Abstract
Background:
The purpose of this study was to develop and verify a novel nomogram for predicting stroke patients’ early thrombolytic efficacy.
Methods:
We collect basic facts and clinical data of stroke patients with intravenous thrombolysis. A nomogram was established for predicting early thrombolytic efficacy in these people. The LASSO regression method and multivariate logistic regression were used to filter variables and choose predictors. Predictors were applied to develop a model. The model’s discriminatory capacity was assessed by computing the area under the curve. In addition, the model’s calibration analysis and decision curve analysis were performed.
Results:
Using multivariate logistic regression and LASSO regression techniques, five variables were chosen. These variables were age, NIHSS score before thrombolysis, prothrombin time, neutrophil count, and monocyte count. The AUC of the prediction model was 0.761 (95% CI, 0.717–0.805) in the training set and 0.744 (95% CI, 0.653–0.835) in the test set. The decision curve showed that the threshold probabilities for the effectiveness of early thrombolysis in cerebral infarction are 25–67% and 25–73% in the training set and test set, respectively.
Conclusion:
A novel nomogram with age, NIHSS score before thrombolysis, prothrombin time, neutrophil count, and monocyte count as variables has the potential to predict early thrombolytic efficacy in stroke patients. Physicians could utilize this handy nomogram to make better decisions for stroke patients with intravenous thrombolysis.
1 Introduction
Stroke is a common and frequent neurological disorder. It can result in an extensive range of neurological impairments such as communication, walking, swallowing, and other abilities of daily living. It also imposes a heavy load on the family. According to the Global Burden of Disease 2019 (1), stroke ranks as the second cause of death and is the third leading cause of disability worldwide. It is estimated that 33–42% of patients continue to require assistance with activities of daily living 6 years after stroke and 36% remain disabled 5 years after stroke. Acute ischemic stroke accounts for 60–80% of all strokes (2). Intravenous thrombolysis (IVT) in the hyperacute phase (4.5 h) is an important measure for effective reperfusion of blood vessels and the promotion of neurological recovery. It has been recommended by domestic and international therapeutic guidelines as a first-level recommendation (3). But a considerable number of patients fail to benefit from thrombolysis, and even experience neurological deterioration (4). If the therapeutic effect of intravenous thrombolysis can be assessed and predicted as early as possible, the benefit of thrombolysis can be greatly improved. In this study, we investigated the risk factors affecting early thrombolytic efficacy in stroke patients. A nomogram was developed to help physicians make better decisions to maximize the benefit of thrombolysis.
2 Materials and methods
2.1 Study population
General data: 570 patients undergoing IVT treatment for ischemic stroke were enrolled between March 2018 and March 2022 from Dongyang People’s Hospital.
The inclusion criteria were as follows: (1) patients who were at least 18 years old; (2) patients who had been treated with rt-PA and onset time (referring to the time from symptom onset to thrombolytic treatment) ≤4.5 h; (3) patients who had a confirmed diagnosis of cerebral infarction with neurological deficits.
The exclusion criteria were as follows: (1) patients who had experienced hemorrhagic cerebral infarction; (2) patients who had undergone transient ischemic attack; (3) patients who had thrombosis of the cerebral venous sinus; (4) patients who had brain tumors; (5) patients who had incomplete primary observational indexes for diverse reasons; (6) patients who had contraindications to IVT; (7) coma, a pre-thrombolysis National Institutes of Health Stroke Scale (NIHSS) score of >25 points or epileptic seizure at the onset of illness; and (8) patients who had post-thrombolytic bridging for thrombolysis.
2.2 Data collection
This retrospective study collected baseline characteristics of patients, including general information (gender, age, alcohol consumption, smoking), a portion of previous medical history (diabetes mellitus, hypertension, atrial fibrillation, ischemic heart disease, stroke), history of previous medications (antiplatelet, statins), admission NIHSS score, pre-thrombolytic systolic blood pressure, pre-thrombolytic diastolic blood pressure, onset-to-treatment time (OTT), TOAST type, whether or not it was a posterior circulation infarction, antihypertensive drugs used before thrombolysis (HD) and laboratory findings (red blood cell count, hemoglobin, white blood cell count, blood platelet count, neutrophil count, lymphocyte count, monocyte count, lymphocyte to monocyte ratio (LMR), neutrophil to lymphocyte ratio (NLR), platelet to lymphocyte ratio (PLR), international normalized values (INR), prothrombin time (PT), activated partial thromboplastin time (APTT), fibrinogen (FIB), serum potassium, serum sodium, serum chloride, serum calcium, blood glucose level, blood urea nitrogen (BUN), creatinine). Stroke subtypes were determined by the investigators on the basis of an extended version of the TOAST (Trial of ORG10172 in Acute Stroke Treatment) classification. Arterial stenosis or occlusion was assessed using craniocervical CTA. Cerebral infarction caused by small artery occlusion type was defined as TOAST-A group according to the cerebral infarction etiology classification. Cerebral infarction due to large artery occlusion or stenosis, cardiogenic etiology, other etiologies, and unknown etiologies were defined as TOAST-B group. This study discussed the early thrombolytic efficacy after IVT. The National Institutes of Health Stroke Scale was used to measure early thrombolytic efficacy in stroke patients (5).
