seasonal shifts in riverine odd formating have been observed in recent decades (Käyhkö et al., 2015), altering timing and magnitude of nutrient inflow to coastal areas. This redistribution of river runoff has altered salinity, stratification, and turbidity (Aigars et al., 2024). Consequently, the combined effect on cyanobacterial bloom intensity and species composition in the Gulf of Riga remains unresolved.
To address these knowledge gaps, this study uses nearly five decades of monitoring data (1976–2024) from the Gulf of Riga to examine how nutrient concentrations, salinity, and riverine input influence cyanobacterial bloom dynamics. Specifically, we hypothesized that variations in bloom structure and intensity can be attributed to differences in salinity or the interactive effects of salinity and nutrients with a focus on the dominant species A. flosaquae and N. spumigena.
2 Materials and methods
2.1 Study area
The Gulf of Riga is a shallow, semi-enclosed basin of the Baltic Sea that is strongly influenced by freshwater inflows, primarily from the Daugava River in the south. As a result, surface water salinity is low (typically 0–5 PSU) and a strong horizontal salinity gradient from south to north can be observed as water exchange with the Baltic Proper is limited (Lehmann et al., 2022). Seasonal vertical stratification develops during summer, while the water column is well-mixed during winter and autumn. Phytoplankton succession follows a temperate coastal pattern, with spring diatoms followed by dinoflagellates and ciliates, and cyanobacteria dominating in summer (Jurgensone et al., 2011; Wasmund, 2017).
In this study, four national monitoring stations were selected along a nearshore-to-offshore transect from the inlet of Daugava River to capture a range of environmental conditions (Figure 1; map created using ArcMap 10.6). Stations 165 (57.0833 N, 24.0017 E; 12 m) and 101A (57.1000 N, 23.9833 E; 22 m) are located in nearshore area influenced by the riverine input, while stations 119 (57.3000 N, 23.8500 E; 44 m) and 121 (57.6167 N, 23.6167 E; 55 m) are situated in more open-water regions of the Gulf of Riga. These sampling locations are used to examine how spatial and temporal variation in abiotic variables relate to cyanobacterial bloom intensity and composition.
Figure 1

Sampling locations in the Gulf of Riga.
2.2 Sampling procedure
Summer phytoplankton samples (June-September) were collected using three different sampling methods: 1) between 1976 and 1992, two separate 1 L samples were taken with a Nansen Bottle from depths of 0 and 10 meters and preserved with 40% formaldehyde (30 mL fixative per 1 L sample); 2) between 1993 and 1998, 0.5 L samples were collected with Hydrobios water sampler from five depths (0, 2.5, 5, 7.5, and 10 meters), combined to form an integrated 0–10 m sample, from which 300 ml were preserved with acid Lugol’s solution (final concentration 0.5%); and 3) between 1999 and 2024, an integrated 0–10 m sample was taken using a plastic hose (diameter 2.5 cm), and 300 ml of the sample were preserved with acid Lugol’s solution with a final concentration of 0.5% (HELCOM, 2023). To ensure comparability of data intercalibration was conducted after each sampling method adjustment.
The number of samples collected annually and used in this study varied depending on whether the national marine environment monitoring program was supplemented by additional research projects. For years with multiple sampling per season, the summer mean biomass was calculated. Stations containing depth layers without collected samples were excluded from the calculation of the annual summer mean biomass.
Physical and chemical parameter samples were collected simultaneously and analyzed following the guidelines in the Manual for Marine Monitoring in the COMBINE Programme of HELCOM (HELCOM, 2017). Chlorophyll a concentrations were measured using samples obtained with an integrated hose sampling method covering the 0–10 m water layer, a practice adopted after 1999. Depending on the year and monitoring platform, the chemical parameters DIN (sum of NO3–, NO2–, and NH4+) and DIP (measured as PO43-) were analyzed either as integrated 0–10 m samples or from water collected at discrete depths—typically 0, 5, and 10 meters—using a bathometer. In the latter case, depth integrated values were calculated as weighted averages. Bathometer-based temperature readings and salinity measurements from discrete samples were used until 2018, after which CTD logging was applied for both parameters. In case of temperature and salinity, the depth (0–10 m water layer) integrated values were calculated. All water samples were stored cold and in the dark during transport.
2.3 Runoff calculations
River discharge data were provided by the Latvian Environmental, Geology and Meteorology Centre, which carries out the national hydrological monitoring program. Monthly water runoff for the period 1975–2024 was calculated from monthly average discharge data of the Daugava River at the hydrological station Jēkabpils located 165 km upstream the river mouth in the Gulf of Riga. Areal extrapolation of water runoff was used to estimate runoff at the river mouth.
2.4 Phytoplankton community composition and physico-chemical parameter analysis
Phytoplankton samples from 1976–1994 were analyzed using the sedimentation method, adhering to Soviet standards, with an MBI-3 microscope at magnifications of x105, x210, and x420. From 1995 to 2024, samples were analyzed with an inverted microscope (Leica DMI3000, Leica SM IRB, and Leica Fluovert FU) at x200 and x400 magnifications, in combination with Utermöhl sedimentation chambers of 3, 25, and 50 mL. In all cases, phytoplankton counts exceeded 500 (Utermöhl, 1958; Olenina et al., 2006; HELCOM, 2023). Species-specific abundance and biomass (measured in wet weight mg/m³) were calculated using geometric formulas (HELCOM, 2023). Species-specific abundance and wet weight biomasses from the two discrete surface samples (1976-1992) were averaged to produce an integrated sample (0–10 m) for comparison with more recent data. Most phytoplankton species in the samples were identified at the species and genus levels. Changes in sampling and fixation methods did not significantly affect the results for the main dominant groups identified, such as diatoms, dinoflagellates, chlorophytes, and cyanobacteria (Majaneva et al., 2009).
