- 1Carver College of Medicine, University of Iowa, Iowa City, IA, United States
- 2Department of Biostatistics, University of Iowa, Iowa City, IA, United States
- 3Iowa City VA Center for the Prevention and Treatment of Visual Loss, VA Health Care System, Iowa City, IA, United States
- 4Department of Ophthalmology and Visual Sciences, University of Iowa, Iowa City, IA, United States
Introduction: Adult strabismus has a wide range of etiologies and necessitates clinical evaluation for appropriate treatment. Advancements in eye tracking technology show promise for the development of clinically accurate, automated evaluation and diagnosis of peripheral and central causes of ocular misalignment. However, multiple barriers prevent the incorporation of automated devices into clinical use. This study aimed to perform a quantitative meta-analysis and qualitative assessment of published reports of devices capable of automated strabismus evaluation.
Methods: A systematic search of the literature was conducted to identify reports of automated strabismus evaluation published between the years 1949–2025. Sixty-nine studies were identified through the literature search, and 17 of these studies qualified for statistical meta-analysis of automated device quality compared to gold standard clinical evaluation. We also analyzed factors affecting clinical use, including device portability, cost, and applicability toward patients with extreme angles of strabismus or anatomic variances, among others.
Results: Meta-analysis demonstrated a pooled estimation of correlation of 0.87 [95% CI: (0.81, 0.91)] between results obtained by devices capable of automated strabismus evaluation in the literature and gold standard clinical evaluation. We identified advantages and limitations of previous models and offered guidelines to facilitate the advancement of device capabilities toward the level of gold standard expert clinical evaluation, and to facilitate the clinical implementation of these devices.
Discussion: While barriers exist between experimental testing and clinical incorporation, automated strabismus technology shows promise for rapid, precise, and accurate evaluation of strabismus and has the potential to expand access to ophthalmic care in cases of low-resource or remote areas that lack local expert clinical personnel.
1 Introduction
Strabismus can be defined as a misalignment of the visual axes that may be congenital or acquired (1). The diagnosis has an estimated prevalence of 4% among the pediatric population and between 1 and 4% among the adult population worldwide (1–5). In individuals with normal ocular alignment, or orthophoria, both eyes can fixate on an object simultaneously. In those with strabismus, one eye is fixated on an object of interest, while the opposite eye is deviated away from the fixating eye (6). Strabismus may be either congenital or acquired in origin (3, 6). Congenital misalignment, which is often comitant (the misalignment is a constant, fixed amount in any direction of gaze), is the most common category of strabismus overall (3, 6). The etiology of congenital misalignment is incompletely understood but is suggested to arise from central nervous system pathways involved in processing and control of oculomotor function, including the lateral geniculate nucleus, midbrain fusion centers, striate cortex, and extrastriate cortical areas (3, 6). Acquired strabismus is typically incomitant and may be attributed to systemic conditions, such as vascular disease resulting in an aneurysm or ischemia, autoimmune disorders, demyelinating disease, systemic granulomatous disease, or muscular dystrophies (1–3, 6, 7). Misalignment can also arise as a sign of central nervous system infection, a neoplastic processes that raises intracranial pressure or affects the cranial nerves or extraocular muscles, or a cavernous sinus pathology (1–3, 6, 7). Additionally, acute trauma to the eye, extraocular muscles, or craniofacial structures can cause ocular misalignment (1, 3). Strabismus can result from adult-onset conditions affecting the tone, elasticity, or position of the extraocular muscles (e.g., thyroid eye disease, orbital inflammation, myositis, orbital or facial trauma, use of periocular implantable devices and age-related), or can re-emerge in adulthood as a decompensation of childhood strabismus, potentially with a history of surgery (1, 3, 6). Altogether, strabismus has a wide range of etiologies, and undiagnosed or new-onset strabismus warrants a timely and thorough evaluation to determine the cause and appropriate treatment for the best possible outcome (1, 3, 6).
Treatment of strabismus largely depends on the type and etiology of disease (1–3, 6, 7). Misalignment due to refractive error may be corrected with prescription lenses (1, 6). Often, strabismus requires surgical intervention to resolve diplopia or to improve a patient’s ability to make eye contact. The new onset of misalignment in older children and adults may suggest the need for further workup including imaging to assess for additional underlying pathology requiring interdisciplinary treatment (1, 6).
The gold standard measurement of ocular misalignment is achieved by using single and alternate cover tests and prisms, with alignment usually reported in prism diopters (8). Additional tests that assess for misalignment include the Hirschberg ratio or corneal light reflex, the Krimsky test, which uses prisms to center the corneal light reflex, the Brückner method, which uses an ophthalmoscope to assess for an asymmetric red reflex, the Hess screen test, the Lancaster red-green test, or synoptophore testing (7–10). Complete clinical evaluation of strabismus requires highly trained orthoptists, strabismus surgeons, or neuro-ophthalmologists who are trained in performing a sensorimotor exam and determining if additional systemic work-up or imaging is necessary (11, 12).
Multiple barriers exist between patients and appropriate evaluation of ocular misalignment. Evaluation of strabismus at any age should be timely, as undiagnosed strabismus can have consequences which range from decreased quality of life to significant morbidity or mortality, depending on the cause (4, 13, 14). Evaluation of strabismus in clinic is time-consuming and requires extensive clinical experience for examiners to accurately quantify misalignment (1, 11). Studies show that access to clinical experts trained in strabismus evaluation varies depending on geographical location and in some cases, socioeconomic status (15, 16). Additionally, the literature is lacking regarding guidelines for imaging in the setting of acute-onset misalignment, which often leads to unnecessary imaging and an inefficient use of healthcare resources (17).
Using automated systems for strabismus assessment would increase timely access for diagnosis and treatment for patients and reduce subjective measurement variability (12, 18). Concerning the pediatric population, automated strabismus and motility evaluation is under investigation as a tool to gain insight into infant eye movement, tracking, and cognitive development (19). Developing a clinically accurate, automated method of strabismus and ocular motility evaluation has become a popular field of technological research and development (8, 20–22). Previous devices that have been tested with the goal of assessing ocular deviation have applied a range of techniques, from the use of photographs to detect deviation in the nine cardinal gaze positions to the use of an automated application of the Hirschberg test, to the use of video-based pupil-tracking software to accurately estimate the degree of misalignment (21, 23, 24). More recently, the utilization of artificial intelligence and the adaptation of virtual reality head-mounted devices, many of which were originally developed for entertainment and gaming, have shown promise in the development of a portable, easy-to-use evaluation of ocular misalignment (25, 26). Despite these developments, multiple barriers prevent incorporation of these devices into clinical use, including the challenge of designing virtual reality headsets that fit both adults and children, the limitation of some devices that screen for the presence of strabismus without quantification or characterization of the misalignment, measurement of extreme degrees of deviation, evaluation of paralytic strabismus, accurate tracking of ocular structures in cases of ptotic eyelids or small eyelid fissures, rapid testing protocols, accurate automated software analysis of video recordings, cost of instrumentation, and portability of equipment (11, 22, 27, 28).
The objective of this study was to systematically review the literature for quantitative and qualitative evidence with which to evaluate the accuracy, reliability, portability, and feasibility of clinical implementation of devices that perform automated strabismus measurement. Primarily, we questioned how well automated strabismus devices perform quantitative measurement and characterization of strabismus compared to gold-standard clinical evaluation. Secondarily, we questioned what technical and contextual factors limit clinical implementation of technologies capable of automated strabismus evaluation. This review aims to identify advantages and limitations of previously proposed device models and to propose a framework for a device capable of automated strabismus measurement. This report also provides recommendations regarding the effective design of automated strabismus technology that compares to gold standard clinical evaluation. Additionally, this study proposes guidelines regarding the implementation of validation and feasibility studies to facilitate the incorporation of automated measurement technology into healthcare settings where clinical expertise on ocular misalignment is unavailable.
2 Methods
2.1 Literature search
A review was performed of reports published between the years 1949–2025 to analyze the available online published scientific literature describing devices capable of performing automated strabismus measurement that have been tested on either normal research participants, strabismus patients, or both. Considering the PICOS framework, this study examined how the assessment of strabismus by devices capable of automated strabismus evaluation in adult and pediatric populations compared to gold standard clinical evaluation. Outcomes considered included the accuracy and validity of strabismus detection and measurement in various gaze directions, as reported in various study designs that reflect the diversity of technological advancements reported in the literature. Data was collected through searches across the following platforms: Obsidian, PubMed, and Embase. Obsidian software was used to perform an advanced search. For this project, five folders were created in the Obsidian vault: Bibliographies, MeSH Terms, Original Bibliography, Project Notes, and Search Notes. After the initial literature search was conducted, individual notes were made for each MeSH Term assigned to the relevant articles. Then, individual notes were created for the citations of the articles and placed into the “Original Bibliography” folder. Each citation note included the article citation, bidirectional links to the notes of the assigned MeSH Terms, and the bibliography of the article. Notes were also created and linked for each citation on each bibliography list. These notes were placed in the Bibliographies folder. In the end, the MeSH Terms folder contained 157 notes, the Original Bibliography folder contained 52 notes, and the Bibliographies folder contained 814 notes. The most commonly used MeSH Terms were identified based on the number of links to the MeSH Term note, including “Humans,” “Child,” “Adult,” “Male,” “Female,” “Strabismus/diagnosis,” “Strabismus/physiopathology,” “Strabismus/diagnostic imaging,” “Reproducibility of Results,” “Vision, Binocular/physiology,” “Diagnostic techniques, ophthalmological,” “Fixation, Ocular/physiology,” “Esotropia/diagnosis,” “Exotropia/diagnosis,” “Vision Tests/methods,” “Image Processing, Computer-Assisted/methods,” “Sensitivity and Specificity,” “Vision Screening/instrumentation,” “Observer variation,” “Oculomotor muscles/pathology,” “Optics and photonics/instrumentation,” “Automation.” Two search statements were created based on these terms, the first as: (“Strabismus/diagnosis”[Mesh]) AND (((((“Diagnosis, Computer-Assisted”[Mesh]) OR (“Image Processing, Computer-Assisted”[Mesh])) OR (“Neural Networks, Computer”[Mesh])) OR (“Algorithms”[Mesh])) OR (“Pattern Recognition, Automated”[Mesh])), which produced 117 results, and the second as: (“Strabismus/diagnosis”[Mesh]) AND ((“Diagnosis, Computer-Assisted”[Mesh]) OR (“Image Processing, Computer-Assisted”[Mesh])), which produced 99 results. The date of last search using Obsidian was June 17, 2024. Additionally, the databases PubMed and Embase were used. PubMed search terms included “automated strabismus” and “automated strabismus evaluation.” yielding 134 search results. Embase search terms included ‘automated strabismus’ OR (automated AND (‘strabismus’/exp. OR strabismus)),” “‘automated strabismus evaluation’ OR “(automated AND (‘strabismus’/exp. OR strabismus) AND (‘evaluation’/exp. OR evaluation))” and “‘automated strabismus evaluation’ OR (automated AND (‘strabismus’/exp. OR strabismus) AND (‘evaluation’/exp. OR evaluation))” yielding 263 search results. After pertinent articles were extracted, their references were consulted for additional relevant literature. Duplicate search results were filtered from the included studies. Inclusion criteria included literature that was published and peer-reviewed, studies that were published in the English language, studies demonstrating the use of technology capable of automated strabismus detection and/or quantification, and studies validating or evaluating technology capable of automated strabismus detection and/or quantification. Exclusion criteria included studies that were unpublished or lacking peer review, studies that were published in a language other than English, or if the study pertained to automated assessment devices that evaluated conditions excluding strabismus. The studies were screened, read, and evaluated for inclusion in the study. At times, multiple studies from the same research group were included in the context of ongoing technological development by that group, or if distinct studies included updated hardware, software, or protocols of the same device, or included different technologies developed by the same research group, or included different subjects that were tested in the separate studies. The inclusion of these studies corresponded with our goal to analyze published studies pertaining to the development and clinical implementation of automated strabismus evaluation. The date of last formal search was October 30, 2024. Three reviewers screened records and assessed abstracts, and one reviewer assessed studies in full-length text for eligibility. In total, 69 articles met criteria for evaluation and were included in this review, and 32 studies were included (Figure 1). In the meta-analysis (see section “Statistical meta-analysis”). Studies not included in the meta-analysis were either included in the brief summary table (Table 1) or addressed in the Discussion.