2.3 Definitions of outcomes
A decrease in the NIHSS score by <4 points with 24 h after thrombolysis was known as thrombolytic ineffective group. Meanwhile, a decrease in the NIHSS score by ≥4 points with 24 h after thrombolysis or 24 h NIHSS score ≤1 point was defined as thrombolytic effective group.
2.4 Statistical analysis
The respective expressions for continuous and categorical data were medians (quartiles) and number proportions. The statistical analyses employed to distinguish between the thrombolytically effective and thrombolytically ineffective groups were, as applicable, the unpaired t-test, Wilcoxon rank sum test, Pearson chi-square test, or Fisher’s exact test. Patients with cerebral infarction who underwent thrombolysis between March 2018 and March 2022 and met the inclusion criteria were randomly divided into a training group and a test group in an 8:2 ratio. The LASSO regression method and multivariate logistic regression were used to filter variables and choose predictors. Predictors were utilized to construct a predictive model for effective thrombolysis in cerebral infarction. The discriminatory ability of the model was determined by calculating the area under the curve (AUC). The clinical validity of the model was evaluated through decision curve analysis (DCA), while the calibration of the model was assessed using a calibration curve (6). The statistical software utilized was R 4.3.3. A significance level of p < 0.05 was applied to the results.
3 Results
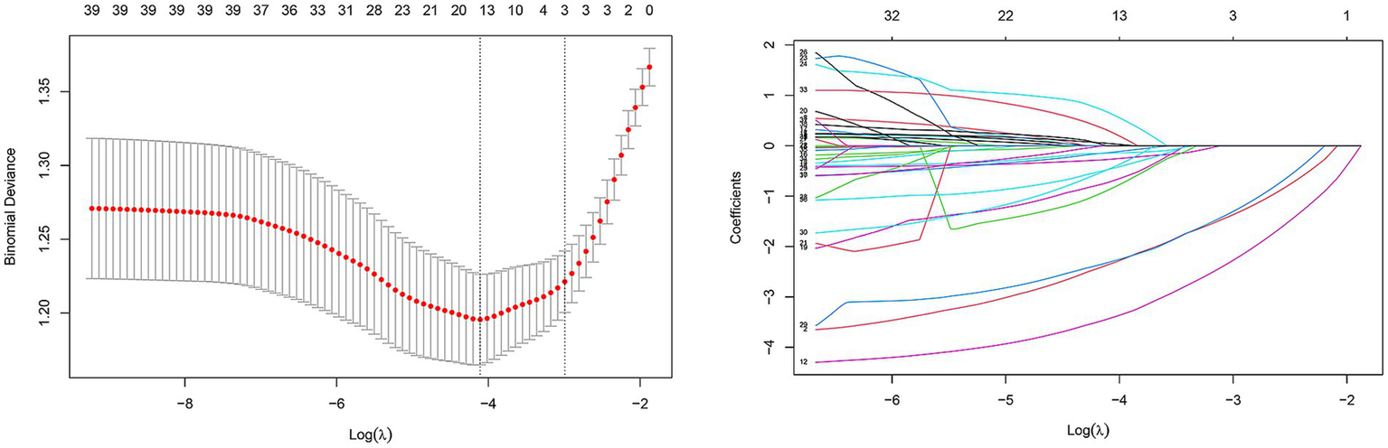
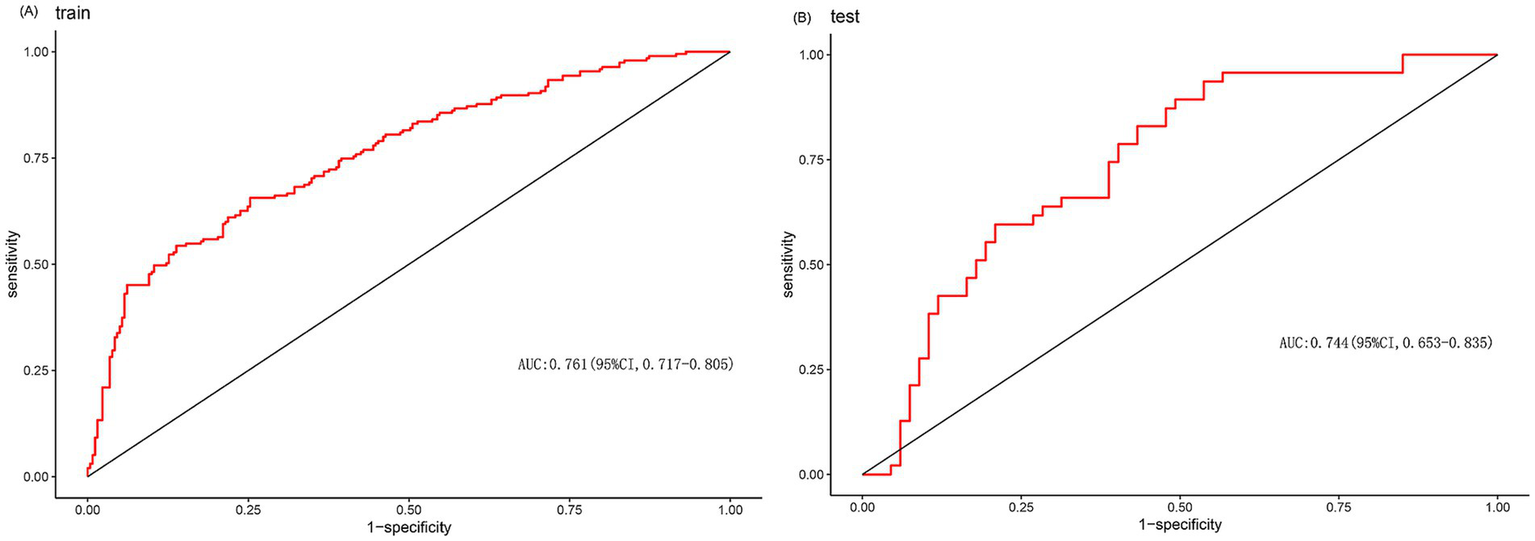
We enrolled 701 stroke patients who received IVT treatment from Dongyang People’s Hospital from March 2018 and March 2022 and excluded patients with hemorrhagic cerebral infarction, endovascular treatment, incomplete observation indicators (Figure 1). Among the study participants, 42.5% (242/570) were patients with effective early thrombolytic therapy for cerebral infarction. The