From 1976 to 1991, chlorophyll a was measured by filtering water through BaSO4 slurry-coated filters, followed by acetone extraction and spectrophotometric analysis. From 1992 onward, the method was replaced by ethanol extraction. In the current procedure, 0.5–1 L water samples are filtered through GF/F filters (Whatman), which are stored frozen and in darkness until analysis. Chlorophyll a is extracted in ≥96% ethanol without prior drying and quantified fluorometrically using a calibrated fluorometer, following HELCOM COMBINE guidelines (HELCOM, 2017) as adopted in national marine monitoring practices.
Inorganic nitrogen and phosphorus forms were analyzed using standard colorimetric methods (Grasshoff and Ehrhardt, 1999; HELCOM, 2017). Nitrite was determined by the diazotization method, where nitrite reacts with sulfanilamide and N-(1-naphthyl)ethylenediamine to form a purple azo dye measured at 543 nm. Nitrate was reduced to nitrite using a cadmium-copper column in an ammonium buffer (pH 8.5–8.6) and then measured as nitrite using the same diazotization procedure. Ammonium was analyzed by the Koroleff method, forming indophenol blue in the presence of phenol and nitroprusside, with absorbance at 630 nm. Phosphate was measured using the Murphy and Riley method, forming a blue complex with molybdate and ascorbic acid, and detected at 885 nm.
2.5 Statistical analysis
All data analysis and visualization were performed using R software v.3.6.1 (R Core Team, 2019). Temporal trends were assessed using the Spearman rank correlation test (α = 0.05). Pairwise comparisons of abiotic environmental drivers were performed using Wilcoxon tests with Benjamini-Hochberg correction for multiple testing.
Because the variability of biomass was not constant across observations, we used a location-scale generalized additive model (GAM-LSS), an extension of the traditional GAM. This approach allows predictors to influence not only the mean biomass but also the variability. Predictor collinearity was assessed with Variance Inflation Factor (VIF), that indicates multicollinearity among variables, as well as Spearman correlation matrix. Variables with high collinearity inflate the variance of regression coefficients and can affect model reliability. In this study, summer DIP concentrations were excluded from the model because they were highly correlated with summer DIN, as indicated by a VIF greater than 2. Model diagnostics included residual analysis (Breusch-Pagan test, p < 0.05). Extreme biomass observations were retained in the analysis, but heavy tails and skewness were not explicitly modeled, as the primary goal was to quantify mean responses and variance patterns across environmental gradients rather than predict extreme bloom events. Coplots were generated using the full set of observations rather than annual mean values, with biomass log-transformed. For visualization, the observed salinity range in the Gulf of Riga was divided into three intervals (4.00 - 5.17 PSU, 5.16 - 5.46 PSU, and 5.40 -6.14 PSU) based on the actual distribution of measured values. Because the data were not evenly distributed, the resulting intervals are not equal in width. Adjacent intervals were set to overlap by 10% of their width to ensure smoother transitions between panels.
3 Results
3.1 Physico-chemical characteristic of selected sampling sites
To characterize the physico-chemical conditions of the selected sampling sites and evaluate their potential influence on cyanobacterial biomass dynamics, six abiotic variables were selected: winter and summer integrated DIN concentrations, winter and summer integrated DIP concentrations, as well as salinity and temperature from the summer sampling period.
Statistically significant differences (p < 0.05) in salinity were detected between nearly all station pairs (Figure 2), including between the open-water stations 119 and 121 (p = 0.046), although the latter was near the significance threshold. These findings support the assumption that the four selected stations represent salinity gradient and can be used for further analysis.
Figure 2

Distribution of abiotic variables (Winter DIN, Winter DIP, Salinity, Summer DIN, Summer DIP, Temperature) across stations (165, 101A, 119, 121) from 1976 to 2024. The asterisks indicates statistically significant difference (* = p<0.05; ** = p<0.01; *** = p<0.001; **** = p<0.0001) between station pairs based on Wilcoxon tests.
In addition to salinity, significant spatial variation in nutrient concentrations was observed (Figure 2). DIN and DIP exhibited statistically significant differences among stations in winter and summer, suggesting heterogeneous nutrient dynamics across the Gulf of Riga. In contrast, integrated summer temperature showed no statistically significant variation across the stations, indicating a relatively uniform thermal regime during the sampling period.
3.2 Assessment of abiotic variables and A. flosaquae and N. spumigena long-term trends in the Gulf of Riga from 1976 to 2024
The most consistent increase since 1976 is observed for winter DIP concentrations and water temperature (Figure 3). These trends were confirmed by Spearman rank correlation analysis, which revealed significant increase over time for winter DIP concentrations (p < 0.001) and temperature (p < 0.001). In contrast, summer DIN concentrations (p < 0.001) and salinity (p < 0.01) exhibited significant negative trends (Figure 4), while the summer DIP concentration had no significant change over the whole period. Conversely, winter DIN demonstrates a substantial concentration increase from the mid-1990s; however, the scarcity of data from the 1980s to 1990s prohibits confirming a significant positive trend. These results indicate a shift in nutrient conditions and water warming trend over the analyzed period.