2.2 Statistical meta-analysis
Sixty-nine studies were identified through database search. Of these, 22 studies either examined Pearson correlation, Kendall’s tau correlation, intraclass correlation (ICC), or kappa statistics between the new techniques for strabismus assessment and the gold standard and/or clinical grading scales (Table 1). Because Kendall’s tau correlation coefficient measures a non-linear association between two quantitative continuous variables, we utilized a technique by Gilpin (29) to convert this correlation into Pearson correlation coefficient. For data characterized by non-continuous variables, Kappa coefficient and ICC were often reported, but they are not on the same scale even though they provide a measure of agreement between two techniques or two raters. In addition, Kappa deals with nominal data while ICC provides a more effective analysis of ordinal and interval data. Nominal data is used to label variables without any quantitative value. It categorizes data by labeling or naming values. The key characteristics of nominal data are: (1) no inherent order- the categories are distinct and separate, with no hierarchy or ranking among them, (2) data consists of mutually exclusive categories- each category is unique, and an item can belong to only one category, (3) uses descriptive names or terms to represent categories, without implying any numerical relationships. Ordinal data is a type of data that classifies variables into categories with a meaningful order or ranking. The key characteristics of ordinal data are: (1) data categories are ranked, having a clear order or hierarchy, such as from high to low, (2) the intervals between categories are not necessarily equal and numerical values can be used as labels, but these values do not represent equal intervals. We therefore reported their results separately from those of Pearson correlation and Kendall’s tau. To obtain a more accurate approximation of confidence intervals around the estimates, all correlations and ICC were transformed using the Fisher’s Z transformation (30):
where the standard error is expressed as
Additionally, of the 69 studies, 14 reported sensitivity and specificity of the new technique for the diagnosis of strabismus. Of these, three studies also provided a correlation. Because sensitivity and specificity are proportions, a logit transformation was performed before the meta-analysis to ensure approximate normality and variance stabilization.
Heterogeneity was assessed using the Cochran Q test and I-squared (I2) statistics as described by Higgins and Thompson (31). The I2 Statistic measures the proportion of total variation in observed effect sizes that is due to variance in true effects rather than random chance. The significance threshold for the Cochran’s Q test is set at alpha = 0.05. Publication bias for meta-analyses in the cases of correlation, sensitivity, and specificity was assessed by the Egger’s tests along with funnel plots. Funnel plots are visual aids for assessing bias or systematic heterogeneity. When random effect models are used, heterogeneity is usually accounted for in the modeling step; thus, the stress in the funnel plot is primarily on the presence or absence of publication bias. A symmetrical inverted funnel shape indicates an unbiased distribution of studies, whereas an asymmetrical shape may indicate selective reporting and/or other systematic biases. The x-axis on the plot represents the observed effect size while the y-axis represents the standard error.
All meta-analyses results were obtained under a random-effect model to allow for heterogeneity in the estimation process. R software version 4.4.2 was used to carry out the meta-analyses. Since the sample sizes available for each meta-analysis is limited, it was not feasible to account for multiple covariates in the estimations of the pooled correlation, intraclass correlation, sensitivity, and specificity. Studies included in the meta-analysis were those that provided, by the parameters described above, objective data from which statistical analysis could be performed. Studies that were not included in the meta-analysis were summarized in Table 1 or narratively evaluated in the discussion.
3 Results
3.1 Meta-analysis of studies reporting Pearson correlations and Kendall’s tau
This meta-analysis included 17 studies out of 69 (24.64%). Their sample sizes ranged from 10 to 158 participants. The average (or median) age of the participants ranged from 2.8 to 58.7 years; and the reported correlations ranged from 0.549 to 0.956 (Table 2). Among the included studies, Nixon et al. (r = 0.62), Lim et al. (r = 0.549), and Yang et al. (r = 0.772) reported the lowest correlation values (27, 32, 33). Specifically, Nixon et al. evaluated an augmented reality headset with eye-tracking in a relatively small sample (n = 26), with measurements limited to horizontal deviations in primary gaze only, which may have introduced instability in correlation with APCT (27). Lim et al. used a clinical grading scale rather than APCT as the validation method, potentially introducing subjectivity and lowering the observed correlation (32). While static photograph methods have shown strong correlation with APCT in other studies, Yang et al. included a wide age range (0.5 to 58 years), suggesting possible variability in cooperation or diagnostic visibility across age groups (33). Figure 2 shows the estimates and confidence intervals post meta-analysis. The pooled estimation of the correlation was 0.87 [95% CI: (0.81, 0.91)]. In this analysis, the Cochran’s Q test for heterogeneity had a p-value of <0.001 and the I2 statistic was large (98.34%), suggesting that obtaining the overall estimate via a random effect model would provide an effective analysis. The funnel plot appeared approximately symmetric around the pooled estimate and the Egger’s test was statistically insignificant (p = 0.800; see Figure 3), indicating there was no evidence of publication bias. In other words, smaller studies did not consistently report stronger or weaker effects, which suggests that the results were less likely to be distorted by selective publication and supporting the robustness of the pooled findings.

Figure 2. Forest plot of the meta-correlations between new techniques and clinical validation method.

Figure 3. Funnel plot of the meta-correlations between new techniques and clinical validation method. The x-axis represents the effect size of each individual study, which was calculated as Fisher’s z-transformed correlation z , and the y-axis represents the corresponding standard error. The white triangular region denotes the expected 95% confidence region in the absence of publication bias.
3.2 Studies reporting intraclass correlations
We proceeded similarly with the studies reporting ICC (3 out of 69, i.e., 4.3%). As seen in Figure 4, the overall estimate of the ICC was quite high, around 0.92 [95% CI (0.77, 0.98)]. This suggests that the new technique and the clinical validation method provided highly consistent measurements in the same individual across studies. In other words, the new technique can reasonably reproduce results from the clinical validation.
3.3 Studies reporting sensitivity and specificity
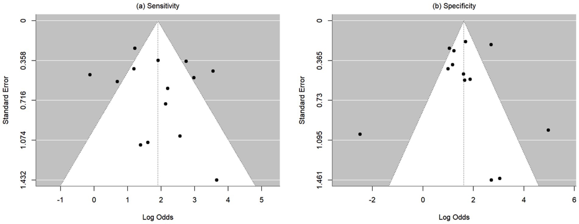
Seventeen out of 69 studies (24.63%) evaluated the diagnostic performance of their new method compared to the validation method. Among these, three studies did not focus on detecting strabismus exclusively. These were not included and the remaining 14 (20.28%) were utilized. These studies were published between 2012 and 2023 (Table 3). The sample sizes ranged from n = 15 to n = 443. The average (or median) age of the participants ranged from 2.8 to 58.7. The sensitivities and specificities reported in those studies, respectively, ranged from 47.1 to 100%, and from 7.7 to 100%. This wide range likely reflects differences in methodology, technology, and sample size. It is also important to realize that sensitivity and specificity are influenced by the make-up of the patients being tested, in terms of severity of strabismus and could explain differences between studies, besides instrumentation. For example, Garcia et al. (8) reported high sensitivity (92.86%) but extremely low specificity (7.69%) using static photograph method. This estimate was based on only one true negative in a small sample (n = 27), making the specificity calculations highly sensitive to misclassification and potentially less reliable. Figure 5 displays the forest plots of the estimates and confidence intervals from the meta-analyses along with the pooled sensitivity and specificity. The sensitivity and specificity of the new diagnostic technique were, respectively, 0.87 [95% CI: (0.79–0.92)] and 0.83 [95% CI: (0.74–0.90)]. Substantial heterogeneity among the included studies was observed as indicated by the I2 statistic of 77.82% for sensitivity and 85.41% for specificity. In addition, the Cochran Q test revealed heterogeneity in the analyses of both sensitivity and specificity (p < 0.001). This validated the use of the random effect model for estimation. Though there were some points falling outside the write triangular region, the funnel plots for sensitivity and specificity are roughly symmetric and suggest a low risk of publication bias (Figure 6). This was further supported by the results from Egger’s test, which showed no evidence of publication bias (p = 0.5223 for sensitivity; p = 0.8040 for specificity). These results suggested that smaller studies did not appear to systematically report stronger or weaker effects, which strengthens confidence in the robustness of the pooled estimates for sensitivity and specificity.

Figure 5. Forest plots of (a) sensitivity and (b) specificity for all studies in meta-analysis. Notes: An adjustment was applied to account for potential bias in two of the papers that reported a sensitivity or specificity of 100%. Specifically, 0.5 was added to each term for sensitivity calculations when TP (True Positives) or FN (False Negatives) equaled 0, and for specificity calculations when TN (True Negatives) or FP (False Positives) equaled 0.

Figure 6. Funnel plots of (a) sensitivity and (b) specificity. Sensitivity and specificity were transformed to log odds before pooling. The x-axis represents the log-transformed odds in each individual study and the y-axis represents the corresponding standard error. The white triangular region denotes the expected 95% confidence region in the absence of publication bias.
4 Discussion
4.1 Meta-analysis demonstrates a strong correlation between automated strabismus evaluation and expert clinical assessment
Our meta-analysis of 17 studies that qualified for objective pooled analysis showed a pooled estimation of correlation at 0.87 [95% CI: (0.81, 0.91), p < 0.001; Figure 3], with reported Pearson correlation of individual studies ranged from 0.549 to 0.956 (Table 2). Additionally, of the 14 studies that reported sensitivity and specificity for analysis of strabismus exclusively (versus the additional detection and analysis of other diagnoses), the sensitivity and specificity of the new diagnostic techniques were 0.87 [95% CI: (0.79–0.92)] and 0.83 [95% CI: (0.74–0.90)], respectively. However, the studies also exhibited notable heterogeneity, with the sensitivities and specificities ranging from 47.1 to 100%, and from 7.7 to 100%, respectively (see Results). Differences between studies may be explained by the composition and severity of the strabismus in the patient populations tested as well as instrumentation and testing factors. These results demonstrate the significant range of accuracy and reliability in automated measurement in previous years and show promise for the development of devices with the capacity to be integrated into clinical use in the future. While detection of strabismus is useful for guiding patient referral, complete and accurate characterization of strabismus through automated means is important for remote triage and the formulation of an appropriate diagnosis and treatment plan.