demographic and clinical characteristics of the study participants are presented (Table 1). A total of 13 variables were chosen from the 39 variables gathered from the patients based on non-zero coefficients calculated by LASSO regression analysis (Figure 2). These variables include age, history of diabetes, NIHSS score before thrombolysis, red blood cell count, neutrophil count, use of antiplatelet drugs, use of statins, monocyte count, serum potassium, serum calcium, APTT, OTT, and PT. In order to establish a predictive model for the early efficacy of thrombolytic therapy in ischemic stroke, a multivariate logistic regression analysis was conducted on the aforementioned 13 variables. Five statistically significant variables were selected, including age, NIHSS score before thrombolysis, PT, neutrophil count, and monocyte count (Table 2). The variance inflation factors for these five variables were also assessed, and no correlations were found (Table 3). The AUC of the prediction model on the training set was 0.761 (95% CI, 0.717–0.805), and the AUC on the internal validation set was 0.744 (95% CI, 0.653–0.835) (Figure 3). A nomogram was constructed to offer a practical and individualized instrument for forecasting the likelihood of early efficacy of thrombolysis in cerebral infarction (Figure 4). The calibration curve showed no statistical deviation between predicted and observed values (Figure 5). To assess its clinical application value, a decision curve analysis was additionally conducted. The decision curve showed that the threshold probabilities for the effectiveness of early thrombolysis in cerebral infarction were 25–67% and 25–73% in the training set and test set, respectively (Figure 6). The application of this nomogram to predict early thrombolytic efficacy in stroke patients could effectively assist clinicians in making better decisions. Let patients benefited more.
Figure 1

Flowchart of patient selection.