Figure 3

Long-term winter nutrient (w-DIN, w-DIP) and summer temperature trends in the Gulf of Riga stations (165, 101A, 119, 121). Trend lines are shown for significant trends (a linear relationship) over time, with the statistical significance (p) of the Kendall’s τ.
Figure 4

Long-term summer nutrient (s-DIN, s-DIP) and summer salinity trends in the Gulf of Riga stations (165, 101A, 119, 121). Trend lines are shown for significant trends (a linear relationship) over time, with the statistical significance (p) of the Kendall’s T.
Long-term changes of annual mean summer chlorophyll a concentration and total seasonal Daugava River runoff are presented in Figure 5. No significant long-term trends were detected for total runoff in winter, spring or autumn, whereas summer runoff exhibited a moderate but significant decline (Kendall’s τ = −0.20, p < 0.05). Concurrently, summer chlorophyll a increased across all monitoring stations; station-specific Mann-Kendall tests indicate highly significant positive trends at station 119 (Kendall’s τ = 0.38, p < 0.001) and station 121 (Kendall’s τ = 0.34, p < 0.001), and a moderate significant increase at station 101A (Kendall’s τ = 0.28, p < 0.01), while no significant trend was detected at station 165.
Figure 5

Long-term changes of the dominant cyanobacteria (A. flosaquae and N. spumigena) mean biomass during the summer bloom period (June-September).
The biomass of the dominant cyanobacteria species in the Gulf of Riga (Supplementary Table 1), A. flosaquae and N. spumigena, over the past four decades is presented in Figure 6. Overall, the biomass of N. spumigena was lower compared to A. flosaquae, with negligible interannual variation in most years. Consequently, the data analysis revealed no statistically significant trends in N. spumigena biomass over the study period (Mann-Kendall test, p > 0.05). At the same time, the A. flosaquae demonstrated a substantial interannual variability and high concentrations, reaching, and at some occasions exceeding 600 mg/m3. The data analyses revealed a significant biomass increase over the analyzed period at stations 101A (Kendall’s τ=0.38, p < 0.001), 119 (Kendall’s τ=0.48, p < 0.001), and 121 (Kendall’s τ=0.48, p < 0.001). In contrast, no statistically significant biomass increase was observed in coastal station 165 (p > 0.05). In addition to the long-term increase, A. flosaquae biomass exhibited pronounced interannual oscillations, with high-biomass episodes recurring roughly every 3–5 years. These fluctuations are consistent with natural variability in nutrient and hydrographic conditions rather than changes in sampling intensity or analytical approaches.
Figure 6

Long-term changes of chlorophyll a and Daugava River runoff in the Gulf of Riga stations (165, 101A, 119, 121).
3.3 Linking A. flosaquae biomass dynamics with environmental drivers
Biomass of N. spumigena did not respond to any shifts in environmental parameters, as indicated by the lack of significant increase or decrease over the analyzed decades (Figure 6). Therefore, only A. flosaquae was selected for linking biomass with environmental drivers. Across four stations and six station-specific variables, as well as the overall Daugava River runoff of winter and spring, nine significant associations were identified using Spearman rank correlation (Figure 7). These involved four key variables: DIP in winter, DIP in summer, DIN in summer, and salinity. Among these, winter DIP, summer DIN, and salinity showed the strongest correlations (r > 0.45) with A. flosaquae biomass. In contrast, winter DIN, summer water temperature, and river runoff in winter and spring showed no significant correlations.
Figure 7

Spearman’s rank correlation coefficients between cyanobacteria A. flosaquae biomass and environmental parameters (winter runoff, spring runoff, salinity, temperature, summer DIP, summer DIN, winter DIP, winter DIN) were calculated for Gulf of Riga stations (165, 101A, 119, 121). Correlation coefficients (Spearman’s rho) are shown and marked based the direction (+ or -) and strength (continuous color scale). The asterisks indicate statistically significant differences (* = p<0.05; ** = p<0.01).
To further explore the non-linear interactions influencing A. flosaquae biomass dynamics GAM approach was selected. The model included the abiotic variables that demonstrated the strongest correlations, e.g., winter DIP, salinity, summer DIN and winter river runoff. Although river runoff did not directly correlate with A. flosaquae biomass, it was included because it serves as an important proxy for nutrient and freshwater input into the Gulf of Riga, potentially affecting cyanobacterial growth indirectly.
The initial simple GAM analysis revealed significant relationships between all included variables and A. flosaquae biomass, however the residual variance was not constant across observations. To address this heteroscedasticity, a location–scale GAM (GAM-LSS) was fitted for winter DIP, salinity, summer DIN and winter runoff. The results indicated winter DIP as the strongest driver, significantly influencing both mean summer biomass levels (p < 0.001) and variability (p < 0.001). Summer DIN also had a significant effect on both mean biomass (p < 0.01) and variance (p < 0.01). Salinity and winter runoff did not have statistically significant effects on A. flosaquae biomass in this model. Overall, the GAM-LSS explained 69.5% of the variation in A. flosaquae biomass, indicating a good model fit based on 79 observations.