4.2 Advantages and limitations of current devices capable of automated strabismus evaluation
The challenge of designing automated strabismus technology with the capacity for implementation into ophthalmology clinics has spanned over decades (27, 34, 35). The rationale for performing automated strabismus measurement is multi-faceted, including the opportunity to provide an objective, image-based measurement of alignment in place of a subjective, manual evaluation. Additionally, image-based technological algorithms have the potential to provide faster testing times, resulting in a more rapid flow of patients through clinic or triage. Furthermore, an instrument which allows operation by relatively untrained healthcare providers would serve as an avenue of outreach to medically underserved areas and to clinics that lack expertise in the evaluation of strabismus, but where prompt triage is necessary. In remote or understaffed settings, automated strabismus evaluation would ideally perform an assessment providing a complete quantification and characterization of strabismus. Additionally, where applicable, an accurate and comprehensive automated diagnostic workup of strabismus could be integrated into a triage protocol in remote settings that could expedite transfer to a higher level care center for further treatment.
The range of capabilities of instruments designed to evaluate ocular misalignment include screening for unspecified abnormalities in ocular alignment, focused analysis of a known diagnosis, or a more comprehensive analysis of ocular dysmotility with the goal of a diagnosis (32, 36–38). For example, Silbert et al. tested a device capable of detecting amblyopia risk factors, including strabismus, in children with a sensitivity and specificity of 87 and 74%, respectively (36). However, the technology was not designed to quantify the degree of strabismus, and children identified as at-risk would require additional manual testing to confirm a diagnosis (36). In contrast, Lou et al. produced a deep learning-based photographic analysis capable of quantifying binocular misalignment, however the algorithm created is specific to strabismus caused by inferior oblique muscle overaction (39).
Ideally, an objective measurement would provide precise quantification of ocular misalignment to a greater degree than subjective measurement currently obtained via the gold standard alternate prism cover test. Regarding device capabilities, a broad screening for abnormalities and a measurement of targeted conditions can be useful in areas that can refer patients to clinical experts. However, in areas where referral may be delayed or unavailable, it would be necessary for automated analysis to provide a more comprehensive assessment of ocular alignment and motility. To this end, this review discusses major constituents of instruments designed for automated strabismus evaluation. Additionally, this article provides recommendations for designing a comprehensive method of automated strabismus evaluation that is also affordable, accessible, and portable.
4.3 Remote versus head-mounted tracking systems
4.3.1 Remote eye-tracking systems
There are reported advantages and disadvantages of remote (the imaging device is not attached to the patient) versus head-mounted eye-tracking systems. For testing small children or infants, a remote eye-tracking device or screen may be preferred (40). Young patients or patients with sensory issues may not tolerate wearing a head-mounted device, and fitting a head-mounted instrument onto a smaller-sized head can be difficult (40). Remote testing may also offer a more convenient option in triage for patients with traumatic head injuries who cannot wear a head-mounted device (41). Another advantage of remote testing is the manual control with which an examiner may create near versus far fixation by physically moving the instrument or target screen in relation to the patient (42). Other arguments in favor of a remote testing model have been made regarding the testing of torsional strabismus, during which head roll independent of the testing camera may provide a more straightforward and accurate measurement of torsion (43).
Conversely, remote devices present several disadvantages compared to head-mounted apparatuses. While a remote device allows physical adjustment of near versus far fixation with potentially less robust technology, this in turn requires a relatively large amount of clinic space to perform accurate distance measurements. Compared to head-mounted systems, the precise position of the head may be uncontrolled when using remote tracking, unless head tracking is implemented along with eye tracking. Change in head position during testing can cause inaccurate quantification of strabismus if it is not accounted for by head tracking in remote video recording systems (21, 44, 45). High accuracy is vital when measuring ocular deviation, as even small changes in position measured in pixels may decrease the validity of results (46). Implementation of head tracking would also enable a gaze position to be changed by just changing the position of the head while the subject fixates on a central target, similar to what is done in clinical assessment with cover testing.
Additionally, inaccurate line-up between the eye and the tracker is a problem encountered in photographic, video, and deep learning models (21, 46, 47). Zheng et al. demonstrated this issue following their analysis of primary gaze photographs analyzed by deep convolutional neural networks (DCNN) that screened for horizontal strabismus (47). In cases that were misclassified by the DCNN, misclassification was attributed to the eyes stationed off-center of the photograph due to head tilt or roll. It is feasible that similar concerns would also apply to slight movements forward or backward, or to any pitch or yaw (47, 48). The use of chin rests to limit movements of the head has been tested to solve this problem (49). However, this additional equipment may decrease the portability of the system (32, 49, 50) and make it less tolerable for testing children. Help may also be enlisted from additional examiners or assistants who monitor the position of the patient’s head (11). A more robust solution would be the use of multiple camera positions so that head and eye position can be rendered in three dimensions (3D) with corresponding software. This would allow assessment of eye and head position in 3D space as a function of gaze position. Additionally, more robust software can implement algorithms to account for slight changes in head position (34, 46, 51). Guyton et al. worked to overcome this challenge by implementing two separate trackers that track the eyes and the movement of the head, separately, and by implementing algorithms to account for the discrepancy during analysis of ocular alignment (44).
Images recorded from remote devices capture a broader picture than that of head-mounted goggles which are limited to the area around the eyes. Image frames of the entire face of the patient as well as the surrounding environment are often recorded and subsequently must be processed for a system to identify the features of the eyes to be tracked. Image processing to eliminate noise while maintaining resolution incurs additional computational cost (20). Additionally, the surrounding testing environment may affect the image of the patient such as lighting, shadowing, or reflections of surrounding objects or sources of light (28, 52).
4.3.2 Head-mounted eye-tracking systems
Compared to remote testing methods, head-mounted virtual reality headsets can block visual input outside of the periocular area and provide control over the testing environment. This advantage eliminates potential interferences such as room lighting, unwanted reflections on the ocular surface, or visual distractions that may draw the patient’s attention away from the test (27, 38). Additionally, any movement of the head will occur in conjunction with the tracking camera, supporting continuous alignment. However, proper fitting of the headset throughout testing is vital, since slight movement of the headset with respect to the eyes during testing will render calibration of gaze position inaccurate (27). Headsets designed for the average adult-sized head may prevent testing of the pediatric population, although there are reports of hardware that can be fitted to the heads of children (38). Additionally, headset-based testing in young pediatric patients may also pose the risk of removal or manipulation of the device by the patient, which can cause interference with data collection or data loss (19). In all cases, it is important to ensure proper fitting for measurement of inter-pupillary distance, as under or over-estimations can affect the measurement of horizontal strabismus (53).
Limitations of head-mounted devices exist regarding the motion of the head. While the headset may prevent the influence of pitch and yaw, a roll of the head may affect measurement by inducing torsion, therefore interfering with evaluation of strabismus involving the fourth cranial nerve (54). To this end, either the patient, a human assistant, or some degree of head constraints would remain responsible for maintaining the upright position (54). Another solution proposed by Nesaratnam et al. is to record the degree of roll if it occurs during testing and to employ software to account for any corresponding torsional component (54).
By design, head-mounted models may more easily test for near deviation, and evaluation of distance deviation would require an artificially induced fixation point (22). Regarding near deviation, Yeh et al. noted an esotropic tendency in their measurements with a virtual reality headset with a fixation point at 75 cm compared to alternate prism cover testing (APCT) (53). While the exact cause is not known, they speculate that a fixation point that is too near, or less than 6 meters, in the virtual reality headset may induce accommodation, convergence, and a corresponding esotropic tendency during testing (53). Other considerations for headsets include ensuring proper fit, as headsets designed for an average-sized head may not fit all patients (38). Furthermore, incorporating correction for refractive error has been a goal and challenge for headset models, as glasses or individual lenses are typically incompatible with a virtual reality goggle design, and not all patients wear contacts (38). Some headsets, such as the virtual reality headset tested by Nixon et al., permitted the wearing of corrective lenses due to its spacious design (27). Weber et al. reports to have overcome the limitations of most cases of refractive error by using a laser target that is theoretically bright enough to be tracked without corrective lenses, although they noted an exclusion of patients with visual acuity less than 20/400 in their study (38). Recently, Gao et al. proposed a model of wearable eye-tracking glasses with settings that accommodate for differences in pupillary distance and for myopia up to −5.00 diopters (55). Focusing on a fixation target without controlling for accommodation may result in accommodative/convergence eye movements that can adversely affect the strabismus measurement (55).
4.4 Static photographs versus video-based image recording
4.4.1 Static photograph-based analysis
Data for automated strabismus measurement may be obtained via static photos or by video recordings of eye movements. The benefits of analyzing static photos include the relative ease of use of this method, as photographs with high resolution may be obtained with a commercial-grade, handheld camera or through a smartphone application (8, 28, 48, 51, 56). The use of commercial and handheld devices also offers the benefit of portability (51, 56). Static photos may also provide a rapid mode of testing to quantify specific, known types of strabismus, as demonstrated by Lou et al. in their quantification of the degree of inferior oblique muscle overaction (39). Overall, modern smartphones are equipped with relatively high image resolution, and as shown by Pundlik et al., smartphone cameras may in theory provide a more accurate resolution and measurement of misalignment than gold standard clinical evaluation with prisms and the naked eye (56). These advantages, combined with the small amount of time required to take one or multiple photos, can be useful for young, distractable patients, otherwise non-cooperative patients, or those who cannot tolerate a lengthy clinical exam (20, 37). However, sufficient cooperation with photographs is not guaranteed, as Lim et al. observed during their study, which excluded a reportedly large number of children due to poor cooperation, even with encouragement and the use of toys to promote attention and ocular fixation (32).
Concerns arise when considering the use of static photographs when a comprehensive strabismus evaluation may be needed. For photographs only taken in primary gaze position, the patient is not evaluated for deviations in all gaze positions or for incomitant strabismus (8, 28, 39, 57). In addition, patients with eccentric fixation or an atypical angle-kappa (the angle between the visual axis and the pupillary axis) may give false positive strabismus results (58). Theoretically, static photographs provide data only for end-gaze results, and eye movement cannot be assessed (21, 47). Along these lines, as discussed by Garcia et al., the position of the eyes at the moment of photographic image capture may be slightly different than the end point measured with the APCT, resulting in small yet significant discrepancies (8).
Another commonly documented limitation of evaluation with static images is the inability to assess latent deviations, or phorias (8, 59). Luo et al. developed an application designed to overcome this limitation, and they described software capable of detecting and photographing an eye at the moment an occluder is removed, thus capturing the theoretical degree of phoria (28). Yang et al. approached this challenge by developing an occluder with a selective wavelength filter that blocks the patient’s view of visible light, thus inducing a latent deviation, while permitting the transmission of infrared light used to photograph the eye and measure the degree of phoria (60).
4.4.2 Video-based analysis
Video-based techniques are beneficial in that they allow the assessment of alignment during ocular movement and evaluate movement during occlusion for the quantification of latent strabismus (27, 61). Logistically, video-based mechanisms are better equipped than photographs to assess intermittent strabismus, nystagmus, saccades, and smooth pursuit movements (27, 61). Additionally, video recording allows the examiner to monitor fixation, gaze position, and visual alignment either in retrospection or in real-time via live streaming (11). Video assessment may lessen the burden of work on low-tolerance patients, as recording may allow quicker testing and replaying of the movement of interest instead of the repetitive, time-consuming movements of the prism cover tests (11, 22, 34). To this end, many video-based eye tracking systems report testing times within seconds to minutes (22, 41, 52, 62). As Nixon et al. explained, in addition to offering an objective measurement of gaze deviation, video eye tracking also holds the potential to quantify misalignment to a more precise degree than is currently possible with prisms (27). Mestre et al. echoed this goal of video-based measurement, as previous literature describes the limit of eye movement detection by the unaided human eye as around 2 prism diopters (PD) (61, 63, 64). The combination of video-based eye tracking systems with a head-mounted design, such as the device used by Cantó-Cerdán et al., especially supports precision by reducing inaccuracies caused by head movement relative to the camera (65).