Table 1
| Variables | Total (n = 570) | Ineffective group (n = 328) | Effective group (n = 242) | p-value |
|---|---|---|---|---|
| Gender, n (%) | 0.478 | |||
| Female | 199 (35) | 119 (36) | 80 (33) | |
| Male | 371 (65) | 209 (64) | 162 (67) | |
| Age (years), median (Q1, Q3) | 69 (61, 76) | 71 (63, 80) | 65 (57, 73) | <0.001 |
| Smoking (any cigarettes/week), n (%) | 0.603 | |||
| No | 331 (58) | 194 (59) | 137 (57) | |
| Yes | 239 (42) | 134 (41) | 105 (43) | |
| Alcohol use (≥ one unit/day), n (%) | 1 | |||
| No | 336 (59) | 193 (59) | 143 (59) | |
| Yes | 234 (41) | 135 (41) | 99 (41) | |
| Hypertension, n (%) | 0.532 | |||
| No | 205 (36) | 122 (37) | 83 (34) | |
| Yes | 365 (64) | 206 (63) | 159 (66) | |
| Diabetes mellitus, n (%) | 0.084 | |||
| No | 468 (82) | 261 (80) | 207 (86) | |
| Yes | 102 (18) | 67 (20) | 35 (14) | |
| Atrial fibrillation, n (%) | 0.012 | |||
| No | 464 (81) | 255 (78) | 209 (86) | |
| Yes | 106 (19) | 73 (22) | 33 (14) | |
| Coronary heart disease, n (%) | 0.38 | |||
| No | 507 (89) | 288 (88) | 219 (90) | |
| Yes | 63 (11) | 40 (12) | 23 (10) | |
| History of stroke, n (%) | 0.69 | |||
| No | 492 (86) | 281 (86) | 211 (87) | |
| Yes | 78 (14) | 47 (14) | 31 (13) | |
| Antiplatelet, n (%) | 0.054 | |||
| No | 510 (89) | 286 (87) | 224 (93) | |
| Yes | 60 (11) | 42 (13) | 18 (7) | |
| Statins, n (%) | 0.08 | |||
| No | 517 (91) | 291 (89) | 226 (93) | |
| Yes | 53 (9) | 37 (11) | 16 (7) | |
| NIHSS scores, median (Q1, Q3) | 4 (3, 7) | 5 (3, 7) | 3 (2, 6) | <0.001 |
| OTT (min), n (%) | 0.051 | |||
| 0–180 min | 442 (78) | 263 (80) | 179 (74) | |
| 181–270 min | 128 (22) | 65 (20) | 63 (26) | |
| TOAST, n (%) | <0.001 | |||
| TOAST-A | 328 (58) | 169 (52) | 159 (66) | |
| TOAST-B | 242 (42) | 159 (48) | 83 (34) | |
| POCI, n (%) | 0.688 | |||
| No | 425 (75) | 242 (74) | 183 (76) | |
| Yes | 145 (25) | 86 (26) | 59 (24) | |
| HD, n (%) | 0.878 | |||
| No | 473 (83) | 271 (83) | 202 (83) | |
| Yes | 97 (17) | 57 (17) | 40 (17) | |
| SBP (mmHg), mean ± SD | 151.19 ± 18.77 | 151.12 ± 18.73 | 151.29 ± 18.87 | 0.918 |
| DBP (mmHg), median (Q1, Q3) | 84 (74, 94) | 84 (74, 94) | 84 (74, 93) | 0.668 |
| Laboratory data, median (Q1, Q3) | ||||
| RBC (*1012/L) | 4.61 (4.29, 4.95) | 4.61 (4.28, 4.94) | 4.61 (4.31, 4.97) | 0.648 |
| Hemoglobin (g/L) | 144 (133, 154) | 143 (132, 153) | 145 (133, 155) | 0.288 |
| WBC (*109/L) | 7.22 (6.04, 8.84) | 7.27 (6.08, 8.84) | 7.17 (6.02, 8.81) | 0.763 |
| Neutrophil (*109/L) | 4.42 (3.57, 5.69) | 4.46 (3.6, 5.72) | 4.39 (3.48, 5.65) | 0.332 |
| Lymphocyte (*109/L) | 1.88 (1.44, 2.57) | 1.87 (1.42, 2.51) | 1.88 (1.47, 2.74) | 0.156 |
| Monocyte (*109/L) | 0.43 (0.35, 0.56) | 0.43 (0.34, 0.54) | 0.43 (0.36, 0.58) | 0.197 |
| NLR | 2.28 (1.55, 3.32) | 2.33 (1.72, 3.41) | 2.15 (1.49, 3.24) | 0.052 |
| PLR | 106.69 (78.91, 146.42) | 107.53 (80.21, 151.87) | 105.5 (77.33, 139.5) | 0.534 |
| LMR | 4.37 (3.27, 5.82) | 4.36 (3.26, 5.66) | 4.49 (3.27, 5.93) | 0.453 |
| Platelet (*109/L) | 207 (169.25, 244.5) | 205 (167.75, 240.25) | 211 (173.25, 250.5) | 0.056 |
| PT(s) | 12.9 (12.5, 13.4) | 13.1 (12.7, 13.6) | 12.8 (12.4, 13.1) | <0.001 |
| APTT(s) | 34 (31.63, 36.8) | 34.1 (31.6, 37.02) | 33.8 (31.72, 36.5) | 0.25 |
| INR | 0.99 (0.95, 1.04) | 1 (0.96, 1.05) | 0.98 (0.94, 1.01) | <0.001 |
| Fibrinogen (g/L) | 3.22 (2.78, 3.75) | 3.22 (2.81, 3.72) | 3.24 (2.73, 3.79) | 0.567 |
| Potassium (mmol/L) | 3.8 (3.56, 4.05) | 3.79 (3.55, 4.09) | 3.82 (3.57, 4.04) | 0.907 |
| Sodium (mmol/L) | 139.3 (137.4, 141) | 139.1 (137.4, 141) | 139.5 (137.52, 141) | 0.633 |
| Chlorinum (mmol/L) | 102.7 (100.03, 105) | 102.7 (100.18, 104.93) | 102.7 (99.9, 105.18) | 0.896 |
| Calcium (mmol/L) | 2.29 (2.24, 2.36) | 2.29 (2.24, 2.37) | 2.29 (2.24, 2.36) | 0.559 |
| Blood glucose level (mmol/L) | 6.92 (6.01, 8.54) | 7.16 (6.03, 9.07) | 6.78 (5.98, 8.19) | 0.087 |
| BUN (mmol/L) | 5.6 (4.7, 7.07) | 5.6 (4.68, 7.1) | 5.75 (4.7, 6.9) | 0.945 |
| Serum creatinine (μmol/L) | 72 (60, 84) | 71 (59, 84) | 73 (61.25, 84) | 0.511 |
Demographic and clinical characteristics of study participants.
