ORIGINAL RESEARCH article
Front. Neurol.
Sec. Endovascular and Interventional Neurology
Analysis of 90-day risk factors for poor prognosis in patients with postoperative CT with hyperdense signs after thrombectomy for acute ischemic stroke
Provisionally accepted- Yongchuan Hospital of Chongqing Medical University, Chongqing, China
Select one of your emails
You have multiple emails registered with Frontiers:
Notify me on publication
Please enter your email address:
If you already have an account, please login
You don't have a Frontiers account ? You can register here
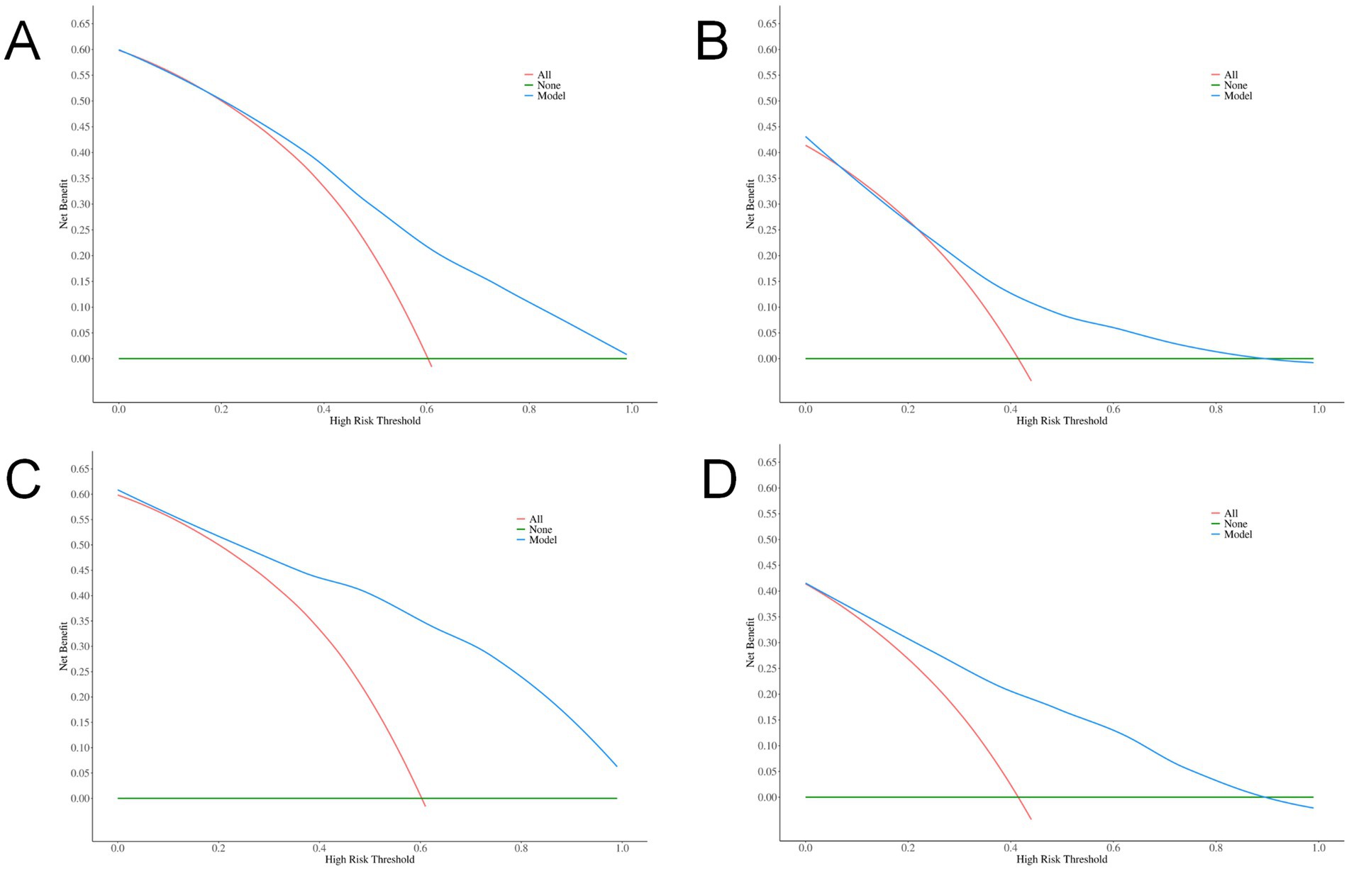
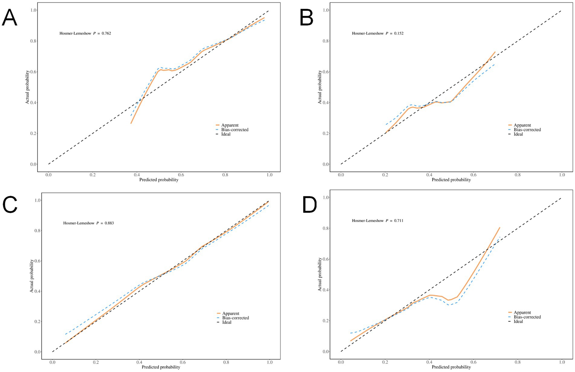
Objective: To investigate the risk factors associated with poor 90-day prognosis in patients exhibiting hyperdense signs on the initial CT scan after mechanical thrombectomy for acute ischemic stroke. Methods: We conducted a retrospective analysis of 96 patients with acute ischemic stroke who underwent mechanical thrombectomy at Yongchuan Hospital, Chongqing Medical University. The patients were divided into a training set (n = 55) and a validation set (n = 41). Based on the 90d mRS scores, patients were categorized into a good prognosis group (n = 46) and a poor prognosis group (n = 50). Clinical and imaging data were compared between the two groups. A prediction model was constructed using the logistic regression algorithm and validated using the temporal validation method. ROC curves were generated, and the AUC was calculated to evaluate the discriminative ability of the model. The Hosmer-Lemeshow goodness-of-fit test was used to assess calibration, and DCA was performed to evaluate the clinical net benefit of each model across various threshold probabilities. Results: Logistic regression analysis identified the following risk factors for poor 90-day prognosis: D-dimer level, admission diastolic blood pressure, preoperative NIHSS score, vascular occlusion site, as well as the volume of hyperdense areas and the total