Abstract
Introduction:
The C-reactive protein/albumin ratio (CAR) could serve as an novel obtainable application for prognosis. Few studies have assessed CAR and mortality in older Japanese patients with post-stroke dysphagia (PSD). We evaluated CAR as a composite prognostic factor and compared its predictive performance with C-reactive protein (CRP) and albumin.
Methods:
In this retrospective cohort study, 133 elderly Japanese patients with PSD (January 2014–January 2017) were analyzed. Cox proportional hazards models estimated associations of CAR, CRP, and albumin with mortality. Survival across CAR tertiles was compared by Kaplan–Meier curves. For 1-year mortality prediction we computed ROC curves and assessed incremental value using IDI and NRI.
Results:
Among 133 patients (78 women, 55 men; mean age 80.5 years), each one-unit increase in CAR was associated with a 42% higher hazard of death in unadjusted analysis (HR 1.42; 95% CI 1.18–1.71; p < 0.001) and remained significant after full adjustment (HR 1.49; 95% CI 1.16–1.92; p = 0.002). Higher CAR tertiles had worse survival (p < 0.0001). For 1-year mortality discrimination, CAR AUC = 0.702 (95% CI 0.606–0.798), albumin AUC = 0.710, CRP AUC = 0.685. Albumin improved prediction over CAR (IDI 0.108, p = 0.012; NRI 0.217, p = 0.044); CRP did not.
Conclusion:
CAR was positively associated with mortality in older Japanese patients with PSD but had only modest discrimination for 1-year mortality. Albumin provided a small additional predictive benefit. Larger prospective studies are needed for validation.
1 Introduction
C-reactive protein (CRP) is an inflammatory application produced by the liver in response to interleukin-6 (1). Albumin is a principal indicator of nutritional status and also modulates inflammatory responses (2). Because CRP and albumin reflect, respectively, systemic inflammation and nutritional reserve, the C-reactive protein/albumin ratio (CAR) has emerged as a composite application that captures the balance between inflammation and nutrition. CAR has demonstrated prognostic value across a range of conditions, including malignant tumors (3), critical illnesses (4), hematological diseases (5), orthopedic infections (6) and metabolic disorders (7).
Post-stroke dysphagia (PSD) is a common, clinically important complication of stroke and is associated with adverse outcomes (8). Epidemiological estimates indicate that 37–78% of stroke patients develop dysphagia, with prevalence depending on screening methods (9). Among stroke survivors, 60.9% report at least one type of eating difficulty. Neurogenic dysphagia commonly results in atrophy of the swallowing musculature and raises the risk of aspiration pneumonia, which can impede recovery (8). PSD is frequently accompanied by heightened inflammatory activity and deteriorating nutritional status (10). An elevated CAR reflects this combined “inflammation-nutrition imbalance.” That imbalance may worsen swallowing function and clinical prognosis. Prior studies have linked CAR to poor outcomes in acute stroke patients (11), but its prognostic value specifically in chronic PSD is unclear.
We focus on older Japanese patients because Japan has the world’s most rapidly aging population (12), making PSD and related complications especially consequential. Therefore, this study evaluated the association between CAR and mortality in older Japanese patients with PSD using available clinical and laboratory data. We hypothesized that higher CAR would be associated with increased mortality in this cohort.
2 Methods
2.1 Study design and participants
This retrospective observational study included elderly patients diagnosed with PSD between January 2014 and January 2017. Included patients received either percutaneous endoscopic gastrostomy (PEG) or total parenteral nutrition (TPN). The severity of dysphagia was confirmed through comprehensive clinical assessment by a multidisciplinary team (doctors, nurses, and speech therapists) and video fluoroscopic swallowing studies. All the enrolled subjects had a history of stroke, as recorded in their medical records. Exclusion criteria included patients with advanced cancer, those who needed PEG for gastric decompression, those who had received PEG before January 2014, and those without a history of stroke. This study was approved by the Institutional Review Board of the Miyomori Memorial Hospital. As the data were anonymized and met the regulatory standards, the requirement for informed consent was waived.