Data are presented as mean ± standard deviation or N (%) or median (interquartile range). TOAST-A, small-artery occlusion lacunar; TOAST-B, large-artery atherosclerosis, cardio embolism, acute stroke of other determined etiology or stroke of other undetermined etiology; POCI, post circulation infarction; HD, antihypertensive drugs used before thrombolysis; NLR, neutrophil-lymphocyte ratio; PLR, platelet-lymphocyte ratio; LMR, lymphocyte-monocyte ratio; OTT, onset-to-treatment time; NIHSS, National Institutes of Health Stroke Scale; SBP, systolic blood pressure; DBP, diastolic blood pressure; WBC, white blood cell; RBC, red blood cell; PT, prothrombin time; APTT, active partial thromboplastin; INR, international normalized ratio; BUN, blood urea nitrogen.
Bold values indicate a significant difference between the ineffective group and effective group (p < 0.05).
Figure 2

Predictor selection using the LASSO regression analysis with tenfold cross-validation. In this study, predictor’s selection was according to the 1-SE criteria (left dotted line), where 13 nonzero coefficients were selected. LASSO, least absolute shrinkage and selection operator; SE, standard error.
Table 2
| Variables | Logistic regression | |
|---|---|---|
| OR (95% CI) | p | |
| Age | 0.958 (0.939–0.976) | <0.001 |
| NIHSS scores | 0.818 (0.756–0.881) | <0.001 |
| PT | 0.548 (0.382–0.775) | <0.001 |
| Neutrophil | 0.883 (0.785–0.984) | 0.008 |
| Monocyte | 6.270 (1.640–25.30) | 0.030 |
The multiple logistic regression analysis of risk factors for predicting early thrombolytic efficacy in the training group.
Table 3
| Variable | Variation inflation factor |
|---|---|
| Age | 1.034 |
| NIHSS scores | 1.011 |
| PT | 1.031 |
| Neutrophil | 1.141 |
| Monocyte | 1.140 |
Collinearity of combinations of variables in the training group.
Figure 3

(A) ROC curve of the prediction model of train. (B) ROC curve of the prediction model of test.
Figure 4

Nomogram for predicting early thrombolytic efficacy in stroke patients. The point of each independent predictor was the score corresponding to the upper scale, and the total points of each subject were the sum of the scores of each independent predictor.
Figure 5

Calibration curve of the predictive model showing the degree of consistency between the predicted probability and observed probability.
Figure 6

Decision curve analysis (DCA) of the nomogram.
4 Discussion
There are several effective treatment options for patients with acute ischemic stroke. Among these, IVT and endovascular intervention are the most important treatment methods. Suitable patients can combine the two (7, 8). However, IVT remains the preferred option for a considerable proportion of patients. In this study, we retrospectively analyzed the early thrombolytic outcome of 570 stroke patients, with the expectation of identifying factors affecting the efficacy of thrombolysis. It can help acute neurologists to make an immediate assessment of the patient. Let patients benefit from thrombolysis to the greatest extent possible. This study showed that age, NIHSS score before thrombolysis, prothrombin time, neutrophil count, and monocyte count were predictive factors affecting the early efficacy of thrombolysis in cerebral infarction.
Previous studies have shown that old age was one of the most significant and independent predictors of death and poor prognosis in stroke (9, 10). Shi’s et al. (11) study also showed that older patients with acute cerebral infarction have a higher risk of neurological deterioration after revascularization, especially in subgroup analyses, where the symptoms were more pronounced in patients who received IVT treatment. Age-related neural function deterioration may be mechanistically linked to two factors: elevated brain levels of phosphorylated adenosine monophosphate-activated protein kinase (pAMPK) and reduced Na-K-Cl cotransporter expression (12, 13). However, the specific mechanism requires further investigation.