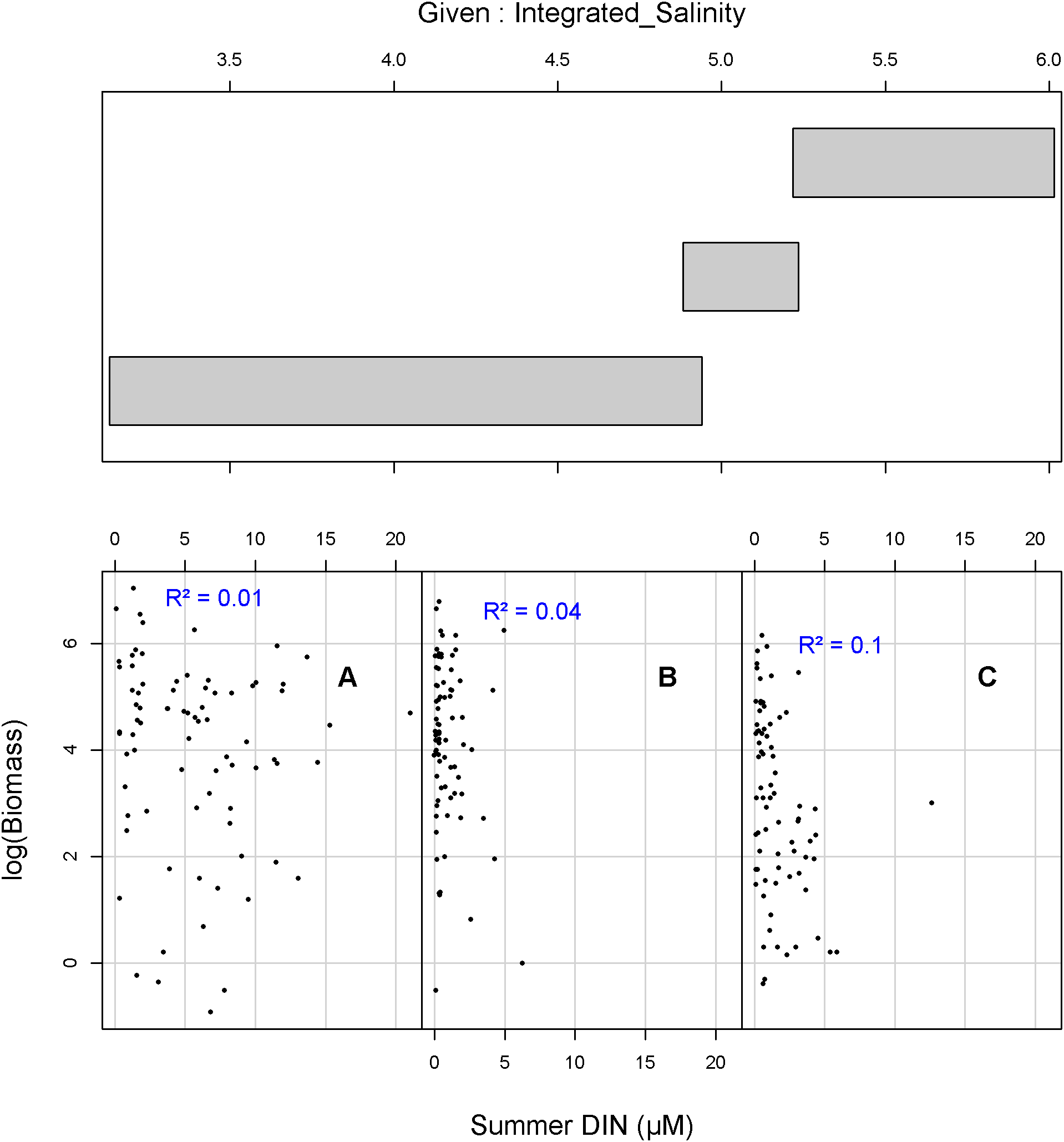
To assess the secondary role of salinity in modulating nutrient effects on A. flosaquae biomass within narrower salinity regimes, co-plots of biomass versus winter DIP (Figure 8) and summer DIN (Figure 9) were analyzed. The three salinity intervals: A (4.00–5.17 PSU), B (5.16–5.46 PSU), and C (5.40–6.14 PSU), revealed notable differences in the strength and form of the relationships across salinity gradients. For winter DIP, a positive linear relationship with biomass was apparent only in the highest salinity range with a higher R2, indicating stronger explanatory power. In the lower salinity intervals, this relationship was not observed. In contrast, summer DIN displayed consistently weak linear associations with biomass across all salinity intervals, with uniformly low R2 values, indicating that its influence may be limited or more indirect under the observed conditions.
Figure 8

Conditional plots of cyanobacteria A. flosaquae biomass against winter DIP concentration, grouped by salinity intervals: (A) (4.00–5.17 PSU), (B) (5.16–5.46 PSU), and (C) (5.40–6.14 PSU).
Figure 9

Conditional plots of cyanobacteria A. flosaquae biomass against summer DIN concentration, grouped by salinity intervals: (A) (4.00–5.17 PSU), (B) (5.16–5.46 PSU), and (C) (5.40–6.14 PSU).
4 Discussion
The results of this study reveal a significant long-term increase in A. flosaquae biomass in the open waters of the Gulf of Riga. At the same time, it is apparent that N. spumigena did not respond to long-term shift of any physico-chemical parameters. Our findings are consistent with long-term, basin-scale observations across the Baltic Sea. Olofsson et al. (2020) reported declining summer surface salinity (~0.5–1 PSU) and increasing July–August water temperatures (~2–3 °C) over four decades, alongside stable N. spumigena biovolume and regionally variable Aphanizomenon sp. trends. In northern basins, Aphanizomenon sp. increased, while declines were observed further south. These basin-wide parallels underscore the importance of considering both large-scale and sub-basin drivers.