2.2 Data source
Data for this study were obtained from the Dryad Digital Repository, which provides unrestricted access to the original dataset. According to Dryad’s guidelines, we cited the data package titled “Baseline C-reactive protein, albumin level, and life prognosis in Dryad,” which can be accessed via https://doi.org/10.5061/dryad.gg407h1. These findings were published in 2019 (13). The original study compared outcomes of PEG versus TPN. In contrast, the present analysis focuses on CAR as a novel application. This difference in focus differentiates our work from the original publication and prevents duplication of its aims.
2.3 Procedures
The primary endpoint was all-cause mortality during the follow-up period. Nutritional intervention protocols were individualized based on multidisciplinary assessments. Demographics (age, sex, body mass index [BMI]), comorbidities (severe dementia, ischemic heart disease, and aspiration pneumonia), Clinical Frailty Scale (CFS) score, oral intake recovery status, and laboratory measures were abstracted from medical records. Hematological parameters were collected within 1 week prior to initiation of nutritional intervention. CAR was calculated using the following formula. Participants were categorized into tertiles for CAR, CRP and albumin as follows: CAR T1 < 0.093, T2 0.093–0.604, T3 ≥ 0.604; CRP T1 < 0.32 mg/dL, T2 0.32–1.81 mg/dL, T3 ≥ 1.81 mg/dL; albumin T1 < 3.0 g/dL, T2 3.0–3.6 g/dL, T3 ≥ 3.6 g/dL.
2.4 Statistical analysis
Categorical variables were presented as percentages, whereas continuous variables are presented as mean±SD or median (IQR). Baseline characteristic comparisons were performed using one-way ANOVA for continuous variables and chi-square or Fisher’s exact tests for categorical variables. We use Cox proportional hazards regression to estimate hazard ratios (HRs) and 95% confidence intervals (CIs) for associations between CAR, CRP, albumin, and mortality. The proportional hazards assumption was assessed by Schoenfeld residuals and met for the outcome of death. We constructed three Cox models: Model 1 unadjusted; Model 2 adjusted for age, sex and BMI; Model 3 additionally adjusted for CFS score, oral intake recovery and aspiration pneumonia. Kaplan–Meier curves with log-rank tests compared survival across tertiles of CAR, CRP and albumin. Predictive performance for 1-year mortality was evaluated by ROC curves and AUCs with 95% CIs. Incremental prognostic value of CRP and albumin over CAR was assessed using integrated discrimination improvement (IDI) and net reclassification improvement (NRI). The interaction effects were examined using likelihood ratio tests. Sensitivity analyses included alternative CAR cutoff, comparison across four model specifications, and calculation of the E-value to quantify robustness to unmeasured confounding. To determine whether the association between CAR and mortality was attributable to hypoalbuminemia, we stratified the cohort by serum albumin into two groups. The high-albumin group had albumin ≥ 3.6 g/dL. The low-albumin group had albumin < 3.6 g/dL. Within each group, we used Cox proportional hazards regression to assess associations between CAR, CRP, albumin and mortality. We reported HRs and 95% CIs. Model 1 was unadjusted. Model 2 adjusted for age, sex and BMI. Analysis was performed using R 4.2.2 (http://www.Rproject.org; The R Foundation, Vienna, Austria) and the Free Statistics software (version 2.1.1; Beijing FreeClinical Medical Technology Co., Ltd., Beijing, China).
3 Results
3.1 Study participants and baseline characteristics
Table 1 shows the key characteristics of the cohort of 133 patients (55 males and 78 females). Because age followed a normal distribution, it was reported as mean±SD (80.5 ± 10.4 years). Among these patients, 107 underwent PEG and 26 underwent TPN. Tertile comparisons identified significant differences in sex, PEG, CFS score, ischemic heart disease, severe dementia, CRP and albumin (p < 0.05). Patients in the highest CAR tertile had higher prevalences of severe dementia and ischemic heart disease and were more frequently managed with TPN.