Disadvantages of video-based systems include the need for more robust technology (compared to the technology required to obtain static photographs) which may limit portability, affordability, and operating ability by non-experts in remote clinical settings (52, 66). To counteract this concern, Valente et al. reported a lower-cost design where video results may be analyzed on a remote “workstation computer.” (52) With the consumer demand for virtual reality devices for entertainment and gaming, newer video-based eye tracking devices are now available at much lower cost (52). Regarding measurement accuracy, video technology relies on temporal resolution, which is determined by frame rate, to analyze gaze deviations that can be measured in pixels.(65) Various optimal frame rates for recording eye movement in strabismus analysis have been proposed in the literature, with authors reporting success from rates of 30 Hz - 250 Hz (41, 66, 67). With higher frame rates, the dynamics of eye movements including saccadic velocity and waveform may provide additional diagnostic information allowing one to categorize strabismus into paralytic, restrictive, or neuromuscular junction etiologies (68).
4.5 Mechanism of eye tracking
4.5.1 Pupil tracking
Automated strabismus devices use various eye-tracking methods by targeting the pupils, corneal light reflections, corneal limbus, retinal birefringence, red reflexes, or by using optical coherence tomography (OCT) (21, 37, 47, 49, 57, 69). Benefits of pupil tracking include its ease of video-based tracking, however this method assumes that the position of the pupil correlates with gaze direction (69). Additionally, when infrared lighting is used for gaze tracking, the pupil provides a robust contrast from the surrounding iris for threshold-based image segmentation, which is reported to have a low computational cost (36, 38, 69). Considerations for pupil tracking include ensuring the individual determination of interpupillary distance and axial eye length for accurate measurement of deviation (36).
Eyelid blinking may interfere with pupil tracking, since, as Nyström et al. noted, blinking in adults typically occurs at a rate of 20 times per minute with durations of 150–400 milliseconds (67). For accurate measurement, software features capable of removing the effects of the blink on the image frames are needed as is the accurate estimation of the pupil borders even when partially occluded by the eyelid, especially in downward gaze (52, 69). Positioning of cameras from below the visual axis may help reduce the challenge of tracking the pupil in downward gaze. Interference with pupil tracking has also been reported due to the presence of dark eyelashes, mascara, or dark-colored irises that interfere with threshold-based pupil detection, or long eyelashes that cover the area of the pupil on camera (69). Anatomical abnormalities that can interfere with pupil detection and tracking include anisocoria, iris coloboma, extreme axial length, or irregular vertex distance (27, 36, 69). Smaller eyelid fissures or ptosis can also interfere with imaging the full circular pupil shape (21, 36, 69). Seo et al. also noted the potential effects of ambient or test lighting on pupil size during testing as well as the change in pupil size that occurs during the cover-uncover test (62). They recommend dim lighting to promote pupil dilation and lessen the change in size during testing maneuvers (62). However, too large of a pupil will increase the chance of eyelid interference with accurate quantification of the pupil center during tracking. Another confounding variable in accurately tracking the pupil in extreme gazes is the optical effect of the cornea on the true size and location of the pupil center when the camera angle with respect to the eye position becomes significant (70).
4.5.2 Limbus tracking
Limbus tracking has also been explored as an eye-tracking method in both static photographs and video recording (32, 71). Advantages of this strategy over pupil tracking include avoiding the potential for dark irises or eyelashes to interfere with threshold-based detection and the asymmetry imposed by anisocoria or coloboma. However, limbus tracking can also be affected by small eyelid fissures and blinking, or extreme gaze deviations that prevent the tracking of the desired limbal location (32, 69, 71).
4.5.3 Corneal light reflex-based tracking
Other systems utilize a corneal light reflex for eye-tracking purposes, typically in association with an automated Hirschberg examination (49, 72). Azri et al. stressed the importance of measuring the angle kappa, which could skew horizontal strabismus measurements (8, 73, 74). This is reiterated in the literature, as Schaeffel et al. suspected that even small differences in the angle kappa between the two eyes of one subject could affect measurements of alignment (66). Kang et al. exemplified the accuracy with which eye tracking can be accomplished by measuring the difference between the corneal light reflex and the limbus center in photos of the nine cardinal gaze directions (21). The model they described also has the potential to evaluate patients with paralytic strabismus, a known challenge in movement-based eye tracking, as their deep learning model analyzed the difference between the position of the two eyes in patients with fourth nerve and sixth nerve palsies (21).
The use of the corneal light reflex may pose several challenges during strabismus testing (20, 72). Compared to the gold standard APCT, the Hirschberg and Krimsky tests are less accurate (73, 75). They are also more susceptible to visual disturbances which may be unrelated to the cause of ocular misalignment, such as fusional control, which can be affected by patient concentration, alertness, and fatigue (73, 75). For methodology based on the Hirschberg test, Hasebe et al. discussed the importance of determining the unique Hirschberg ratio (HR) for each subject, as individual variability of the HR may cause significant measurement error if a HR based on the population average is used (56, 71). Conversely, Pundlik et al. argued that, especially at lower magnitudes of misalignment less than 15 PD, using the population average had little impact on measurement accuracy (56).
It is important to note that the location of the corneal light reflex may vary during testing in patients with an irregular curvature of the cornea or increased anterior chamber depth (71). For this reason, the corneal light reflex would likely not be an ideal testing method for patients who have undergone refractive surgery, due to disturbances to the corneal surface (66). For the design tested by Schaeffel et al., the authors discussed the challenge of spatial resolution limits imposed by pixel size (66). The need for high-resolution photos to detect the pixel-dependent location of the corneal light reflex may reduce accessibility regarding cost of equipment, however it is possible that modern smartphones possess adequate resolution for this purpose (51, 66). For example, one smartphone application tested by Cheng et al. on schoolchildren utilized a computerized Hirschberg test (51). Other considerations when using the corneal light reflection include the possibility of children closing their eyes due to discomfort with the camera flash as well as secondary reflections from the tear film at the inferior lid margin, which have previously caused errors in corneal reflex detection and analysis (51).
4.5.4 Analysis of retinal birefringence and red reflex
Other instruments designed for automated strabismus evaluation have the ability to screen for, but not quantify, strabismus (37, 40). Even though they are unable to provide a complete diagnostic assessment, these devices may be useful in the evaluation of children who can be referred to an expert clinician for further evaluation (40). Since identification rather than quantification of the angle of deviation is the goal, evaluation of misalignment with retinal birefringence has shown to be a rapid and straightforward strategy, as in the case of the Pediatric Vision Scanner, tested by Jost et al., which detected strabismus and amblyopia in children 2–6 years old, and the Pediatric Vision Screener used by Hunter et al. (35, 37, 50) When the patient focuses their gaze onto a polarized laser light, if the target is centered on the fovea, the returning polarization signal from the foveal Henle fibers provides a characteristic frequency. A change in this expected frequency suggests a lack of central fixation (37, 40).
Similarly, the red reflex, as in the Bruckner test, has been employed as a screening tool for the detection of refractive error, amblyopia, and strabismus (49). This screening method is relatively simple, as the examiner looks for any asymmetry between the red reflexes in both eyes (49). Miller et al. discussed the benefits of this screening method, as the relatively steep angle of the foveal pit may induce a difference in the red reflex for fixation deviations as small as 1 degree, which corresponds to about 2 prism diopters (PD) (49). Drawbacks of this method may arise due to an age-related decrease in reflectivity of the internal limiting membrane, leading to additional scattering of light and possible confounding of observed reflex asymmetry (49). Additionally, a difference in angle kappa between the right and left eyes may give a false positive result of strabismus. Luo et al. noted that while these tests may be especially useful for screening schoolchildren in non-clinical settings, the cost of the instruments has likely been a roadblock preventing their widespread implementation (28).
4.5.5 OCT-based measurement of motility
A less commonly studied mechanism for automated strabismus evaluation is binocular OCT. In the system tested by Chopra et al., the corneal vertex reflection was used as a mark of the central image, while a line was drawn to connect the posterior margins of the pupil in both eyes (57). These lines were compared between both eyes, and the angle of difference between the two was denoted as the angle of deviation (57). Benefits of the OCT design include more rapid testing than the APCT, as well as the ability to produce objective, quantitative measurements of misalignment (57). Additionally, focusing of the eyes on different target points allows strabismus analysis in all nine gaze positions (57).
Using a system involving OCT may necessitate training to perform accurate and reproducible OCT imaging, however Chopra et al. described an automated system that they stated does not require specialized training (57). The cost of the system could rank OCT as a less affordable option of automated measurement for low-resource communities, compared to systems which rely on a simple handheld camera, a smartphone, or a video recorder coupled to a commercial-grade computer, for example (51, 54, 56). Furthermore, analysis via OCT is by nature based on static images, and as discussed by Chopra et al., this can exclude the identification of intermittent tropias and phorias (57). All subjects tested with their design had constant strabismus. They suggested future development of a video-based OCT, which could potentially overcome these limitations (57). As with other forms of strabismus analysis, consideration of refractive error is important since uncorrected error can affect the degree of deviation. The authors also proposed that the additional measurement of axial length and visual axis in future versions of OCT-based designs could increase the accuracy of the measurement (57). The time and fixation required for OCT acquisition may not be feasible for use in children.
4.5.6 Deep learning algorithms
With the rise of artificial intelligence, the creation of deep learning (DL) techniques has become a significant step in the development of automated strabismus evaluation. DL techniques have been used in various experiments to identify a variety of eye diseases, including pediatric cataracts and retinopathy of prematurity, as well as strabismus, with promising results (39, 47). While deep learning algorithms can provide rapid and accurate assessment, the set-up of these algorithms requires baseline input and can necessitate a significant time requirement from specialists. For example, the study on DL assessment of ocular movements by Lou et al. was made possible by the work of two ophthalmologists who outlined the corneal limbus and eyelid margins on the facial images of 1862 volunteers (3,724 eyes), which served as the basis for the training of the eye segmentation network (76). Also, in order to effectively train DL networks, large numbers of images showing both normal and pathological conditions are often required. For instance, in their initial stage of development, Lou et al. used 30,000 facial images for facial segmentation training (76). Zheng et al. also utilized 7,026 images of normal and strabismus patients for the creation of their DL algorithm for the detection of horizontal strabismus in primary gaze photographs (47). Fortunately, with the modern existence of online patient databases from hospitals and clinics worldwide, obtaining relatively large numbers such as these is often feasible. Attention should also be directed to the potential effects of ethnicity or the region of the world from which such images are collected, as noted by Zheng et al., as the exclusive use of images from a common ethnicity may affect the generalizability of certain algorithms (47).