The cyclic behavior of A. flosaquae biomass suggests that interannual hydro-meteorological variability modulates the long-term trends. Years characterized by enhanced winter phosphorus availability and mild winters typically support stronger summer blooms, whereas consecutive low-DIP years suppress biomass accumulation. Such multi-year cycles likely arise from nutrient “reset” processes linked to river discharge and stratification dynamics that periodically alter nutrient storage and availability in the Gulf of Riga. Similar climate-related oscillations in cyanobacterial biomass have been observed across the Baltic Sea (Vahtera et al., 2007a; Olofsson et al., 2020), reinforcing the importance of considering both long-term and short-term environmental variability when interpreting bloom dynamics.
Over the analyzed period N. spumigena was detected even at locations with salinity below its previously reported optimal range (5 PSU, Rakko and Seppälä, 2014), however the population densities remained low. The observed capacity to persist under sub-optimal conditions is consistent with reports that salinity is generally not a limiting factor for cyanobacteria (Munkes et al., 2021) and dominant species tolerate a wide range of salinity (Lehtimaki et al., 1997). However, periods of elevated DIP during mid-to-late 1990s when salinity levels were well in range of that reported by Munkes et al. (2021) did not translate into increased N. spumigena biomass. It is highly possible this was due to the fact that the DIP increase coincided with higher DIN concentrations resulting in an unfavorable DIN: DIP ratio. Our findings provide additional evidence that previously reported species-specific optimal growth conditions may need to be revisited, as these optima—such as temperature preferences—can shift over time in response to environmental changes (Medwed et al., 2024). Despite these observations, the mechanisms behind the presence of N. spumigena in the Gulf of Riga remain unresolved. Further studies are needed to determine whether these populations originate locally or are maintained through transport from the central Baltic Sea.
Overall, the significant negative correlation of A. flosaquae biomass with salinity and positive with winter DIP could suggest that both are equally important, although with opposite effects. Phosphorus availability is widely recognized as the key limiting nutrient for N-fixing cyanobacteria in the Baltic Sea (Lehtimaki et al., 1997; Moisander et al., 2007; Jurgensone et al., 2011; Kuliński et al., 2022). And similarly to our findings, it has been established that winter phosphorus storage strongly conditions summer cyanobacterial biomass also in the Baltic Proper and Gulf of Finland (Vahtera et al., 2007a; Andersson et al., 2015). However, the non-linearity of A. flosaquae biomass response to increase in winter DIP concentrations, especially in uppermost salinity range that represents offshore sites, as demonstrated by conditional plots, suggest that the DIN: DIP ratio is the main factor triggering A. flosaquae biomass increase.
Although salinity shows a significant negative correlation with A. flosaquae biomass in the Gulf of Riga, its direct effect on bloom dynamics appears limited once other environmental drivers are considered. Nevertheless, its spatial gradient provides important ecological context for nutrient dynamics associated with A. flosaquae. The central, higher-salinity regions are naturally less DIP-enriched, which may partly explain why increases in DIP showed a comparatively stronger association with biomass under these conditions. This pattern suggests that phosphorus limitation is more pronounced in saline areas, contributing to spatial variability in bloom intensity and highlighting that nutrient–biomass relationships are strongly modulated by hydrographic context. These effects are consistent with findings in other parts of the Baltic Sea, where northern regions show intensified blooms due to nutrient retention (Wåhlström et al., 2024), and long-term analyses demonstrate that bloom dynamics are shaped by interactions between physical conditions and nutrient availability (Löptien and Dietze, 2022).
In the Gulf of Riga, winter DIN has no correlation with A.flosaquae biomass. This likely reflects the fact that N-fixation largely satisfies cyanobacterial nitrogen demand. In the Baltic Proper, nitrogen fixation has been estimated to meet on average 73–81% of cyanobacterial nitrogen requirements, with some locations even exceeding 100% (Ohlendieck et al., 2007). Such surpluses can subsidize the surrounding food web and may even surpass external nitrogen inputs from rivers (Karlson et al., 2015; Olofsson et al., 2021). However, these findings underscore the differences of Gulf of Riga compared to the central Baltic Sea, where winter DIN and temperature have been reported as important drivers of late-summer phytoplankton community shifts (Suikkanen et al., 2007). These sub-basin specific conditions reflect that the cyanobacterial community differs across Baltic Sea regions and respond differently to environmental changes.
Daugava River runoff showed no direct effect on A. flosaquae biomass. However, it represents a continuum of freshwater and nutrient input that shapes nutrient availability and salinity, and influences bloom development (Kuliński et al., 2022). The observed decline in summer runoff could limit phosphorus delivery to offshore waters, although internal loading may buffer this effect (Aigars, 2001). Runoff therefore acts indirectly, contributing to the complex interplay of land–sea interactions, nutrient cycling, and hydrographic dynamics that shape cyanobacterial development in the Gulf of Riga (Käyhkö et al., 2015; Aigars et al., 2024).
