ORIGINAL RESEARCH article
Front. Neurol.
Sec. Artificial Intelligence in Neurology
This article is part of the Research TopicArtificial Intelligence and Machine Learning approaches for Survival Analysis in Neurological and Neurodegenerative diseasesView all 6 articles
Development and Validation of Explainable Machine Learning Models for Predicting 3-Month Functional Outcomes in Acute Ischemic Stroke: A SHAP-Based Approach
Provisionally accepted- Yixing People's Hospital, Yixing, China
Select one of your emails
You have multiple emails registered with Frontiers:
Notify me on publication
Please enter your email address:
If you already have an account, please login
You don't have a Frontiers account ? You can register here
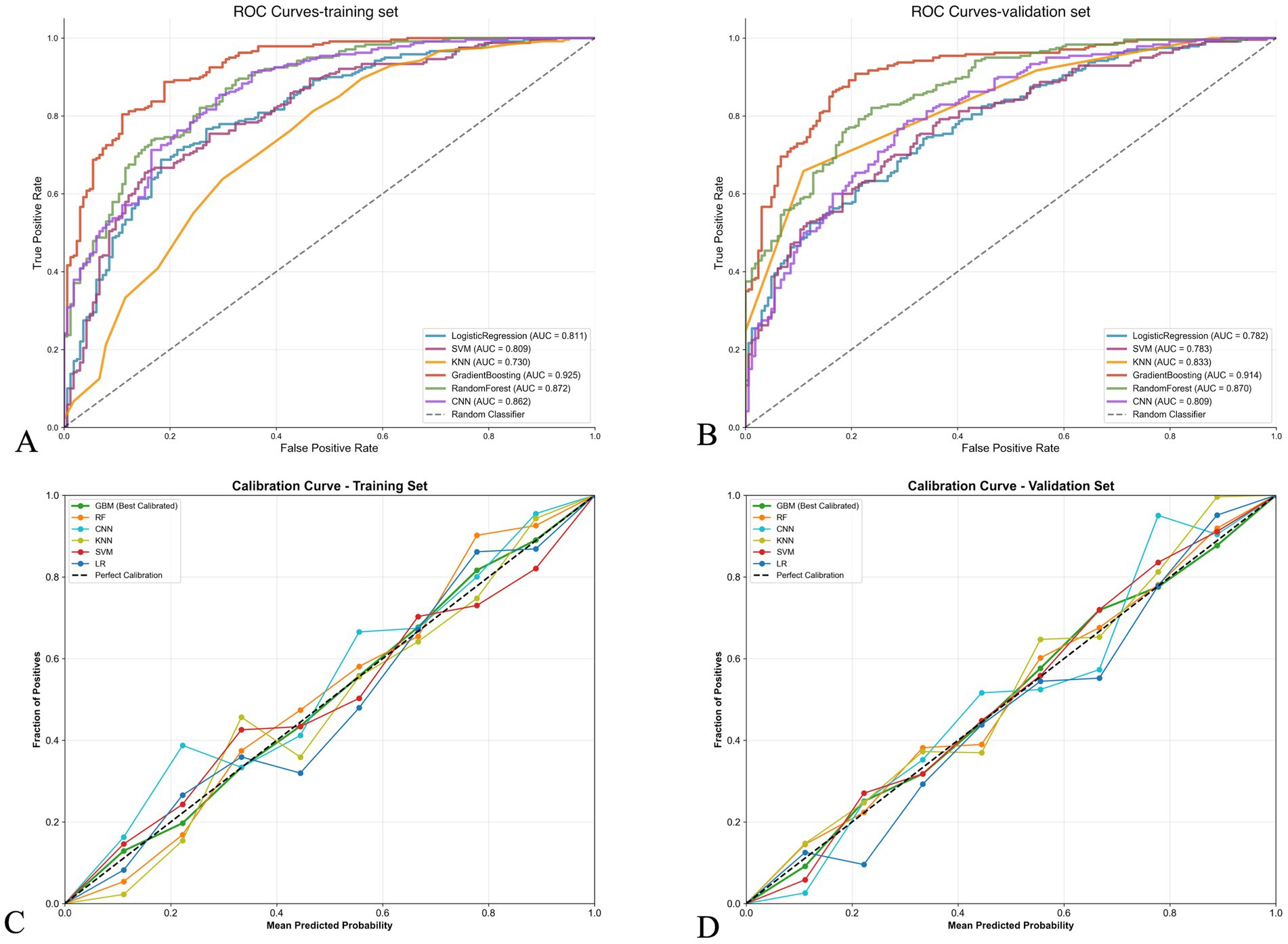
Objective: To develop and validate explainable machine learning models for predicting 3-month functional outcomes in acute ischemic stroke (AIS) patients using SHapley Additive exPlanations (SHAP) framework. Methods: This retrospective cohort study included 538 AIS patients admitted within 72 hours of symptom onset. Patients were randomly divided into training (70%) and validation (30%) sets. Clinical, laboratory, and imaging data were collected. Least Absolute Shrinkage and Selection Operator regression was used for feature selection. Five machine learning models were developed: support vector machine, K-nearest neighbors, random forest, gradient boosting machine (GBM), and convolutional neural network. Model performance was evaluated using area under the receiver operating characteristic curve (AUC), accuracy, sensitivity, and specificity. SHAP analysis was applied to the best-performing model to enhance interpretability. Results: Among 538 patients (mean age 68.5±12.7 years, 58.0% male), 34.2% had poor 3-month outcomes (mRS 3-6). The GBM achieved the best predictive performance with AUC of 0.91, accuracy of 0.81, sensitivity of 0.95, and specificity of 0.61 in validation set, significantly outperforming logistic regression (AUC=0.78). The model demonstrated excellent calibration and superior net benefit in decision curve analysis across threshold probabilities of 0.1-0.7. SHAP analysis identified admission NIHSS score (30.8%), age (14.9%), and ASPECTS ≥7 (13.7%) as the most influential predictors, with neutrophil-to-lymphocyte ratio (10.1%) and platelet distribution width (9.7%) also contributing significantly to outcome prediction. Conclusion: Explainable machine learning models can accurately predict 3-month functional outcomes in AIS patients. The SHAP framework enhances model transparency, addressing interpretability barriers for clinical implementation while maintaining superior predictive performance.
Keywords: Acute ischemic stroke, machine learning, functional outcome, Shap, Explainable artificial intelligence
Received: 03 Aug 2025; Accepted: 18 Nov 2025.
Copyright: © 2025 Chen, Ren, Zong, Xiong and Hong. This is an open-access article distributed under the terms of the Creative Commons Attribution License (CC BY). The use, distribution or reproduction in other forums is permitted, provided the original author(s) or licensor are credited and that the original publication in this journal is cited, in accordance with accepted academic practice. No use, distribution or reproduction is permitted which does not comply with these terms.
* Correspondence: Yu Hong, omcdf12@163.com
Disclaimer: All claims expressed in this article are solely those of the authors and do not necessarily represent those of their affiliated organizations, or those of the publisher, the editors and the reviewers. Any product that may be evaluated in this article or claim that may be made by its manufacturer is not guaranteed or endorsed by the publisher.