Table 1
| Variables | Total | CAR | p | ||
|---|---|---|---|---|---|
| T1 (<0.093) | T2 (0.093 ~ 0.604) | T3 (≥0.604) | |||
| Age (years), Mean ± SD | 80.5 ± 10.4 | 79.0 ± 10.2 | 79.4 ± 12.6 | 83.2 ± 7.7 | 0.113 |
| Sex, n (%) | 0.009 | ||||
| Male | 55 (41.4) | 10 (22.7) | 23 (52.3) | 22 (48.9) | |
| Female | 78 (58.6) | 34 (77.3) | 21 (47.7) | 23 (51.1) | |
| BMI (kg/m2), Mean ± SD | 19.7 ± 3.4 | 19.6 ± 2.4 | 20.3 ± 4.1 | 19.1 ± 3.5 | 0.242 |
| PEG, n (%) | 107 (80.5) | 41 (93.2) | 39 (88.6) | 27 (60) | < 0.001 |
| Oral intake recovery, n (%) | 9 (6.8) | 5 (11.4) | 3 (6.8) | 1 (2.2) | 0.194 |
| Aspiration pneumonia, n (%) | 32 (24.1) | 5 (11.4) | 14 (31.8) | 13 (28.9) | 0.052 |
| CFS score, n (%) | 0.035 | ||||
| 4 | 1 (0.8) | 1 (2.3) | 0 (0) | 0 (0) | |
| 7 | 17 (12.8) | 5 (11.4) | 10 (22.7) | 2 (4.4) | |
| 8 | 115 (86.5) | 38 (86.4) | 34 (77.3) | 43 (95.6) | |
| Ischemic heart disease, n (%) | 30 (22.6) | 4 (9.1) | 9 (20.5) | 17 (37.8) | 0.005 |
| Severe dementia, n (%) | 17 (12.8) | 1 (2.3) | 5 (11.4) | 11 (24.4) | 0.007 |
| CRP (mg/dl), Median (IQR) | 0.8 (0.2, 2.4) | 0.2 (0.1, 0.2) | 0.8 (0.5, 1.1) | 4.0 (2.4, 6.0) | <0.001 |
| Albumin (g/dl), Mean ± SD | 3.3 ± 0.6 | 3.7 ± 0.4 | 3.3 ± 0.5 | 2.8 ± 0.6 | <0.001 |
Baseline characteristics of patients.
BMI, body mass index; CAR, C-reactive protein/albumin ratio; CRP, C-reactive protein; CFS, Clinical Frailty Scale scores; CFS score were grouped as 4, 7, and 8 to indicate severity; PEG, percutaneous endoscopic gastrostomy.
3.2 Association between CAR, CRP, albumin and mortality
In Cox regression analyses (Table 2), CAR, CRP and albumin were significantly associated with mortality. We constructed three Cox models. Model 1 was unadjusted. Model 2 was adjusted for age, sex and BMI. Model 3 was additionally adjusted for CFS score, oral intake recovery and aspiration pneumonia. In the fully adjusted model (Model 3), continuous CAR was associated with higher mortality (HR 1.49, p = 0.002), as was continuous CRP (HR 1.15, p = 0.008); continuous albumin was associated with lower mortality (HR 0.35, p < 0.001). Compared with the lowest tertile, the highest CAR tertile conferred a 3.77-fold increased mortality risk, and the highest CRP tertile a 3.92-fold increased risk; albumin ≥3.6 g/dL was associated with a 75% reduction in mortality risk. Trend tests across tertiles were significant.