5 Conclusions
The results of this study highlight winter DIP as a central driver of A. flosaquae blooms, whose effects are modified by hydrographic patterns, while N. spumigena has not been responding to shift in any environmental driver. This interaction helps explain spatial variability in nutrient availability and bloom development across the Gulf of Riga as salinity gradient and river runoff further influence nutrient dynamics, creating spatial gradients that modulate bloom intensity. Incorporating both nutrient and environmental gradients is therefore essential for predictive modeling and adaptive management in estuarine systems. In the broader Baltic Sea context, our findings emphasize the need for region-specific assessments that integrate nutrient and hydrographic drivers to mitigate cyanobacterial bloom risks under climate change. Future research should strengthen understanding of these interactions to refine models and support adaptive management.
Statements
Data availability statement
Publicly available datasets were analyzed in this study. This data can be found here: https://latmare.lhei.lv.
Author contributions
IL-L: Formal Analysis, Visualization, Data curation, Methodology, Writing – original draft, Conceptualization. IJ: Validation, Data curation, Methodology, Writing – review & editing. IB: Writing – review & editing, Visualization. IK: Writing – review & editing, Data curation. JA: Supervision, Writing – review & editing, Conceptualization, Formal Analysis, Funding acquisition, Validation.
Funding
The author(s) declared that financial support was received for this work and/or its publication. This work was supported by The Latvian Council of Science (LCS) through the Fundamental and Applied Research project grant (lzp-2024/1–0524).
Acknowledgments
We would like to express our sincerest gratitude to the many colleagues who have contributed to the Gulf of Riga monitoring program over the years, and we especially thank Astra Labuce for her support with data analysis.
Conflict of interest
The authors declared that this work was conducted in the absence of any commercial or financial relationships that could be construed as a potential conflict of interest.
Generative AI statement
The author(s) declared that generative AI was used in the creation of this manuscript. Language editing support was provided with the assistance of AI-based tools (OpenAI ChatGPT). The authors are fully responsible for the scientific content and interpretation of the manuscript.
Any alternative text (alt text) provided alongside figures in this article has been generated by Frontiers with the support of artificial intelligence and reasonable efforts have been made to ensure accuracy, including review by the authors wherever possible. If you identify any issues, please contact us.
Publisher’s note
All claims expressed in this article are solely those of the authors and do not necessarily represent those of their affiliated organizations, or those of the publisher, the editors and the reviewers. Any product that may be evaluated in this article, or claim that may be made by its manufacturer, is not guaranteed or endorsed by the publisher.
Supplementary material
The Supplementary Material for this article can be found online at: https://www.frontiersin.org/articles/10.3389/fmars.2025.1713992/full#supplementary-material
References
1
Abdelgadir M. Karlson B. Dahlgren E. Olofsson M. (2025). Prediction of present and future spatial occurrence of cyanobacteria and the toxin nodularin in the Baltic Sea. EGUsphere. doi: 10.5194/egusphere-2025-3290
2
Aigars J. (2001). Seasonal variations in phosphorus species in the surface sediments of the Gulf of Riga, Baltic Sea. Chemosphere45, 827–834. doi: 10.1016/s0045-6535(01)00121-7
3
Aigars J. Suhareva N. Cepite-Frisfelde D. Kokorite I. Iital A. Skudra M. et al . (2024). From green to brown: two decades of darkening coastal water in the Gulf of Riga, the Baltic Sea. Front. Mar. Sci.11. doi: 10.3389/fmars.2024.1369537
4
Andersson A. Höglander H. Karlsson C. Huseby S. (2015). Key role of phosphorus and nitrogen in regulating cyanobacterial community composition in the northern Baltic Sea. Estuar. Coast. Shelf Sci.164, 161–171. doi: 10.1016/j.ecss.2015.07.013
5
Bianchi T. S. Engelhaupt E. Westman P. Andrén T. Rolff C. Elmgren R. (2000). Cyanobacterial blooms in the Baltic Sea: Natural or human-induced? Limnol. Oceanogr.45, 716–726. doi: 10.4319/lo.2000.45.3.0716
6
Conley D. J. Humborg C. Rahm L. Savchuk O. P. Wulff F. (2002). Hypoxia in the Baltic Sea and basin-scale changes in phosphorus biogeochemistry. Environ. Sci. Technol.36, 5315–5320. doi: 10.1021/es025763w
7
Eigemann F. Schwartke M. Schulz-Vogt H. (2018). Niche separation of Baltic Sea cyanobacteria during bloom events by species interactions and autecological preferences. Harmful Algae72, 65–73. doi: 10.1016/j.hal.2018.01.001
8
Grasshoff K. Ehrhardt M. (1999). Methods of seawater analysis (Weinheim; New York: Wiley-VCH). Available online at: https://openlibrary.org/books/OL90642M/Methods_of_seawater_analysis (Accessed August 29, 2025).