In addition, the NIHSS score is also independent factors in influencing early thrombolytic efficacy in stroke patients. The severity of a patient’s condition is positively correlated with its NIHSS score. Therefore, a substantial number of thrombolysis prognostic models have used the NIHSS score on admission as a variable (14, 15). Adams et al. (16) concluded that baseline NIHSS score was strongly associated with prognosis. A pre-thrombolysis NIHSS score of ≥16 was associated with death and dependence, whereas a pre-thrombolysis NIHSS score of ≤6 suggested a good prognosis. Pre-thrombolysis NIHSS score is a significant predictor of thrombolytic efficacy. A higher NIHSS score often indicates a larger area of cerebral infarction and malignant cerebral edema. Although our study found that patients with small artery cerebral infarction often have better early thrombolytic efficacy than patients with other types of cerebral infarction, multivariate regression analysis showed that stroke subtype should not be a primary consideration. At the same time, the early efficacy of thrombolysis in cerebral infarction is unrelated to whether it is an anterior or posterior circulation cerebral infarction.
In patients with acute cerebral infarction, intravenous thrombolytic therapy dissolves thrombi by activating the fibrinolytic system. The pathological process is accompanied by the interaction between the coagulation and fibrinolytic systems. PT refers to the time it takes for blood to clot after adding thrombin and calcium to platelet-poor plasma, reflecting the efficiency of the extrinsic coagulation pathway initiated by tissue factor. Zhao et al. (17) found that the level of baseline PT after rt-PA thrombolysis was significantly associated with the 3-month unfavorable functional outcome in stroke patients, but no association was found between PT and early neurological deterioration (END). In this study, we found that the baseline PT before thrombolysis was an important independent factor influencing the early efficacy of thrombolysis in cerebral infarction. A shorter PT was associated with better early therapeutic outcomes in thrombolysis for cerebral infarction.
Neuroinflammatory responses also play an important role in the pathophysiology of ischemic stroke. Inflammatory cytokines or chemokines are immediately formed after cerebral ischemia, stimulating the expression of adhesion molecules on leukocytes and endothelial cells, causing various inflammatory cells (neutrophils, monocytes/macrophages, different subtypes of T cells, and other inflammatory cells) to enter the ischemic area, exacerbating brain damage. Neutrophils induce the expression of matrix metalloproteinase-9 (MMP-9) by producing proinflammatory cytokines, which leads to the destruction of the blood–brain barrier and further brain damage (18, 19). Our study found that baseline neutrophil count and monocyte count before thrombolysis may be independent predictors of early thrombolytic efficacy in cerebral infarction. NLR, PLR, and LMR are novel inflammatory prediction indicators. Sun et al. (20) found that a high PLR value 24 h after rt-PA treatment was independently associated with poor prognosis and increased risk of death. However, the PLR value at admission was not significantly associated with poor prognosis and increased risk of death. Multiple studies have shown that the combination of NLR and low LMR observed within 24 h after thrombolysis can serve as an independent predictor of poor outcomes at 3 months in acute cerebral infarction patients (21, 22). Changes in NLR, PLR, and LMR after hospitalization have not been included in this study. No association was found between baseline NLR, PLR, and LMR and early efficacy after thrombolysis for cerebral infarction.
Time is the brain. The length of the therapeutic time may also influence the efficacy of thrombolysis in cerebral infarction. OTT have been proven to be an independent predictor of END following thrombolysis in cerebral infarction by multiple studies (11, 23). Although intravenous thrombolysis is generally considered effective within 3–4.5 h after onset, the possibility of END also increases within this window (24). However, in our study, we did not find that patients who underwent thrombolysis for cerebral infarction within 0–3 h had better early neurological improvement than those who underwent thrombolysis for cerebral infarction within 3–4.5 h.
This study has several limitations. First, it was a retrospective study, and selection bias was unavoidable. Second, it was a single-center study, and external validation might be needed to support our conclusions. Third, this study only examined the early efficacy of thrombolysis in cerebral infarction and did not examine the condition of patients three months after thrombolysis, which might bias the assessment of long-term prognosis.
5 Conclusion
A prediction model for early thrombolytic efficacy in stroke patients was developed in this study. These predictive factors are relatively easy to obtain in clinical practice. The nomogram can help clinicians make better clinical decisions in acute cerebral infarction thrombolysis. Let more patients benefit from thrombolysis.
Statements
Data availability statement
The original contributions presented in the study are included in the article/supplementary material, further inquiries can be directed to the corresponding author.