Table 2
| Variable | Model 1 | Model 2 | Model 3 | |||
|---|---|---|---|---|---|---|
| HR (95%CI) | p | HR (95%CI) | p | HR (95%CI) | p | |
| CAR (continuous) | 1.42 (1.18 ~ 1.71) | <0.001 | 1.39 (1.12 ~ 1.72) | 0.003 | 1.49 (1.16 ~ 1.92) | 0.002 |
| CAR (T1, <0.093) | 1(Ref) | 1(Ref) | 1(Ref) | |||
| CAR (T2,0.093 ~ 0.604) | 2.91 (1.29 ~ 6.57) | 0.010 | 2.19 (0.95 ~ 5.05) | 0.066 | 2.55 (1.09 ~ 5.95) | 0.031 |
| CAR (T3, ≥0.604) | 5.64 (2.60 ~ 12.27) | <0.001 | 3.88 (1.75 ~ 8.62) | 0.001 | 3.77 (1.70 ~ 8.35) | 0.001 |
| P for trend | <0.001 | <0.001 | 0.001 | |||
| CRP (continuous) | 1.14 (1.05 ~ 1.23) | 0.001 | 1.12 (1.03 ~ 1.22) | 0.010 | 1.15 (1.04 ~ 1.27) | 0.008 |
| CRP (T1, <0.32) | 1(Ref) | 1(Ref) | 1(Ref) | |||
| CRP (T2,0.32 ~ 1.81) | 3.3 (1.47 ~ 7.43) | 0.004 | 2.79 (1.23 ~ 6.34) | 0.014 | 3.17 (1.39 ~ 7.27) | 0.006 |
| CRP (T3, ≥1.81) | 5.1 (2.34 ~ 11.11) | <0.001 | 3.88 (1.75 ~ 8.59) | 0.001 | 3.92 (1.77 ~ 8.67) | 0.001 |
| P for trend | <0.001 | 0.001 | 0.001 | |||
| Albumin (continuous) | 0.32 (0.21 ~ 0.48) | <0.001 | 0.37 (0.23 ~ 0.59) | <0.001 | 0.35 (0.22 ~ 0.56) | <0.001 |
| Albumin (T1, <3.0) | 1(Ref) | 1(Ref) | 1(Ref) | |||
| Albumin (T2,3.0 ~ 3.6) | 0.47 (0.27 ~ 0.82) | 0.008 | 0.44 (0.24 ~ 0.79) | 0.006 | 0.39 (0.21 ~ 0.71) | 0.002 |
| Albumin (T3, ≥3.6) | 0.18 (0.09 ~ 0.36) | <0.001 | 0.28 (0.13 ~ 0.62) | 0.002 | 0.25 (0.11 ~ 0.56) | 0.001 |
| P for trend | <0.001 | 0.001 | <0.001 | |||
Association between CAR, CRP, albumin and mortality in different models.
Model 1: Non-adjusted. Model 2: Adjusted for age, sex and BMI. Model 3: Adjusted for age, sex, BMI, Clinical Frailty Scale scores, oral intake recovery and aspiration pneumonia. BMI, body mass index; CAR, C-reactive protein/albumin ratio. CRP, C-reactive protein.
Kaplan–Meier curves demonstrated significant differences in mortality across tertiles of CAR, CRP and albumin (all p < 0.0001, Figure 1). For CAR, median survival was 282 days in T3 and 762 days in T2, while median survival in T1 was not reached (maximum follow-up 1,463 days). For CRP, median survival was 330 days in T3 and 658 days in T2, with T1 not reaching median survival. For albumin, the T1 had median survival of 234 days, T2 had 716 days, and median survival in T3 was not reached.
Figure 1

Kaplan–Meier survival analysis for all-cause mortality stratified by tertiles of CAR (A). Kaplan–Meier survival analysis for all-cause mortality stratified by tertiles of albumin (B). Kaplan–Meier survival analysis for all-cause mortality stratified by tertiles of CRP (C). CAR, C-reactive protein/albumin ratio; CRP, C-reactive protein.
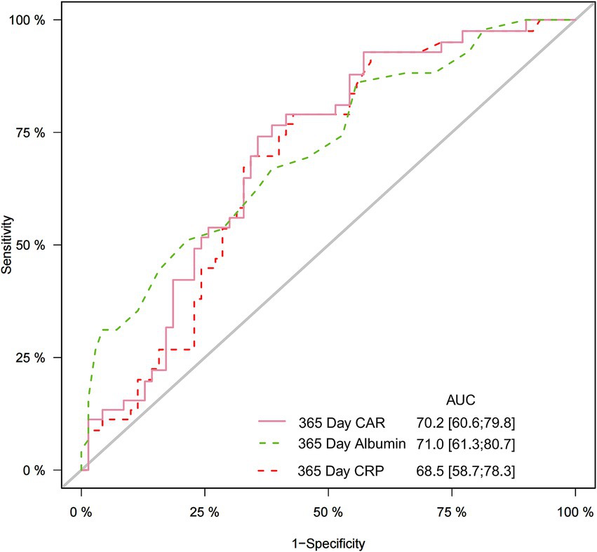
For 1-year mortality prediction (Figure 2), CAR achieved an AUC of 0.702 (95% CI 0.606–0.798), slightly below albumin (AUC 0.710) and above CRP (AUC 0.685). Incremental predictive analyses (Table 3) showed that albumin added modest but statistically significant predictive value over CAR (IDI 0.108, p = 0.012; NRI 0.217, p = 0.044); CRP did not provide significant incremental predictive value over CAR.