4.5.7 Assessment of torsional strabismus
There is a gap in the literature regarding accurate and feasible automated testing of ocular torsion (33, 43). Torsional strabismus causes ocular misalignment as well as deficiency or difficulty in determining the position of the head relative to the surrounding environment (77). Torsional strabismus can also interfere with an examiner’s ability to assess the functionality of the vestibular system in the context of head rotations, particularly during rolls (77). During torsional measurements using search coils and contact lenses, slippage is a known problem that can affect the accuracy of measurements (77). Alternatively, during more recent image or video-based torsional assessment, interference by noise and artifact has been observed (77). Kim et al. point out that among the various methods for assessing ocular torsion, including the Lancaster red–green test (LRGT), double Maddox-rod test (DMRT), unmounted double Bagolini lenses, synoptophore, and torsionometer, the DMRT and LRGT are two of the most common (33). However, the DMRT presents some limitations, such as limiting the amount of light entering the eye during testing, which may alter some accommodative actions of the eyes relative to their accommodations in daily life (33). Additionally, torsional measurements with the LRGT may not detect minute amounts of torsion, and they can be limited by large amounts of horizontal and vertical strabismus (33). To overcome this, Kim et al. proposed and tested a method that combined elements from both common tests, such as utilizing red-green glasses to subjectively align parallel lines for the determination of cyclotorsion in each eye (33). Additionally, in cases where the eyelids may occlude part of the iris, which is used to detect and track anatomic landmarks during video-based measurement of torsion, Otero-Millan et al. proposed an algorithm capable of recognizing parts of the iris which are either visible to the camera or covered (77). This allowed their system to accurately estimate the position of targeted regions of the iris to assess torsion (77). Separately, Bos et al. addressed the issue of tests that use minute anatomic landmarks within the iris to calculate the pupil center, which can be susceptible to error due to flux in position from the sphincter and dilator muscles (43). They proposed a model that identifies diametrically positioned landmarks within the iris, which provided an averaged measurement of the pupil center and reduced measurement error (43). While this literature review did not conduct an exhaustive search of papers discussing the measurement of ocular torsion specifically, the diagnosis of this form of strabismus is an integral aspect of comprehensive strabismus assessment, and future developments of portable and accessible automated torsional assessment will benefit from the insights gained from previous research, as well as a future in-depth review.
4.6 Fixation target design and testing strategy
4.6.1 Simple point design versus image as a fixation point
When designing a virtual reality protocol that uses a fixation target to direct the eye movement of the patient, the design of the target should be considered. Targets for visual tracking in the literature vary from a simple shape measuring a few millimeters in diameter (41) to an image of a cartoon character, as used by Miao et al. (69) Targets that are too small may be difficult for some patients to see and track. Moreover, Nixon et al. explained that a single fixation target on a uniform, non-stimulating background may affect the perceived fixation distance and result in undesired accommodation, convergence, and false measurements of esotropia during testing (27). However, larger targets or targets with multiple points of interest for fixation, such as an image of a recognizable object, may allow minute movements of gaze within the bounds of the target region that could cause lapses in fixation on the very center of the target (69). Novel fixation targets that initially are large when first seen and then rapidly shrink in real time to a smaller target may provide one approach. More investigation is needed to determine an optimal testing target and structured background that promotes steady fixation and fusion in binocular subjects while minimizing induced convergence or phoria.
4.6.2 Testing strategy
In order to validate an automated test for quantifying strabismus, it would seem advantageous to first try and replicate what is done during clinical measurement with prisms using single and cross-cover testing. For virtual head-mounted devices that have a separate visual input for each eye, it is relatively easy to produce a binocularly fused image on a structured background and then virtually “occlude” one eye or the other by eliminating the fixation target in one eye, while still recording the position of both eyes simultaneously. This would also facilitate a built in calibration done during the actual test, assuming that the subject is fixating on the target seen. Since, for example, the field of view of some virtual reality head mounted devices is on the order of 20–30 degrees from fixation in the horizontal and vertical planes, then this would constitute the limit of gaze induced strabismus (61). The other limitation is the quantity of an extreme gaze that can be accurately tracked by the software from the video image (70). For remote devices, where the video cameras are removed from the subject, gaze extremes can be greater by positioning the head in different positions while the subject maintains fixation on a central target, similar to what is done with clinical measurements (42). This would require simultaneous head tracking along with eye tracking to determine gaze position accurately.
4.6.3 2D imaging versus 3D model of the eye
Image-based analysis of ocular misalignment must account for the fact that image and video representation of the eyes are most often 2-dimensional (2D), while the structure of the eyes is 3-deminsional (3D) (21, 27, 60). Considering that the 2D movement of the eyes in the nine cardinal gaze positions actually represents the eyes’ rotation around an axis, at least some degree of measurement error is likely to be inherent with a 2D analysis (21). Yang et al. proposed a software capable of quantifying the angle of strabismus based on a computerized, 3D model of the eye built from 2D photographs (60, 78). Developments such as these point to the benefits of a real-time display of a 3D model of the eye, which could provide test administrators with real-time analysis of eye movements as well as the ability to monitor technological function during the test, rather than retrospective analysis of results alone. This function could provide both important 3D visualization of the eye for diagnostic purposes as well as decrease testing time by allowing premature termination and re-starting of the test as needed in the case of user or system error (21, 60). Real-time 3D modeling of the eye and strabismus measurement can be accomplished if there are at least 2 video camera vantage points during the testing and recording. Therefore, one important design consideration for future instrumentation would be to incorporate multiple, synchronized miniature video cameras to render the eye features in 3D.
4.6.4 Testing duration and ease of use
A software design that is easy to use is an important component of accessibility and portability. One goal of automated strabismus evaluation is a shorter testing duration compared to the gold standard clinical evaluation (1, 11). A review of the literature reveals widespread success toward this goal, as the majority of proposed testing designs are capable of completing testing and producing results within seconds to minutes (60, 62, 69, 75). For example, Nixon et al. presented an automated strabismus screening test requiring only 60 s, and Morrison et al. described a more comprehensive automated alternate cover test which lasts 15 min, which is comparable to a typical clinical testing time with prisms (27, 41). Additionally, Miao et al. developed a virtual reality-based exam which lasts between 1–2 min, among other authors with similarly rapid testing times (60, 62, 69, 75).
Ideally, non-expert or even non-clinical personnel would be able to operate a device that performs automated strabismus evaluation in the setting of a remote clinical or non-clinical setting where prompt triage is necessary. In published studies where instruments are operated by experienced clinical or research staff, the question remains regarding the ability of lay individuals or ancillary personnel to operate the test (37, 51). Silbert et al. aimed to overcome this limitation with the Spot Vision Screener, which reportedly uses visual cues to aid inexperienced operators in obtaining a focused image (36). Rajendran et al. also developed a model that produced results that “do not require expert evaluation or interpretation.” (22) Miao et al. also described the development of a graphical user interface that can apparently be operated by personnel who are inexperienced in the realm of strabismus evaluation (69). Applications available for use on smartphones also support accessibility and portability, as seen in the EyeTurn app by Pundlik et al. and the mobile health application (mhealth) by Mesquita et al. (56, 59) Unfortunately, as Huang et al. acknowledged, even simple technological designs that require nothing more than for patients to take photographs of themselves outside of a clinical setting may still have limitations regarding accessibility, especially in regions of the world that lack access to the internet or even the most common forms of technology (48).
4.6.5 Analysis and exam report
Just as important as simplicity and ease of testing is the data analysis and clinical report needed to convey test results. One starting point is to design a clinical test report that is similar to what orthoptists, pediatric ophthalmologists, and neuro-ophthalmologists now use to record ocular motility and strabismus measurements in the electronic medical record. Then, additional ancillary information and graphics can be added to further render the report intuitive and easy to interpret. Use of captured video frames in gaze positions incorporated into that patient’s strabismus measurements in prism diopters would be one approach.
4.6.6 Cost
On review of current literature, a topic that is seldom discussed in detail is the cost of hardware and software capable of automated strabismus evaluation and the commercial availability of such instruments. Some clinics and institutions may be able to afford the infrared camera and filters used by Yoo et al. or the liquid crystal shutter glasses designed by Seo et al. (62, 75) For others, a smartphone application or a software compatible with a digital camera and workstation computer as described by Valente et al. would be more cost-effective (52, 56). Furthermore, authors such as Chopra et al., Azri et al., and Nixon et al., among others, utilized open-source software as the basis of their models, which promotes public accessibility since open-source technology is typically lower-cost than commercial software (27, 57, 67, 73). The variety of innovation described in the literature can be beneficial in that different institutions and communities can perform individual cost–benefit analyses for the most effective use of their resources. Commercialization of high-quality head-mounted virtual reality headsets with video-based eye tracking for entertainment and gaming may reduce the cost of such hardware. Currently, there is a great need for more sophisticated software development for testing of strabismus and eye movements, accurate analysis of eye position from video, and optimal report generation.
5 Future directions
The field of automated evaluation of ocular movement disorders is rapidly expanding. For example, in recent years, the development of new remote devices capable of 3D eye tracking, including the surrounding structures of the eye such as the eyelids, facial expression, and pupil, has become an endeavor for commercial companies interested in providing accurate gaze tracking services in various environments (79). Other commercial companies have chosen to focus on enhancing the evaluation and diagnosis of neurological and neuro-ophthalmologic disorders using virtual reality-based headsets (80). These devices have the potential to use their video recording data to provide an optimal analysis of eye position, diagnose and quantify conditions such as strabismus, and develop clinical reports that are intuitive for most clinicians (81).
Another limitation of many automated strabismus devices is the inability to evaluate saccadic movements. Conjugate saccadic eye movements are a necessary part of changing gaze direction, and studies have shown significant impairment and disconjugate function of the yolk muscles during saccades in patients with strabismus (82, 83). Saccade evaluation can be a useful tool for assessing dysfunction of extraocular muscles, as in dysfunctional coordination of yolk muscle pairs, or of neural pathways. For example, the optokinetic reflex requires both smooth pursuit and saccadic eye movements, and abnormalities in this reflex can help localize dysfunction among the visual striate cortex, medial superior temporal cortex, and pretectal nuclei, or other structures involved in this pathway (84). Similarly, saccadic abnormalities can assist in diagnosing common neurological diseases, such as progressive supranuclear palsy (PSP), which often involves decreased velocity of vertical saccades, or Parkinson’s disease, which often displays hypometric volitional saccades (84). Multiple studies in the literature have measured normative values for saccadic velocity, and data suggests that there may be a wide range of normative velocities that can be influenced by factors such as age or even time of day (85–87). Many prior studies use a relatively small number of participants (87–89). More recently, Song et al. used eye-tracking technology to evaluate saccadic movements in patients with concussions (90), and Hmimdi et al. studied the use of artificial intelligence in the development of robust, next-generation protocols capable of evaluating and characterizing saccadic movements within a diagnostic context (91). While a focused review of literature pertaining to saccadic analysis is beyond the scope of this review, it is important to note that, as in the case of automated strabismus evaluation, the validation of devices capable of saccadic assessment compared to clinical evaluation is critical for their implementation into clinical use.
A device that could measure maximum velocity for a given amplitude of horizontal and vertical saccades could measure a larger number of normal subjects to characterize normative saccadic velocities. Furthermore, this device would ideally evaluate patients with horizontal and vertical saccadic abnormalities with the primary outcome measure being maximum saccadic velocity for a given amplitude. Measurement of abnormal saccades could then be compared to normative data to assist in the diagnosis of neural pathway disease and to identify the etiology of strabismus, such as whether it arises from restrictive (e.g., thyroid eye disease), paralytic (cranial nerve palsy), supranuclear (e.g., intranuclear ophthalmoplegia or skew deviation), or neuromuscular (e.g., myasthenia gravis) processes.
6 Conclusion
This review of the literature provides an opportunity to examine the features of automated strabismus technology that promote accurate and rapid data acquisition, accessibility of testing at non-expert clinics, and cost-effective production. Recommendations on the advantages and disadvantages of prominent design characteristics are summarized in Table 4. Overall, the development of devices capable of automated strabismus evaluation must consider a wide range of design principles that support clinical implementation, with an emphasis the following:
• Accurate tracking of eye position and movement in all gaze directions
• Usability by adult and pediatric patients
• Portability and accessibility.