9
Haraguchi L. Lehtinen S. Attila J. Alasalmi H. Lindholm M. Kraft K. et al . (2021). The evolution of Cyanobacteria bloom observation in the Baltic sea. Oceanography34, 30–31. doi: 10.5670/oceanog.2021.supplement.02-13
10
HELCOM (2017). Manual for marine monitoring in the COMBINE programme of HELCOM (Helsinki, Finland: HELCOM). doi: 10.25607/OBP-1988
11
HELCOM (2023). Guidelines for monitoring of phytoplankton species composition, abundance and biomass (Helsinki, Finland: HELCOM). doi: 10.25607/OBP-1822.2
12
Jurgensone I. Carstensen J. Ikauniece A. Kalveka B. (2011). Long-term changes and controlling factors of phytoplankton community in the gulf of riga (Baltic sea). Estuaries Coasts34, 1205–1219. doi: 10.1007/s12237-011-9402-x
13
Kahru M. Cahill B. Elmgren R. Rehder G. (2025). What initiates cyanobacterial blooms in the Baltic Sea? Harmful Algae148, 102924. doi: 10.1016/j.hal.2025.102924
14
Kaiser J. Wasmund N. Kahru M. Wittenborn A. K. Hansen R. Häusler K. et al . (2020). Reconstructing N2-fixing cyanobacterial blooms in the Baltic Sea beyond observations using 6- and 7-methylheptadecane in sediments as specific biomarkers. Biogeosciences17, 2579–2591. doi: 10.5194/bg-17-2579-2020
15
Karlson A. M. L. Duberg J. Motwani N. H. Hogfors H. Klawonn I. Ploug H. et al . (2015). Nitrogen fixation by cyanobacteria stimulates production in Baltic food webs. Ambio44 Suppl 3, 413–426. doi: 10.1007/s13280-015-0660-x
16
Käyhkö J. Apsite E. Bolek A. Filatov N. Kondratyev S. Korhonen J. et al . (2015). “ Recent change—River Run-off and ice cover,” in Regional climate studies ( Springer International Publishing, Cham), 99–116. doi: 10.1007/978-3-319-16006-1_5
17
Kuliński K. Rehder G. Asmala E. Bartosova A. Carstensen J. Gustafsson B. et al . (2022). Biogeochemical functioning of the baltic sea. Earth Syst. Dyn.13, 633–685. doi: 10.5194/esd-13-633-2022
18
Labucis A. Labuce A. Jurgensone I. Barda I. Andersone I. Ikauniece A. (2023). Seasonal variation in size structure and production of autotrophic plankton community in eutrophied, low-light environment: A focus on Mesodinium rubrum. Oceanologia65, 398–409. doi: 10.1016/j.oceano.2022.11.003
19
Lehmann A. Myrberg K. Post P. Chubarenko I. Dailidiene I. Hinrichsen H.-H. et al . (2022). Salinity dynamics of the baltic sea. Earth Syst. Dyn.13, 373–392. doi: 10.5194/esd-13-373-2022
20
Lehtimaki J. Moisander P. Sivonen K. Kononen K. (1997). Growth, nitrogen fixation, and nodularin production by two Baltic Sea cyanobacteria. Appl. Environ. Microbiol.63, 1647–1656. doi: 10.1128/aem.63.5.1647-1656.1997
21
Liepina-Leimane I. Barda I. Jurgensone I. Labucis A. Baraskova L. Aigars J. (2024). Nitrogen fixation rate and phosphorus enrichment effects on diazotrophic cyanobacteria in the Gulf of Riga. Mar. Biol.171. doi: 10.1007/s00227-024-04486-3
22
Liepina-Leimane I. Barda I. Jurgensone I. Labucis A. Suhareva N. Kozlova V. et al . (2022). Seasonal dynamic of diazotrophic activity and environmental variables affecting it in the Gulf of Riga, Baltic Sea. FEMS Microbiol. Ecol.98. doi: 10.1093/femsec/fiac132
23
Löptien U. Dietze H. (2022). Retracing cyanobacteria blooms in the Baltic Sea. Sci. Rep.12, 10873. doi: 10.1038/s41598-022-14880-w
24
Majaneva M. Autio R. Huttunen M. Kuosa H. Kuparinen J. (2009). Phytoplankton monitoring: the effect of sampling methods used during different stratification and bloom conditions in the Baltic Sea. Boreal Environment Research. 14, 313–322. doi: 10.60910/B1Y3-B9KD
25
Medwed C. Karsten U. Romahn J. Kaiser J. Dellwig O. Arz H. et al . (2024). Archives of cyanobacterial traits: insights from resurrected Nodularia spumigena from Baltic Sea sediments reveal a shift in temperature optima. ISME Commun.4, ycae140. doi: 10.1093/ismeco/ycae140
26
Moisander P. H. Paerl H. W. Dyble J. Sivonen K. (2007). Phosphorus limitation and diel control of nitrogen-fixing cyanobacteria in the Baltic Sea. Mar. Ecol. Prog. Ser.345, 41–50. doi: 10.3354/meps06964
27
Munkes B. Löptien U. Dietze H. (2021). Cyanobacteria blooms in the Baltic Sea: a review of models and facts. Biogeosciences18, 2347–2378. doi: 10.5194/bg-18-2347-2021
28
Ohlendieck U. Gundersen K. Meyerhöfer M. Fritsche P. Nachtigall K. Bergmann B. (2007). The significance of nitrogen fixation to new production during early summer in the Baltic Sea. Biogeosciences4, 63–73. doi: 10.5194/bg-4-63-2007
29
Olenina I. Hajdu S. Edler L. Andersson A. Wasmund N. Busch S. et al . (2006). Biovolumes and size-classes of phytoplankton in the Baltic Sea. HELCOM Balt. Sea Environ. Proc.106, 1–144.