Figure 2

Receiver operating characteristic curves assessing the predictive ability of CAR, CRP and albumin. CAR, C-reactive protein/albumin ratio; CRP, C-reactive protein.
Table 3
| Variable | AUC (95% CI) | IDI (95% CI) | p | NRI (95% CI) | p |
|---|---|---|---|---|---|
| CAR | 0.702 (0.606 ~ 0.798) | Reference | Reference | ||
| CRP | 0.685 (0.587 ~ 0.783) | −0.010(−0.027 ~ 0.004) | 0.200 | −0.239(−0.377 ~ 0.248) | 0.567 |
| Albumin | 0.710 (0.613 ~ 0.807) | 0.108 (0.018 ~ 0.201) | 0.012 | 0.217 (0.012 ~ 0.428) | 0.044 |
Comparison of predictive performance for 1-year mortality between CAR, CRP and albumin.
CAR, C-reactive protein/albumin ratio; CRP, C-reactive protein; IDI: Integrated Discrimination Improvement; NRI: Net Reclassification Improvement; CI: confidence interval.
3.3 Subgroup analyses and sensitivity analyses
Subgroup interaction analyses (Supplementary Figures S1–S3) found no significant effect modification by age, sex, or BMI (all P-interaction > 0.05). Sensitivity analyses, using alternative CAR cutoff and alternative model specifications, yielded consistent results (Supplementary Tables S1, S2). E-value analyses (Supplementary Table S3) suggested moderate robustness of the CAR–mortality association (E-value 1.96); the albumin association was more robust (E-value 3.52), while the CRP association was less robust (E-value 1.45). As shown in Supplementary Table S4, in the high-albumin group, CAR was significantly associated with increased mortality (Model 2 HR 6.96, p = 0.037). CRP was also significantly associated with increased mortality (Model 2 HR 1.65, p = 0.041). Albumin itself showed no significant association. In the low-albumin group, albumin was significantly inversely associated with mortality (Model 2 HR 0.39, p = 0.002). CRP and CAR were not significantly associated with mortality and showed at most marginal significance.
4 Discussion
In this cohort of older Japanese patients with PSD, we observed that higher CAR and CRP were associated with increased mortality, whereas higher albumin was associated with lower mortality. Compared with the lowest tertile, the highest CAR tertile conferred a 3.77-fold increased mortality risk, and the highest CRP tertile a 3.92-fold increased risk; albumin ≥3.6 g/dL was associated with a 75% reduction in mortality risk. For 1-year mortality prediction, CAR had an AUC of 0.702, slightly lower than albumin (0.710) and higher than CRP (0.685). Stratified analyses show that the relationship between CAR and survival varies with baseline albumin levels. If patients have relatively good nutrition, the CRP component of CAR can detect higher inflammation. This detection helps predict worse survival. If patients have poor nutrition, measuring albumin directly may be more useful as a marker. Although several studies have evaluated the prognostic value of the CAR, important differences separate those studies from ours. For example, the meta-analysis by Yang et al. (14) confirmed an association between elevated CAR and poor outcomes but concentrated on acute stroke populations, did not address dysphagia, and their cohort was younger than ours. Uluç et al. (15) examined elderly patients in respiratory intensive care units (mean age 75.48 years), reflecting acute critical illness and acute inflammation. By contrast, our cohort had a mean age of 80.50 years; 86.5% had a CFS score ≥8, and 24.1% were concurrently diagnosed with aspiration pneumonia. These findings suggest that CAR in our study population reflects chronic inflammation and nutritional depletion rather than purely acute inflammatory responses. Guo et al. (16) studied Japanese elderly patients with dysphagia, but not specifically those with PSD. Our study therefore focuses on PSD patients and adjusted for stroke-related comorbidities such as ischemic heart disease and severe dementia.