Table 4. Advantages and disadvantages of design features common among devices capable of automated strabismus evaluation.
In summary, a review of the literature reveals that multiple testing designs provide a range of advantages and disadvantages. Head-mounted designs may be less tolerable for young children or impractical for evaluation of ocular misalignment following head trauma, although they allow for control of visual input (27, 38). In patients who can tolerate head-mounted devices, the stable positioning relative to the camera is advantageous for accuracy and reproducibility of data acquisition (27), provided the device does not shift and change position relative to the head during testing. A remote device capable of compensating for any mispositioning of the head relative to the camera could provide a useful combination of accuracy and tolerability for patients of all ages and also provides the possibility of 3D imaging with multiple camera vantage points (79). This type of device would show promise for the increased accuracy and accessibility that would promote integration into clinical use.
While static photographs allow rapid data collection or measurement of previously diagnosed misalignment, video-based tracking provides the substantially increased benefit of evaluating ocular alignment during movement in all nine cardinal gaze directions (8, 61). Multiple anatomic landmarks exist that can provide accurate eye tracking, and all are subject to interference by surrounding structures of the eye or extremes of gaze position. However, the pupil, considered the representative center of the eyeball, provides a unique signal of gaze direction and contrast to other structures of the eye for threshold-based imaging (69). For these reasons, video-based software that utilizes pupil tracking technology may provide an especially robust pathway toward the detailed strabismus evaluation that is necessary for clinical use. Regarding the design of the visual target, while image-based targets such as the “Minion” cartoon used by Miao et al. may assist in holding the attention of small children, a large target provides multiple points of fixation within a target range (69). A target design of a simple point comprised of limited pixels may provide increased fixation stability and therefore a more accurate measurement of gaze position as a function of target location (41). Although the eye and its rotation along the visual axis occurs in 3D, most instruments accessible for commercial use operate with 2D data acquisition. This results in inherent error while constructing a 3D model of the eye for quantification of position around the visual axis (21). However, 3D models of eye movement constructed from 2D photographs or video can be useful for real-time or retrospective evaluation, and measurements of dimensions of the eye such as interpupillary distance and axial length can increase the accuracy of the 3D model (78).
Decreased testing time decreases workload and fatigue in examiners as well as patients, prompt evaluation during triage, and efficient clinic flow promoting the assessment of more patients in less time. Ease of use for testing equipment is important so that instruments operable by non-professionals can be used in regions where clinical resources and training are scarce (56). To increase widespread access to automated testing devices, the burden of cost should be kept as low as possible without sacrificing testing quality or diagnostic capabilities.
Since the gold standard of strabismus evaluation comprises alternate cover testing with prisms, the ideal validation method for devices capable of automated strabismus measurement would include diagnosis by clinician experts based on orthoptist or ophthalmologist measurements of de-identified patient subjects (8). These results could then be compared to de-identified and randomized results from automated measurements. In summary, this review provides a quantitative meta-analysis and qualitative assessment of previous reports of automated strabismus evaluation published in the literature and provides multi-faceted considerations for future designs of advanced technology capable of automated strabismus evaluation (Table 4).
Author contributions
EH: Formal analysis, Writing – original draft, Conceptualization, Data curation, Methodology, Writing – review & editing, Investigation. FJ: Writing – original draft, Writing – review & editing, Formal analysis. GZ: Formal analysis, Writing – review & editing, Writing – original draft. CA: Data curation, Writing – original draft, Writing – review & editing. TB: Writing – review & editing, Writing – original draft. JN: Writing – original draft, Writing – review & editing. AD: Writing – review & editing, Conceptualization, Writing – original draft, Methodology. RK: Writing – original draft, Investigation, Methodology, Data curation, Writing – review & editing, Conceptualization.
Funding
The author(s) declare that financial support was received for the research and/or publication of this article. This material is based upon work supported in part by the Department of Veterans Affairs, Veterans Health Administration, Office of Research and Development, Rehabilitation Research and Development Service, and the Iowa City Veterans Administration Center for the Prevention and Treatment of Visual Loss; Grant Funding: #RX004785.
Conflict of interest
The authors declare that the research was conducted in the absence of any commercial or financial relationships that could be construed as a potential conflict of interest.
Generative AI statement
The authors declare that no Gen AI was used in the creation of this manuscript.
Any alternative text (alt text) provided alongside figures in this article has been generated by Frontiers with the support of artificial intelligence and reasonable efforts have been made to ensure accuracy, including review by the authors wherever possible. If you identify any issues, please contact us.
Publisher’s note
All claims expressed in this article are solely those of the authors and do not necessarily represent those of their affiliated organizations, or those of the publisher, the editors and the reviewers. Any product that may be evaluated in this article, or claim that may be made by its manufacturer, is not guaranteed or endorsed by the publisher.
Author disclaimer
The views expressed in this article are those of the authors and do not necessarily reflect the position or policy of the Department of Veterans Affairs or the United States government.
References
1. Gunton, KB, Wasserman, BN, and DeBenedictis, C. Strabismus. Prim Care. (2015) 42:393–407. doi: 10.1016/j.pop.2015.05.006
2. Hashemi, H, Pakzad, R, Heydarian, S, Yekta, A, Aghamirsalim, M, Shokrollahzadeh, F, et al. Global and regional prevalence of strabismus: a comprehensive systematic review and meta-analysis. Strabismus. (2019) 27:54–65. doi: 10.1080/09273972.2019.1604773
3. Sunyer-Grau, B, Quevedo, L, Rodríguez-Vallejo, M, and Argilés, M. Comitant strabismus etiology: extraocular muscle integrity and central nervous system involvement-a narrative review. Graefes Arch Clin Exp Ophthalmol. (2023) 261:1781–92. doi: 10.1007/s00417-022-05935-9
4. Hatt, SR, Leske, DA, Kirgis, PA, Bradley, EA, and Holmes, JM. The effects of strabismus on quality of life in adults. Am J Ophthalmol. (2007) 144:643–7. doi: 10.1016/j.ajo.2007.06.032
5. Miyata, M, Kido, A, Miyake, M, Tamura, H, Kamei, T, Wada, S, et al. Prevalence and incidence of strabismus by age Group in Japan: a Nationwide population-based cohort study. Am J Ophthalmol. (2024) 262:222–8. doi: 10.1016/j.ajo.2023.11.022
7. Hull, S, Tailor, V, Balduzzi, S, Rahi, J, Schmucker, C, Virgili, G, et al. Tests for detecting strabismus in children aged 1 to 6 years in the community. Cochrane Database Syst Rev. (2017) 11:CD011221. doi: 10.1002/14651858.CD011221.pub2
8. Garcia, SSS, Santiago, APD, and Directo, PMC. Evaluation of a Hirschberg test-based application for measuring ocular alignment and detecting strabismus. Curr Eye Res. (2021) 46:1768–76. doi: 10.1080/02713683.2021.1916038
9. Georgievski, Z. Synoptophore versus prism and cover test measurements in strabismus: a question of instrument convergence? Strabismus. (1995) 3:71–7. doi: 10.3109/09273979509063837
10. Gräf, M, Alhammouri, Q, Vieregge, C, and Lorenz, B. The brückner transillumination test: limited detection of small-angle esotropia. Ophthalmology. (2011) 118:2504–9. doi: 10.1016/j.ophtha.2011.05.016
11. Yehezkel, O, Belkin, M, and Wygnanski-Jaffe, T. Automated diagnosis and measurement of strabismus in children. Am J Ophthalmol. (2020) 213:226–34. doi: 10.1016/j.ajo.2019.12.018
12. Hrynchak, PK, Herriot, C, and Irving, EL. Comparison of alternate cover test reliability at near in non-strabismus between experienced and novice examiners. Ophthalmic Physiol Opt. (2010) 30:304–9. doi: 10.1111/j.1475-1313.2010.00723.x
13. Wang, Z, Ren, H, Frey, R, Liu, Y, Raphael, D, Bian, W, et al. Comparison of the adult strabismus quality of life questionnaire (AS-20) with the amblyopia and strabismus questionnaire (ASQE) among adults with strabismus who seek medical care in China. BMC Ophthalmol. (2014) 14:139. doi: 10.1186/1471-2415-14-139
14. Nuijts, MA, Stegeman, I, van Seeters, T, Borst, MD, Bennebroek, CAM, Buis, DR, et al. Ophthalmological findings in youths with a newly diagnosed brain tumor. JAMA Ophthalmol. (2022) 140:982–93. doi: 10.1001/jamaophthalmol.2022.3628
15. Ehrlich, JR, Anthopolos, R, Tootoo, J, Andrews, CA, Miranda, ML, Lee, PP, et al. Assessing geographic variation in strabismus diagnosis among children enrolled in Medicaid. Ophthalmology. (2016) 123:2013–22. doi: 10.1016/j.ophtha.2016.05.023
16. Walsh, HL, Parrish, A, Hucko, L, Sridhar, J, and Cavuoto, KM. Access to pediatric ophthalmological care by geographic distribution and US population demographic characteristics in 2022. JAMA Ophthalmol. (2023) 141:242–9. doi: 10.1001/jamaophthalmol.2022.6010
17. Lamoureux, D, AlAref, A, and Bhambhwani, V. Radiological findings in patients with isolated acute-onset ocular motility disorders. JFO Open Ophthalmol. (2023) 4:100059. doi: 10.1016/j.jfop.2023.100059
18. Anderson, HA, Manny, RE, Cotter, SA, Mitchell, GL, and Irani, JA. Effect of examiner experience and technique on the alternate cover test. Optom Vis Sci. (2010) 87:168–75. doi: 10.1097/OPX.0b013e3181d1d954
19. Aukerman, JF, Newland, J, and Scott, LS. Eye tracking for infant populations: a comparison of methods and best practices: eye tracking for infant populations. ACM Trans Appl Percept. (2025):3719009. doi: 10.1145/3719009
20. Sousa de Almeida, JD, Silva, AC, Teixeira, JAM, Paiva, AC, and Gattass, M. Computer-aided methodology for syndromic strabismus diagnosis. J Digit Imaging. (2015) 28:462–73. doi: 10.1007/s10278-014-9758-0
21. Kang, YC, Yang, HK, Kim, YJ, Hwang, J-M, and Kim, KG. Automated mathematical algorithm for quantitative measurement of strabismus based on photographs of nine cardinal gaze positions. Biomed Res Int. (2022) 2022:9840494. doi: 10.1155/2022/9840494
22. Rajendran, J, Rai, K, Shetty, S, and Mathangi, V. Comparison of measurements between manual and automated eyetracking systems in patients with strabismus - a preliminary study. Indian J Ophthalmol. (2022) 70:3625–8. doi: 10.4103/ijo.IJO_487_22
23. Chaturvedi, I, and Sharma, P. Commentary: automated strabismus measurement - Orthoptics with an edge! Indian J Ophthalmol. (2022) 70:3628–9. doi: 10.4103/ijo.IJO_1501_22
24. Long, X, Tonguz, OK, and Kiderman, A. A high speed eye tracking system with robust pupil center estimation algorithm. Annu Int Conf IEEE Eng Med Biol Soc. (2007) 2007:3331–4. doi: 10.1109/IEMBS.2007.4353043
25. Chan, HS, Tang, YM, Do, CW, Ho Yin Wong, H, Chan, LY, and To, S. Design and assessment of amblyopia, strabismus, and myopia treatment and vision training using virtual reality. Digit Health. (2023) 9:176638. doi: 10.1177/20552076231176638
26. Singh, A, Sharma, P, and Saxena, R. Evaluation of the role of monocular video game play as an adjuvant to occlusion therapy in the Management of Anisometropic Amblyopia. J Pediatr Ophthalmol Strabismus. (2017) 54:244–9. doi: 10.3928/01913913-20170320-04
27. Nixon, N, Thomas, PBM, and Jones, PR. Feasibility study of an automated strabismus screening test using augmented reality and eye-tracking (STARE). Eye. (2023) 37:3609–14. doi: 10.1038/s41433-023-02566-0
28. Luo, G, Pundlik, S, Tomasi, M, and Houston, K. Using an automated Hirschberg test app to evaluate ocular alignment. J Vis Exp. (2020) 157:908. doi: 10.3791/60908
29. Gilpin, AR. Table for conversion of Kendall’s tau to spearman’s rho within the context of measures of magnitude of effect for meta-analysis. Educ Psychol Meas. (1993) 53:87–92. doi: 10.1177/0013164493053001007
30. Fisher, RA. Frequency distribution of the values of the correlation coefficient in samples from an indefinitely large population. Biometrika. (1915) 10:507. doi: 10.2307/2331838
31. Higgins, JPT, and Thompson, SG. Quantifying heterogeneity in a meta-analysis. Stat Med. (2002) 21:1539–58. doi: 10.1002/sim.1186
32. Lim, HW, Lee, JW, Hong, E, Song, Y, Kang, MH, Seong, M, et al. Quantitative assessment of inferior oblique muscle overaction using photographs of the cardinal positions of gaze. Am J Ophthalmol. (2014) 158:793–799.e2. doi: 10.1016/j.ajo.2014.06.016
33. Kim, YD, Yang, HK, and Hwang, J-M. Development of a simple computerized torsion test to quantify subjective ocular torsion. Eye. (2017) 31:1562–8. doi: 10.1038/eye.2017.90
34. Hasebe, S, Ohtsuki, H, Tadokoro, Y, Okano, M, and Furuse, T. The reliability of a video-enhanced Hirschberg test under clinical conditions. Invest Ophthalmol Vis Sci. (1995) 36:2678–85.