volume of both hyperdense and hypodense areas on the first postoperative CT scan. Two models were developed: one based solely on an imaging indicator and another incorporating combined indicators. The combined-indicator model demonstrated superior performance. In the training set, it achieved an AUC of 0.886 (95% CI: 0.801–0.971, P < 0.001), accuracy of 0.818, sensitivity of 0.818, and specificity of 0.818. In the test set, the AUC was 0.848 (95% CI: 0.730–0.966, P < 0.001), with an accuracy of 0.707, sensitivity of 0.542, and specificity of 0.941. DCA confirmed that two models maintained a positive clinical net benefit within a wide range of threshold probability values. Conclusion: Patients with hyperdense signs on the first postoperative CT scan exhibit distinct risk factors for poor 90-day prognosis. Combining imaging features with clinical indicators significantly improves the predictive value for 90-day outcome after mechanical thrombectomy.
Keywords: Mechanical thrombectomy, Hyperdense signs, postoperative CT, Acute ischemic stroke, Risk factors, prognosis
Received: 11 Apr 2025; Accepted: 07 Nov 2025.
Copyright: © 2025 Yi, Zhang, Bo and Zhou. This is an open-access article distributed under the terms of the Creative Commons Attribution License (CC BY). The use, distribution or reproduction in other forums is permitted, provided the original author(s) or licensor are credited and that the original publication in this journal is cited, in accordance with accepted academic practice. No use, distribution or reproduction is permitted which does not comply with these terms.
* Correspondence: Xiang Bo, 25286772@qq.com
Disclaimer: All claims expressed in this article are solely those of the authors and do not necessarily represent those of their affiliated organizations, or those of the publisher, the editors and the reviewers. Any product that may be evaluated in this article or claim that may be made by its manufacturer is not guaranteed or endorsed by the publisher.