After a stroke, dysphagia worsens the balance between nutrition and inflammation through multiple pathological mechanisms, which in turn affects clinical prognosis. This imbalance prolongs hospital stays and increases the economic burden on healthcare systems (17, 18). The relationship is bidirectional: low albumin weakens innate immune defenses, while elevated CRP reflects systemic inflammatory activation (19). In this context, the CAR is a practical composite sign that concurrently reflects inflammatory burden (CRP) and nutritional reserve (albumin) (20, 21). For clinicians, CAR could be a simple addition to risk assessment in older stroke patients–those with high CAR may benefit from prioritized multidisciplinary interventions to address nutrition and inflammation. When albumin is normal or near normal, an elevated CAR reflects inflammation. Clinicians should give this finding high priority. When albumin is low, low albumin indicates malnutrition. In those patients, prioritizing nutritional intervention may more directly improve prognosis than focusing only on inflammation. Additionally, there also is considerable potential to incorporate CAR into prognostic scores or to use it in clinical decision-making (like deciding on feeding strategies or goals of care).
To our knowledge, this is the first study in a dedicated PSD cohort demonstrating CAR’s prognostic value. Nevertheless, several limitations warrant consideration. First, because data were not collected prospectively, our analysis was restricted to the variables available in the dataset. We lacked information on stroke subtype; stroke severity (National Institutes of Health Stroke Scale); additional nutritional indicators (such as prealbumin); longitudinal measures such as trends in CAR and body weight; and objective swallowing assessments (the Wada drinking-water test and the Functional Oral Intake Scale). Second, as a small, retrospective secondary data analysis, the study is vulnerable to reverse causation, selection bias and potential overadjustment. Given an HR of 1.49 and an observed mortality of 45.9% over 4 years, the post-hoc statistical power was only ~62%. Although we adjusted for multiple confounders in multivariable models, residual confounding cannot be ruled out; to address this we fitted four supplementary models with alternative covariate sets and calculated E-values to assess the robustness of the primary associations to unmeasured confounding. Finally, the cohort comprised older Japanese patients with PSD from a single centre, limiting generalisability to other racial, ethnic or age groups. Determining optimal diagnostic or prognostic cut-offs requires prospective validation. Future studies should use large, multicentre prospective cohorts with standardised assessments to validate and extend these findings.
5 Conclusion
This cohort study indicated that a higher CAR is associated with increased mortality in older Japanese patients with PSD. CAR showed modest discriminative performance for 1-year mortality; albumin provided a small but statistically significant incremental improvement over CAR. Prospective, larger studies with richer covariate data are needed for validation.
Statements
Data availability statement
The datasets presented in this study can be found in online repositories. The names of the repository/repositories and accession number(s) can be found at: http://www.Datadryad.org/.
Ethics statement
Studies involving humans were approved by the Ethical Review Board of Miyanomori Memorial Hospital. The studies were conducted in accordance with local legislation and institutional requirements. As the data were anonymized and met the regulatory standards, the requirement for informed consent was waived. The Dryad dataset we used contained only de-identified records. Direct identifiers (e.g., names, addresses, and exact birthdates) were removed and replaced with study codes, and dates were converted to numeric values to minimize re-identification risk. The analyses reported here are novel and were conducted solely on the Dryad dataset.
Author contributions
ZW: Conceptualization, Data curation, Formal analysis, Visualization, Writing – original draft, Writing – review & editing. LW: Funding acquisition, Project administration, Supervision, Writing – review & editing.
Funding
The author(s) declare that financial support was received for the research and/or publication of this article. This project was supported by the Jilin Provincial Department of Education (JJKH20210062KJ) and Development and Reform Commission of Jilin Province (2021C018) to LW.
Acknowledgments
We appreciate Jie Liu (People’s Liberation Army of China General Hospital, Beijing, China) for his contribution to the statistical and study design consultations.