35. Hunter, DG, Nassif, DS, Piskun, NV, Winsor, R, Gramatikov, BI, and Guyton, DL. Pediatric vision screener 1: instrument design and operation. J Biomed Opt. (2004) 9:1363–8. doi: 10.1117/1.1805560
36. Silbert, DI, and Matta, NS. Performance of the spot vision screener for the detection of amblyopia risk factors in children. J AAPOS. (2014) 18:169–72. doi: 10.1016/j.jaapos.2013.11.019
37. Jost, RM, Yanni, SE, Beauchamp, CL, Stager, DR, Stager, D, Dao, L, et al. Beyond screening for risk factors: objective detection of strabismus and amblyopia. JAMA Ophthalmol. (2014) 132:814–20. doi: 10.1001/jamaophthalmol.2014.424
38. Weber, KP, Rappoport, D, Dysli, M, Schmückle Meier, T, Marks, GB, Bockisch, CJ, et al. Strabismus measurements with novel video goggles. Ophthalmology. (2017) 124:1849–56. doi: 10.1016/j.ophtha.2017.06.020
39. Lou, L, Huang, X, Sun, Y, Cao, J, Wang, Y, Zhang, Q, et al. Automated photographic analysis of inferior oblique overaction based on deep learning. Quant Imaging Med Surg. (2023) 13:329–38. doi: 10.21037/qims-22-467
40. Hunter, DG, Shah, AS, Sau, S, Nassif, D, and Guyton, DL. Automated detection of ocular alignment with binocular retinal birefringence scanning. Appl Opt. (2003) 42:3047–53. doi: 10.1364/ao.42.003047
41. Morrison, M, Kerkeni, H, Korda, A, Räss, S, Caversaccio, MD, Abegg, M, et al. Automated alternate cover test for “HINTS” assessment: a validation study. Eur Arch Otorrinolaringol. (2022) 279:2873–9. doi: 10.1007/s00405-021-06998-w
42. Maor, R, Holland, J, Tailor, V, Banteka, M, Khandelwal, P, Glaze, S, et al. Rate of strabismus detection on digital photographs increases by using off-center near target. J Pediatr Ophthalmol Strabismus. (2017) 54:90–6. doi: 10.3928/01913913-20160906-01
43. Bos, JE, and de Graaf, B. Ocular torsion quantification with video images. IEEE Trans Biomed Eng. (1994) 41:351–7. doi: 10.1109/10.284963
44. Guyton, DL, Moss, A, and Simons, K. Automated measurement of strabismic deviations using a remote haploscope and an infrared television-based eye tracker. Trans Am Ophthalmol Soc. (1987) 85:320–31.
45. Simons, BD, Siatkowski, RM, Schiffman, JC, Berry, BE, and Flynn, JT. Pediatric photoscreening for strabismus and refractive errors in a high-risk population. Ophthalmology. (1999) 106:1073–80. doi: 10.1016/S0161-6420(99)90243-9
46. Model, D, and Eizenman, M. An automated Hirschberg test for infants. IEEE Trans Biomed Eng. (2011) 58:103–9. doi: 10.1109/TBME.2010.2085000
47. Zheng, C, Yao, Q, Lu, J, Xie, X, Lin, S, Wang, Z, et al. Detection of referable horizontal strabismus in children’s primary gaze photographs using deep learning. Transl Vis Sci Technol. (2021) 10:33. doi: 10.1167/tvst.10.1.33
48. Huang, X, Lee, SJ, Kim, CZ, and Choi, SH. An automatic screening method for strabismus detection based on image processing. PLoS One. (2021) 16:e0255643. doi: 10.1371/journal.pone.0255643
49. Miller, JM, Hall, HL, Greivenkamp, JE, and Guyton, DL. Quantification of the brückner test for strabismus. Invest Ophthalmol Vis Sci. (1995) 36:897–905.
50. Nassif, DS, Piskun, NV, Gramatikov, BI, Guyton, DL, and Hunter, DG. Pediatric vision screener 2: pilot study in adults. J Biomed Opt. (2004) 9:1369–74. doi: 10.1117/1.1805561
51. Cheng, W, Lynn, MH, Pundlik, S, Almeida, C, Luo, G, and Houston, K. A smartphone ocular alignment measurement app in school screening for strabismus. BMC Ophthalmol. (2021) 21:150. doi: 10.1186/s12886-021-01902-w
52. Valente, TLA, de Almeida, JDS, Silva, AC, Teixeira, JAM, and Gattass, M. Automatic diagnosis of strabismus in digital videos through cover test. Comput Methods Prog Biomed. (2017) 140:295–305. doi: 10.1016/j.cmpb.2017.01.002
53. Yeh, P-H, Liu, C-H, Sun, M-H, Chi, S-C, and Hwang, Y-S. To measure the amount of ocular deviation in strabismus patients with an eye-tracking virtual reality headset. BMC Ophthalmol. (2021) 21:246. doi: 10.1186/s12886-021-02016-z
54. Nesaratnam, N, Thomas, P, and Vivian, A. Stepping into the virtual unknown: feasibility study of a virtual reality-based test of ocular misalignment. Eye. (2017) 31:1503–6. doi: 10.1038/eye.2017.97
55. Gao, L, Wang, C, and Wu, G. Wearable biosensor smart glasses based on augmented reality and eye tracking. Sensors. (2024) 24:6740. doi: 10.3390/s24206740
56. Pundlik, S, Tomasi, M, Liu, R, Houston, K, and Luo, G. Development and preliminary evaluation of a smartphone app for measuring eye alignment. Transl Vis Sci Technol. (2019) 8:19. doi: 10.1167/tvst.8.1.19
57. Chopra, R, Mulholland, PJ, Tailor, VK, Anderson, RS, and Keane, PA. Use of a binocular optical coherence tomography system to evaluate strabismus in primary position. JAMA Ophthalmol. (2018) 136:811–7. doi: 10.1001/jamaophthalmol.2018.1973
58. Fabian, ID, Spierer, A, Berger, Y, and Ben-Zion, I. Abnormal vertical angle kappa caused by ectopic fovea. J AAPOS. (2012) 16:575–6. doi: 10.1016/j.jaapos.2012.07.006
59. Tenório Albuquerque Madruga Mesquita, MJ, Azevedo Valente, TL, de Almeida, JDS, Meireles Teixeira, JA, Cord Medina, FM, and Dos Santos, AM. A mhealth application for automated detection and diagnosis of strabismus. Int J Med Inform. (2021) 153:104527. doi: 10.1016/j.ijmedinf.2021.104527
60. Yang, HK, Seo, J-M, Hwang, J-M, and Kim, KG. Automated analysis of binocular alignment using an infrared camera and selective wavelength filter. Invest Ophthalmol Vis Sci. (2013) 54:2733–7. doi: 10.1167/iovs.12-11400
61. Mestre, C, Otero, C, Díaz-Doutón, F, Gautier, J, and Pujol, J. An automated and objective cover test to measure heterophoria. PLoS One. (2018) 13:e0206674. doi: 10.1371/journal.pone.0206674
62. Seo, MW, Yang, HK, Hwang, M, and Seo, JM. The automated diagnosis of strabismus using an infrared camera. 6th european conference of the international federation for medical and biological engineering, pp. 142–145 (2015).
63. Ludvigh, E. Amount of eye movement objectively perceptible to the unaided eye. Am J Ophthalmol. (1949) 32:649–50. doi: 10.1016/0002-9394(49)91415-4
64. Fogt, N, Baughman, BJ, and Good, G. The effect of experience on the detection of small eye movements. Optom Vis Sci. (2000) 77:670–4. doi: 10.1097/00006324-200012000-00014
65. Cantó-Cerdán, M, Martínez-Abad, A, Siverio-Colomina, A, Díez, R, and Amesty, MA. Comparative analysis of strabismus measurement using a video oculagraphy system and alternate prism cover test. Asia Pac J Ophthalmol. (2023) 12:582–90. doi: 10.1097/APO.0000000000000641
66. Schaeffel, F. Kappa and Hirschberg ratio measured with an automated video gaze tracker. Optom Vis Sci. (2002) 79:329–34. doi: 10.1097/00006324-200205000-00013
67. Nyström, M, Hooge, ITC, Hessels, RS, Andersson, R, Hansen, DW, Johansson, R, et al. The fundamentals of eye tracking part 3: how to choose an eye tracker. Behav Res Methods. (2025) 57:67. doi: 10.3758/s13428-024-02587-x
68. Drews, M, and Dierkes, K. Strategies for enhancing automatic fixation detection in head-mounted eye tracking. Behav Res Methods. (2024) 56:6276–98. doi: 10.3758/s13428-024-02360-0
69. Miao, Y, Jeon, JY, Park, G, Park, SW, and Heo, H. Virtual reality-based measurement of ocular deviation in strabismus. Comput Methods Prog Biomed. (2020) 185:105132. doi: 10.1016/j.cmpb.2019.105132
70. Petersch, B, and Dierkes, K. Gaze-angle dependency of pupil-size measurements in head-mounted eye tracking. Behav Res Methods. (2022) 54:763–79. doi: 10.3758/s13428-021-01657-8
71. Han, SJ, Guo, Y, Granger-Donetti, B, Vicci, VR, and Alvarez, TL. Quantification of heterophoria and phoria adaptation using an automated objective system compared to clinical methods. Ophthalmic Physiol Opt. (2010) 30:95–107. doi: 10.1111/j.1475-1313.2009.00681.x
72. de Almeida, JDS, Silva, AC, de Paiva, AC, and Teixeira, JAM. Computational methodology for automatic detection of strabismus in digital images through Hirschberg test. Comput Biol Med. (2012) 42:135–46. doi: 10.1016/j.compbiomed.2011.11.001
73. Azri, C, Tomietto, P, Marciano, E, and Bui-Quoc, E. Evaluation of Strabocheck® as an objective measurement method of comitant horizontal strabismus in children undergoing surgery. Strabismus. (2023) 31:73–81. doi: 10.1080/09273972.2023.2204886
74. Hasebe, S, Ohtsuki, H, Kono, R, and Nakahira, Y. Biometric confirmation of the Hirschberg ratio in strabismic children. Invest Ophthalmol Vis Sci. (1998) 39:2782–5.