Ethics statement
The studies involving humans were approved by the Ethics Committee of Dongyang People’s Hospital, Wenzhou Medical University. The studies were conducted in accordance with the local legislation and institutional requirements. Written informed consent for participation was not required from the participants or the participants’ legal guardians/next of kin in accordance with the national legislation and institutional requirements.
Author contributions
CL: Data curation, Investigation, Writing – original draft. DX: Supervision, Writing – review & editing.
Funding
The author(s) declare that no financial support was received for the research and/or publication of this article.
Acknowledgments
Our sincere appreciation goes out to all the researchers and patients who willingly participated in this study.
Conflict of interest
The authors declare that the research was conducted in the absence of any commercial or financial relationships that could be construed as a potential conflict of interest.
Publisher’s note
All claims expressed in this article are solely those of the authors and do not necessarily represent those of their affiliated organizations, or those of the publisher, the editors and the reviewers. Any product that may be evaluated in this article, or claim that may be made by its manufacturer, is not guaranteed or endorsed by the publisher.
References
1.
GBD 2019 Stroke Collaborators . Global, regional, and national burden of stroke and its risk factors, 1990–2019: a systematic analysis for the global burden of disease study 2019. Lancet Neurol. (2021) 20:795–820. doi: 10.1016/s1474-4422(21)00252-0
2.
Shibata K Hashimoto T Miyazaki T Miyazaki A Nobe K . Thrombolytic therapy for acute ischemic stroke: past and future. Curr Pharm Des. (2019) 25:242–50. doi: 10.2174/1381612825666190319115018
3.
Chinese Society of Neurology, Chinese Stroke Society . Chinese guidelines for diagnosis and treatment of acute ischemic stroke 2023. Chin J Neurol. (2024) 57:523–59. doi: 10.3760/cma.j.cn113694-20240410-00221
4.
Çelik O Çil C Biteker FS Gökçek A Doğan V . Early neurological deterioration in acute ischemic stroke. J Chin Med Assoc. (2019) 82:245. doi: 10.1097/jcma.0000000000000022
5.
Brott T Adams HP Jr Olinger CP Marler JR Barsan WG Biller J et al . Measurements of acute cerebral infarction: a clinical examination scale. Stroke. (1989) 20:864–70. doi: 10.1161/01.str.20.7.864
6.
Van Calster B Wynants L Verbeek JFM Verbakel JY Christodoulou E Vickers AJ et al . Reporting and interpreting decision curve analysis: a guide for investigators. Eur Urol. (2018) 74:796–804. doi: 10.1016/j.eururo.2018.08.038
7.
Campbell BC Mitchell PJ Kleinig TJ Dewey HM Churilov L Yassi N et al . Endovascular therapy for ischemic stroke with perfusion-imaging selection. N Engl J Med. (2015) 372:1009–18. doi: 10.1056/NEJMoa1414792
8.
Goyal M Demchuk AM Menon BK Eesa M Rempel JL Thornton J et al . Randomized assessment of rapid endovascular treatment of ischemic stroke. N Engl J Med. (2015) 372:1019–30. doi: 10.1056/NEJMoa1414905
9.
Palnum KD Petersen P Sørensen HT Ingeman A Mainz J Bartels P et al . Older patients with acute stroke in Denmark: quality of care and short-term mortality. A nationwide follow-up study. Age Ageing. (2008) 37:90–5. doi: 10.1093/ageing/afm134
10.
Smith EE Shobha N Dai D Olson DM Reeves MJ Saver JL et al . Risk score for in-hospital ischemic stroke mortality derived and validated within the get with the guidelines-stroke program. Circulation. (2010) 122:1496–504. doi: 10.1161/circulationaha.109.932822
11.
Shi HX Li C Zhang YQ Li X Liu AF Liu YE et al . Predictors of early neurological deterioration occurring within 24 h in acute ischemic stroke following reperfusion therapy: a systematic review and meta-analysis. J Integr Neurosci. (2023) 22:52. doi: 10.31083/j.jin2202052
12.
Parray A Ma Y Alam M Akhtar N Salam A Mir F et al . An increase in AMPK/e-NOS signaling and attenuation of MMP-9 may contribute to remote ischemic perconditioning associated neuroprotection in rat model of focal ischemia. Brain Res. (2020) 1740:146860. doi: 10.1016/j.brainres.2020.146860
13.
Yamazaki Y Abe Y Fujii S Tanaka KF . Oligodendrocytic Na+-K+-Cl− co-transporter 1 activity facilitates axonal conduction and restores plasticity in the adult mouse brain. Nat Commun. (2021) 12:5146. doi: 10.1038/s41467-021-25488-5
14.