Conflict of interest
The authors declare that the research was conducted in the absence of any commercial or financial relationships that could be construed as a potential conflict of interest.
Generative AI statement
The author(s) declare that no Gen AI was used in the creation of this manuscript.
Any alternative text (alt text) provided alongside figures in this article has been generated by Frontiers with the support of artificial intelligence and reasonable efforts have been made to ensure accuracy, including review by the authors wherever possible. If you identify any issues, please contact us.
Publisher’s note
All claims expressed in this article are solely those of the authors and do not necessarily represent those of their affiliated organizations, or those of the publisher, the editors and the reviewers. Any product that may be evaluated in this article, or claim that may be made by its manufacturer, is not guaranteed or endorsed by the publisher.
Supplementary material
The Supplementary material for this article can be found online at: https://www.frontiersin.org/articles/10.3389/fneur.2025.1648517/full#supplementary-material
References
1.
Pepys MB Hirschfield GM . C-reactive protein: a critical update. J Clin Invest. (2003) 111:1805–12. doi: 10.1172/JCI200318921
2.
Caraceni P Tufoni M Bonavita ME . Clinical use of albumin. Blood Transfus. (2013) 11 Suppl 4:s18–25. doi: 10.2450/2013.005s
3.
Starzer AM Steindl A Mair MJ Deischinger C Simonovska A Widhalm G et al . Systemic inflammation scores correlate with survival prognosis in patients with newly diagnosed brain metastases. Br J Cancer. (2021) 124:1294–300. doi: 10.1038/s41416-020-01254-0
4.
Oh TK Ji E Na HS Min B Jeon YT do SH et al . C-reactive protein to albumin ratio predicts 30-day and 1-year mortality in postoperative patients after admission to the intensive care unit. J Clin Med. (2018) 7:39. doi: 10.3390/jcm7030039
5.
Tang HN Pan BH Wang L Zhu HY Fan L Xu W et al . C-reactive protein-to-albumin ratio is an independent poor prognostic factor in newly diagnosed chronic lymphocytic leukaemia: a clinical analysis of 322 cases. Transl Oncol. (2021) 14:101035. doi: 10.1016/j.tranon.2021.101035
6.
Wu Y Sun K Liu R Wu L Zeng Y Li M et al . C-reactive protein/albumin and C-reactive protein/fibrinogen ratios for the diagnosis of periprosthetic joint infection in revision total joint arthroplasty. Int Immunopharmacol. (2023) 115:109682. doi: 10.1016/j.intimp.2023.109682
7.
Lim T Lee YJ . C-reactive protein to albumin ratio and risk of incident metabolic syndrome in community-dwelling adults: longitudinal findings over a 12-year follow-up period. Endocrine. (2024) 86:156–62. doi: 10.1007/s12020-024-03875-4
8.
Pinho J Meyer T Schumann-Werner B Becker J Tauber S Nikoubashman O et al . Swallowing muscle mass contributes to post-stroke dysphagia in ischemic stroke patients undergoing mechanical thrombectomy. J Cachexia Sarcopenia Muscle. (2024) 15:1539–48. doi: 10.1002/jcsm.13512
9.
Martino R Foley N Bhogal S Diamant N Speechley M Teasell R . Dysphagia after stroke: incidence, diagnosis, and pulmonary complications. Stroke. (2005) 36:2756–63. doi: 10.1161/01.STR.0000190056.76543.eb
10.
Li X Wu M Zhang J Yu D Wang Y Su Y et al . Post-stroke dysphagia: neurological regulation and recovery strategies. Biosci Trends. (2025) 19:31–52. doi: 10.5582/bst.2025.01029
11.
Jang JH Hong S Ryu JA . Prognostic value of C-reactive protein and albumin in Neurocritically ill patients with acute stroke. J Clin Med. (2022) 11:5067. doi: 10.3390/jcm11175067
12.
Kinoshita S Komamura K Kishimoto T . Financial inclusion and financial gerontology in Japan's aging society. Biosci Trends. (2024) 18:492–4. doi: 10.5582/bst.2024.01220
13.