75. Yoo, YJ, Yang, HK, Seo, J-M, Kim, KG, and Hwang, J-M. Infrared photographs with a selective wavelength filter to diagnose small-angle esotropia in young children. Graefes Arch Clin Exp Ophthalmol. (2019) 257:645–50. doi: 10.1007/s00417-019-04240-2
76. Lou, L, Sun, Y, Huang, X, Jin, K, Tang, X, Xu, Z, et al. Automated measurement of ocular movements using deep learning-based image analysis. Curr Eye Res. (2022) 47:1346–53. doi: 10.1080/02713683.2022.2053165
77. Otero-Millan, J, Roberts, DC, Lasker, A, Zee, DS, and Kheradmand, A. Knowing what the brain is seeing in three dimensions: a novel, noninvasive, sensitive, accurate, and low-noise technique for measuring ocular torsion. J Vis. (2015) 15:11. doi: 10.1167/15.14.11
78. Yang, HK, Han, SB, Hwang, J-M, Kim, YJ, Jeong, CB, and Kim, KG. Assessment of binocular alignment using the three-dimensional strabismus photo analyzer. Br J Ophthalmol. (2012) 96:78–82. doi: 10.1136/bjophthalmol-2011-300305
79. FaceX Corp. (2024). Available online at: https://www.facexcorp.com/about-facex/ (Accessed Jul 20, 2024).
80. MachineMD. Neuro-ophthalmology. (2024). Available online at: https://www.machinemd.com/neuro-ophthalmology (Accessed Jul 20, 2024).
81. Balaban, CD, Nayak, NS, Williams, EC, Kiderman, A, and Hoffer, ME. Frequency dependence of coordinated pupil and eye movements for binocular disparity tracking. Front Neurol. (2023) 14:1081084. doi: 10.3389/fneur.2023.1081084
82. Walton, MMG. Disconjugacies of saccade duration and trajectories in strabismus. Strabismus. (2024) 32:252–70. doi: 10.1080/09273972.2024.2378827
83. Kapoula, Z, Bucci, MP, Eggert, T, and Garraud, L. Impairment of the binocular coordination of saccades in strabismus. Vis Res. (1997) 37:2757–66. doi: 10.1016/s0042-6989(97)00064-3
84. Lal, V, and Truong, D. Eye movement abnormalities in movement disorders. Clin Park Relat Disord. (2019) 1:54–63. doi: 10.1016/j.prdoa.2019.08.004
85. Boghen, D, Troost, BT, Daroff, RB, Dell’Osso, LF, and Birkett, JE. Velocity characteristics of normal human saccades. Investig Ophthalmol. (1974) 13:619–23.
86. Sinno, S, Najem, F, Abouchacra, KS, Perrin, P, and Dumas, G. Normative values of saccades and smooth pursuit in children aged 5 to 17 years. J Am Acad Audiol. (2020) 31:384–92. doi: 10.3766/jaaa.19049
87. Kang, S, and Kim, US. Normative data of videonystagmography in young healthy adults under 40 years old. Korean J Ophthalmol. (2015) 29:126–30. doi: 10.3341/kjo.2015.29.2.126
88. Cook, G, and Stark, L. The human eye-movement mechanism. Experiments, modeling, and model testing. Arch Ophthalmol. (1960) 79:428–36. doi: 10.1001/archopht.1968.03850040430012
89. Mims, JL, and Treff, G. Saccadic velocities of horizontal rectus muscles in twenty-five normal humans. J Pediatr Ophthalmol Strabismus. (1982) 19:129–36. doi: 10.3928/0191-3913-19820501-04
90. Song, A, Gabriel, R, Mohiuddin, O, Whitaker, D, Wisely, CE, and Kim, T. Automated eye tracking enables saccade performance evaluation of patients with concussion history. Optom Vis Sci. (2023) 100:855–60. doi: 10.1097/opx.0000000000002090
91. El Hmimdi, AE, and Kapoula, Z. Can saccade and vergence properties discriminate stroke survivors from individuals with other pathologies? A machine learning approach. Brain Sci. (2025) 15:230. doi: 10.3390/brainsci15030230
92. Kault, D, Stark, D, and Stark, K. An automated system of strabismus management. A direct approach using a “reverse” model. Invest Ophthalmol Vis Sci. (1989) 30:276–87.
93. Campos, EC, Orciuolo, M, and Schiavi, C. A new automatic computerized deviometer. Int Ophthalmol. (1989) 13:291–5. doi: 10.1007/BF02280089
94. Thomson, WD, Desai, N, and Russell-Eggitt, I. A new system for the measurement of ocular motility using a personal computer. Ophthalmic Physiol Opt. (1990) 10:137–43. doi: 10.1111/j.1475-1313.1990.tb00967.x
95. Schiavi, C, and Orciuolo, M. Automated measurement of strabismic deviation. Curr Opin Ophthalmol. (1992) 3:731–4. doi: 10.1097/00055735-199212000-00002
96. Miller, JM, Mellinger, M, Greivenkemp, J, and Simons, K. Videographic Hirschberg measurement of simulated strabismic deviations. Invest Ophthalmol Vis Sci. (1993) 34:3220–9.
97. Hunter, DG, Patel, SN, and Guyton, DL. Automated detection of foveal fixation by use of retinal birefringence scanning. Appl Opt. (1999) 38:1273–9. doi: 10.1364/ao.38.001273
98. Scott, C, Gusdorf, G, and Tychsen, L. Automated cover testing for binocular misalignment in awake monkeys using spectacle-mounted liquid crystal shutters. Binocul Vis Strabismus Q. (2000) 15:59–66.
99. Vaswani, RS, and Mudgil, AV. Design of and normative data for a new computer based test of ocular torsion. Binocul Vis Strabismus Q. (2004) 19:169–74.
100. Van Eenwyk, J, Agah, A, Giangiacomo, J, and Cibis, G. Artificial intelligence techniques for automatic screening of amblyogenic factors. Trans Am Ophthalmol Soc. (2008) 106:64–73.
101. Model, D, Eizenman, M, and Sturm, V. Fixation-free assessment of the Hirschberg ratio. Invest Ophthalmol Vis Sci. (2010) 51:4035–9. doi: 10.1167/iovs.09-5014
102. Awadein, A. A computerized version of the Lancaster red-green test. J AAPOS. (2013) 17:197–202. doi: 10.1016/j.jaapos.2012.11.019
103. Khumdat, N, Phukpattaranont, P, and Tengtrisorn, S. Development of a computer system for strabismus screening. 6th 2013 Biomedical Engineering International Conference. Amphur Muang, Krabi, Thailand: IEEE, pp. 1–5 (2013). Available online at: http://ieeexplore.ieee.org/document/6687635/ (Accessed Jun 13, 2024).
104. Priglinger, S, Rohleder, M, Reitböck, S, Priglinger, C, and Kaltofen, T. Computer-assisted diagnosis of monocular elevation deficiency. Int Ophthalmol. (2014) 34:185–95. doi: 10.1007/s10792-013-9809-4
105. Irsch, K, Gramatikov, BI, Wu, Y-K, and Guyton, DL. New pediatric vision screener employing polarization-modulated, retinal-birefringence-scanning-based strabismus detection and bull’s eye focus detection with an improved target system: opto-mechanical design and operation. J Biomed Opt. (2014) 19:067004. doi: 10.1117/1.JBO.19.6.067004
106. Garry, GA, and Donahue, SP. Validation of spot screening device for amblyopia risk factors. J AAPOS. (2014) 18:476–80. doi: 10.1016/j.jaapos.2014.07.156
107. Peterseim, MMW, Papa, CE, Wilson, ME, Davidson, JD, Shtessel, M, Husain, M, et al. The effectiveness of the spot vision screener in detecting amblyopia risk factors. J AAPOS. (2014) 18:539–42. doi: 10.1016/j.jaapos.2014.07.176
108. Peterseim, MMW, Davidson, JD, Trivedi, R, Wilson, ME, Papa, CE, and Cheeseman, EW. Detection of strabismus by the spot vision screener. J AAPOS. (2015) 19:512–4. doi: 10.1016/j.jaapos.2015.09.003
109. Kumar, D, Dutta, A, Das, A, and Lahiri, U. Smarteye: developing a novel eye tracking system for quantitative assessment of oculomotor abnormalities. IEEE Trans Neural Syst Rehabil Eng. (2016) 24:1051–9. doi: 10.1109/TNSRE.2016.2518222
110. Chen, ZH, Fu, H, Lo, WL, Chi, Z, and Xu, B. Eye-tracking-aided digital system for strabismus diagnosis. Healthc Technol Lett. (2018) 5:1–6. doi: 10.1049/htl.2016.0081
111. Chen, Z, Fu, H, Lo, W-L, and Chi, Z. Strabismus recognition using eye-tracking data and convolutional neural networks. J Healthc Eng. (2018) 2018:1–9. doi: 10.1155/2018/7692198
112. Thorisdottir, RL, Sundgren, J, Sheikh, R, Blohmé, J, Hammar, B, Kjellström, S, et al. Comparison of a new digital KM screen test with conventional Hess and lees screen tests in the mapping of ocular deviations. J AAPOS. (2018) 22:277–280.e6. doi: 10.1016/j.jaapos.2018.02.007
113. Zheng, Y, Fu, H, Li, R, Lo, W-L, Chi, Z, Feng, DD, et al. Intelligent evaluation of strabismus in videos based on an automated cover test. Appl Sci. (2019) 9:731. doi: 10.3390/app9040731
Keywords: strabismus, ocular misalignment, automated strabismus evaluation, meta-analysis, technological development, eye movement disorders
Citation: Hartness EM, Jiang F, Zamba GKD, Allen C, Bragg TL, Nellis J, Dumitrescu AV and Kardon RH (2025) Automated strabismus evaluation: a critical review and meta-analysis. Front. Neurol. 16:1620568. doi: 10.3389/fneur.2025.1620568
Edited by:
Owen B. White, Monash University, AustraliaReviewed by:
Sara Samadzadeh, Charité University Medicine Berlin, GermanyLionel Kowal, The Royal Victorian Eye and Ear Hospital, Australia
Copyright © 2025 Hartness, Jiang, Zamba, Allen, Bragg, Nellis, Dumitrescu and Kardon. This is an open-access article distributed under the terms of the Creative Commons Attribution License (CC BY). The use, distribution or reproduction in other forums is permitted, provided the original author(s) and the copyright owner(s) are credited and that the original publication in this journal is cited, in accordance with accepted academic practice. No use, distribution or reproduction is permitted which does not comply with these terms.
*Correspondence: Randy H. Kardon, cmFuZHkta2FyZG9uQHVpb3dhLmVkdQ==