Strbian D Meretoja A Ahlhelm FJ Pitkäniemi J Lyrer P Kaste M et al . Predicting outcome of IV thrombolysis-treated ischemic stroke patients: the DRAGON score. Neurology. (2012) 78:427–32. doi: 10.1212/WNL.0b013e318245d2a9
15.
Kent DM Selker HP Ruthazer R Bluhmki E Hacke W . The stroke-thrombolytic predictive instrument: a predictive instrument for intravenous thrombolysis in acute ischemic stroke. Stroke. (2006) 37:2957–62. doi: 10.1161/01.STR.0000249054.96644.c6
16.
Adams HP Jr Davis PH Leira EC Chang KC Bendixen BH Clarke WR et al . Baseline NIH stroke scale score strongly predicts outcome after stroke: a report of the trial of org 10172 in acute stroke treatment (TOAST). Neurology. (1999) 53:126–31. doi: 10.1212/wnl.53.1.126
17.
Zhao J Dong L Hui S Lu F Xie Y Chang Y et al . Prognostic values of prothrombin time and inflammation-related parameter in acute ischemic stroke patients after intravenous thrombolysis with rt-PA. Clin Appl Thromb Hemost. (2023) 29:10760296231198042. doi: 10.1177/10760296231198042
18.
Jin P Li X Chen J Zhang Z Hu W Chen L et al . Platelet-to-neutrophil ratio is a prognostic marker for 90-days outcome in acute ischemic stroke. J Clin Neurosci. (2019) 63:110–5. doi: 10.1016/j.jocn.2019.01.028
19.
Huang L Chen Y Liu R Li B Fei X Li X et al . P-glycoprotein aggravates blood brain barrier dysfunction in experimental ischemic stroke by inhibiting endothelial autophagy. Aging Dis. (2022) 13:1546–61. doi: 10.14336/ad.2022.0225
20.
Sun YY Wang MQ Wang Y Sun X Qu Y Zhu HJ et al . Platelet-to-lymphocyte ratio at 24 h after thrombolysis is a prognostic marker in acute ischemic stroke patients. Front Immunol. (2022) 13:1000626. doi: 10.3389/fimmu.2022.1000626
21.
Sadeghi F Sarkady F Zsóri KS Szegedi I Orbán-Kálmándi R Székely EG et al . High neutrophil-lymphocyte ratio and low lymphocyte-monocyte ratio combination after thrombolysis is a potential predictor of poor functional outcome of acute ischemic stroke. J Pers Med. (2022) 12:12. doi: 10.3390/jpm12081221
22.
Li G Hao Y Wang C Wang S Xiong Y Zhao X . Association between neutrophil-to-lymphocyte ratio/lymphocyte-to-monocyte ratio and in-hospital clinical outcomes in ischemic stroke treated with intravenous thrombolysis. J Inflamm Res. (2022) 15:5567–78. doi: 10.2147/jir.S382876
23.
Li J Zhu CL Zhang CY Li LM Liu R Zhang S et al . Risk factors for unexplained early neurological deterioration after intravenous thrombolysis: a meta-analysis. Neurosciences. (2025) 30:92–100. doi: 10.17712/nsj.2025.2.20230105
24.
Singh N Almekhlafi MA Bala F Ademola A Coutts SB Deschaintre Y et al . Effect of time to thrombolysis on clinical outcomes in patients with acute ischemic stroke treated with tenecteplase compared to alteplase: analysis from the AcT randomized controlled trial. Stroke. (2023) 54:2766–75. doi: 10.1161/strokeaha.123.044267
Summary
Keywords
cerebral infarction, ischemic stroke, intravenous thrombolysis, nomogram, early thrombolytic efficacy
Citation
Lou C and Xu D (2025) A nomogram for predicting early thrombolytic efficacy in stroke patients. Front. Neurol. 16:1452856. doi: 10.3389/fneur.2025.1452856
Received
19 July 2024
Accepted
08 August 2025
Published
20 August 2025
Volume
16 - 2025
Edited by
Raffaele Ornello, University of L’Aquila, Italy
Reviewed by
Weili Li, Shandong Academy of Medical Sciences (SDAMS), China
Yucel Yavuz, Dicle University, Türkiye
Updates
Copyright
© 2025 Lou and Xu.
This is an open-access article distributed under the terms of the Creative Commons Attribution License (CC BY). The use, distribution or reproduction in other forums is permitted, provided the original author(s) and the copyright owner(s) are credited and that the original publication in this journal is cited, in accordance with accepted academic practice. No use, distribution or reproduction is permitted which does not comply with these terms.
*Correspondence: Dongjuan Xu, xdj0108@126.com
Disclaimer
All claims expressed in this article are solely those of the authors and do not necessarily represent those of their affiliated organizations, or those of the publisher, the editors and the reviewers. Any product that may be evaluated in this article or claim that may be made by its manufacturer is not guaranteed or endorsed by the publisher.