Masaki S Kawamoto T . Comparison of long-term outcomes between enteral nutrition via gastrostomy and total parenteral nutrition in older persons with dysphagia: a propensity-matched cohort study. PLoS One. (2019) 14:e0217120. doi: 10.1371/journal.pone.0217120
14.
Yang J Chen Y Wan J Li F Yang X Shen B et al . Prognostic value of the C-reactive protein to albumin ratio in patients with stroke: a meta-analysis. Sci Rep. (2025) 15:21150. doi: 10.1038/s41598-025-07327-5
15.
Uluç K Akkütük Öngel E Çolakoğlu ŞM Köylü İlkaya N Devran Ö Küçük A et al . Effects of HALP score, C-reactive protein/albumin ratio, and platelet/lymphocyte ratio on predicting mortality in geriatric patients in the respiratory intensive care unit. Clin Interv Aging. (2025) 20:815–23. doi: 10.2147/CIA.S482214
16.
Guo C Zheng P Chen S Wei L Fu X Fu Y et al . Association between the C-reactive protein/albumin ratio and mortality in older Japanese patients with dysphagia. Front Nutr. (2024) 11:1370763. doi: 10.3389/fnut.2024.1370763
17.
Xu F Bai L Dai Z Cheng H . Research hotspots and trends in post-stroke dysphagia: a bibliometric analysis. Front Neurosci. (2023) 17:1275748. doi: 10.3389/fnins.2023.1275748
18.
Castagna A Ferrara L Asnaghi E Colombo V Rega V Fiorini G . Post-stroke dysphagia rehabilitation in the old and oldest old: outcome and relevance for discharge home. Int J Rehabil Res. (2020) 43:55–61. doi: 10.1097/MRR.0000000000000385
19.
Bustamante A Vilar-Bergua A Guettier S Sánchez-Poblet J García-Berrocoso T Giralt D et al . C-reactive protein in the detection of post-stroke infections: systematic review and individual participant data analysis. J Neurochem. (2017) 141:305–14. doi: 10.1111/jnc.13973
20.
Huang L Zhang R Ji J Long F Wang Y Lu J et al . Hypersensitive C-reactive protein-albumin ratio is associated with stroke-associated pneumonia and early clinical outcomes in patients with acute ischemic stroke. Brain Behav. (2022) 12:e2675. doi: 10.1002/brb3.2675
21.
Kaşikçi HÖ Üçgül Erçin E Karaci R Ülker M Domaç Mayda F . Predictors of pneumonia in stroke patients with dysphagia: A Turkish study. A tüdőgyulladás előrejelzői dysphagiás stroke-betegekben: Egy török tanulmány. Ideggyogy Sz. (2024) 77:341–8. doi: 10.18071/isz.77.0341
Summary
Keywords
C-reactive protein/albumin ratio, dysphagia, elderly population, mortality, stroke
Citation
Wang Z and Wang L (2025) Association between C-reactive protein/albumin ratio and mortality in older Japanese patients with post-stroke dysphagia. Front. Neurol. 16:1648517. doi: 10.3389/fneur.2025.1648517
Received
17 June 2025
Accepted
27 October 2025
Published
21 November 2025
Volume
16 - 2025
Edited by
Piergiorgio Lochner, Saarland University Hospital, Germany
Reviewed by
Naushad Ahmad Khan, Hamad Medical Corporation, Qatar
Neel Patel, Staten Island University Hospital, United States
Updates
Copyright
© 2025 Wang and Wang.
This is an open-access article distributed under the terms of the Creative Commons Attribution License (CC BY). The use, distribution or reproduction in other forums is permitted, provided the original author(s) and the copyright owner(s) are credited and that the original publication in this journal is cited, in accordance with accepted academic practice. No use, distribution or reproduction is permitted which does not comply with these terms.
*Correspondence: Lingling Wang, 79225834@163.com
Disclaimer
All claims expressed in this article are solely those of the authors and do not necessarily represent those of their affiliated organizations, or those of the publisher, the editors and the reviewers. Any product that may be evaluated in this article or claim that may be made by its manufacturer is not guaranteed or endorsed by the publisher.