30
Olofsson M. Klawonn I. Karlson B. (2021). Nitrogen fixation estimates for the Baltic Sea indicate high rates for the previously overlooked Bothnian Sea. Ambio50, 203–214. doi: 10.1007/s13280-020-01331-x
31
Olofsson M. Suikkanen S. Kobos J. Wasmund N. Karlson B. (2020). Basin-specific changes in filamentous cyanobacteria community composition across four decades in the Baltic Sea. Harmful Algae91, 101685. doi: 10.1016/j.hal.2019.101685
32
Pliński M. Mazur-Marzec H. Jóźwiak T. Kobos J. (2007). The potential causes of cyanobacterial blooms in Baltic Sea estuaries. Oceanol. Hydrobiol. Stud.36, 134–137. doi: 10.2478/v10009-007-0001-x
33
Purina I. Labucis A. Barda I. Jurgensone I. Aigars J. (2018). Primary productivity in the Gulf of Riga (Baltic Sea) in relation to phytoplankton species and nutrient variability. Oceanologia60, 544–552. doi: 10.1016/j.oceano.2018.04.005
34
R Core Team . (2019). R: A language and environment for statistical computing R Foundation for Statistical Computing. (Vienna, Austria). Available online at: https://www.R-project.org/.
35
Rakko A. Seppälä J. (2014). Effect of salinity on the growth rate and nutrient stoichiometry of two Baltic Sea filamentous cyanobacterial species. Est. J. Ecol.63, 55. doi: 10.3176/eco.2014.2.01
36
Schoffelen N. J. Mohr W. Ferdelman T. G. Duerschlag J. Littmann S. Ploug H. et al . (2019). Phosphate availability affects fixed nitrogen transfer from diazotrophs to their epibionts. ISME J.13, 2701–2713. doi: 10.1038/s41396-019-0453-5
37
Suikkanen S. Laamanen M. Huttunen M. (2007). Long-term changes in summer phytoplankton communities of the open northern Baltic Sea. Estuar. Coast. Shelf Sci.71, 580–592. doi: 10.1016/j.ecss.2006.09.004
38
Utermöhl H. (1958). Zur Vervollkommnung der quantitativen Phytoplankton-Methodik. Mitt. Int. Ver. Theor. Angew. Limnol.9, 1–38. doi: 10.1080/05384680.1958.11904091
39
Vahtera E. Conley D. J. Gustafsson B. G. Kuosa H. Pitkänen H. Savchuk O. P. et al . (2007a). Internal ecosystem feedbacks enhance nitrogen-fixing cyanobacteria blooms and complicate management in the Baltic Sea. Ambio36, 186–194. doi: 10.1579/0044-7447(2007)36[186:iefenc]2.0.co;2
40
Vahtera E. Laamanen M. Rintala J. M. (2007b). Use of different phosphorus sources by the bloom-forming cyanobacteria Aphanizomenon flos-aquae and Nodularia spumigena. Aquat. Microb. Ecol.46, 225–237. doi: 10.3354/ame046225
41
Vanharanta M. Santoro M. Villena-Alemany C. Piiparinen J. Piwosz K. Grossart H.-P. et al . (2024). Microbial remineralization processes during postspring-bloom with excess phosphate available in the northern Baltic Sea. FEMS Microbiol. Ecol.100. doi: 10.1093/femsec/fiae103
42
Wåhlström I. Almroth-Rosell E. Edman M. Olofsson M. Eilola K. Fleming V. et al . (2024). Increased nutrient retention and cyanobacterial blooms in a future coastal zone. Estuar. Coast. Shelf Sci.301, 108728. doi: 10.1016/j.ecss.2024.108728
43
Wasmund N. (1997). Occurrence of cyanobacterial blooms in the baltic sea in relation to environmental conditions. Int. Rev. ges. Hydrobiol. Hydrogr.82, 169–184. doi: 10.1002/iroh.19970820205
44
Wasmund N. (2017). The diatom/dinoflagellate index as an indicator of ecosystem changes in the Baltic sea. 2. Historical data for use in determination of good environmental status. Front. Mar. Sci.4. doi: 10.3389/fmars.2017.00153
Summary
Keywords
Aphanizomenon flosaquae , Baltic Sea, Gulf of Riga, GAM, long-term data
Citation
Liepina-Leimane I, Jurgensone I, Barda I, Kokorite I and Aigars J (2026) Diverging temporal trends and environmental drivers of dominant cyanobacteria in the Gulf of Riga, 1976–2024. Front. Mar. Sci. 12:1713992. doi: 10.3389/fmars.2025.1713992
Received
26 September 2025
Revised
21 November 2025
Accepted
15 December 2025
Published
09 January 2026
Volume
12 - 2025
Edited by
Laura Lorenzoni, National Aeronautics and Space Administration (NASA), United States
Reviewed by
Helmke Hepach, Helmholtz Association of German Research Centres (HZ), Germany
Aleksey Paltsev, Umeå University, Sweden
Updates
Copyright
© 2026 Liepina-Leimane, Jurgensone, Barda, Kokorite and Aigars.
This is an open-access article distributed under the terms of the Creative Commons Attribution License (CC BY). The use, distribution or reproduction in other forums is permitted, provided the original author(s) and the copyright owner(s) are credited and that the original publication in this journal is cited, in accordance with accepted academic practice. No use, distribution or reproduction is permitted which does not comply with these terms.
*Correspondence: Ineta Liepina-Leimane, ineta.liepina@lhei.lv
Disclaimer
All claims expressed in this article are solely those of the authors and do not necessarily represent those of their affiliated organizations, or those of the publisher, the editors and the reviewers. Any product that may be evaluated in this article or claim that may be made by its manufacturer is not guaranteed or endorsed by the publisher.