ORIGINAL RESEARCH article
Front. Neurol.
Sec. Autonomic Disorders
Acupuncture and moxibustion in Irritable Bowel Syndrome: A Mechanistic Exploration from Heart Rate Variability to Cardiac Metabolism
Provisionally accepted- 1Hubei University of Chinese Medicine, Wuhan, China
- 2Maternal and Child Health Hospital of Hubei Province, Wuhan, China
Select one of your emails
You have multiple emails registered with Frontiers:
Notify me on publication
Please enter your email address:
If you already have an account, please login
You don't have a Frontiers account ? You can register here
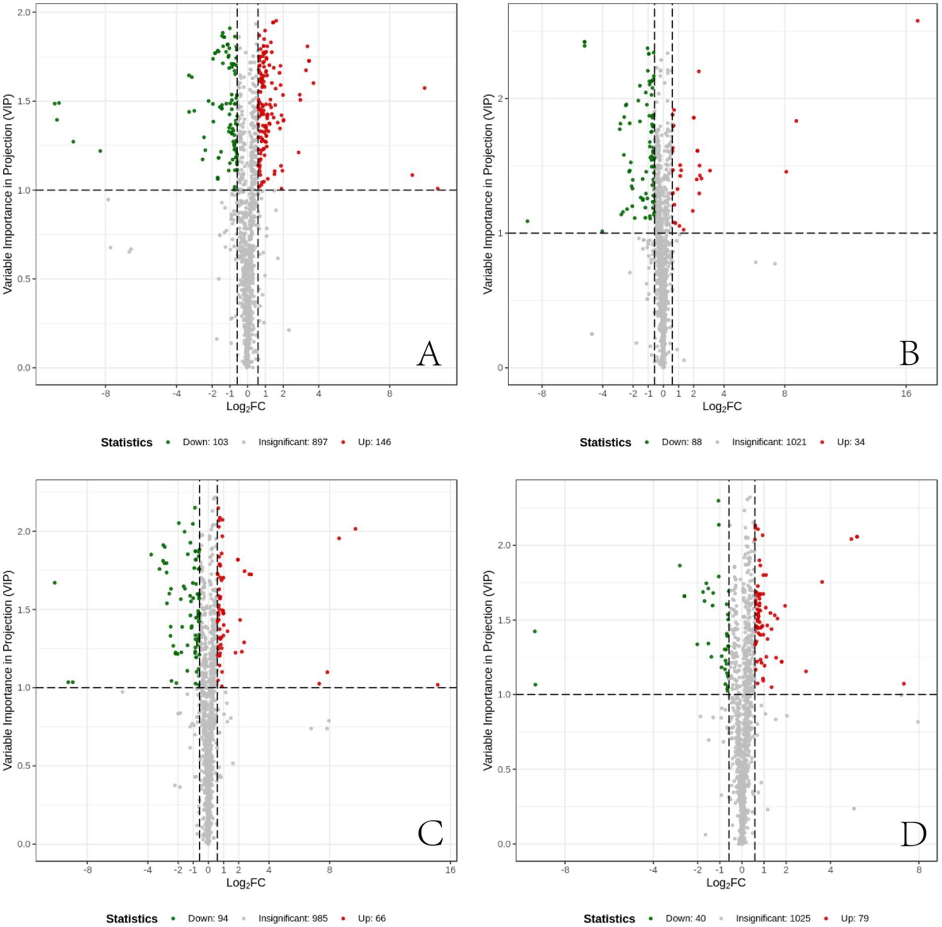
Background: Patients with irritable bowel syndrome (IBS) exhibit abnormal heart rate variability (HRV). While acupuncture and moxibustion have shown therapeutic potential in IBS, the optimal acupoint selection strategy remains to be elucidated, and its effects on HRV and cardiac metabolomics in IBS models are incompletely understood. This study therefore aimed to compare the efficacy of two distinct acupoint protocols, BB (Biao-Ben protocol) and CG (Conventional protocol), in modulating HRV and cardiac metabolomic profiles in a rat model of IBS. Methods: This study established an IBS rat model using chronic and acute stress (CAS). Two acupoint protocols were employed for the intervention of acupuncture combined with moxibustion: the BB group, which adhered to the fundamental Chinese medicine principle of "treating both the root and the branch" by selecting Neiguan (PC6), Guanyuan (CV4), and Zusanli (ST36); and the CG group, which utilized the most frequently used acupoints in clinical practice, namely Tianshu (ST25), Zusanli (ST36), and Shangjuxu (ST37). Visceral pain thresholds were measured by abdominal withdrawal reflexes (AWR). HRV was assessed using the BL-420F biofunctional experimental system. ELISA quantified atrial natriuretic peptide (ANP) and brain natriuretic peptide (BNP) levels in tissues and serum. Cardiac tissue metabolites analyzed through widely-targeted metabolomics and pathway enrichment performed via KEGG database. Result: Both BB and CG acupoint combinations significantly alleviated visceral pain thresholds in IBS rats. The BB protocol demonstrated superior efficacy in improving HRV parameters and regulating ANP and BNP levels in both serum and cardiac tissue. Metabolomic results revealed elevated concentrations of adenosine diphosphate (ADP), kynurenine, and kynurenic acid in the model group compared to the control, indicating disruptions in cardiac energy metabolism and inflammation-driven aberrations in tryptophan metabolism in IBS rats. The BB group exhibited downregulation of these metabolites. Conclusion: The BB acupoint combination may improve heart rate variability via autonomic nervous regulation, leading to the amelioration of cardiac energy metabolism and inflammation-driven tryptophan metabolic disorders.
Keywords: Irritable Bowel Syndrome, Acupuncture, Moxibustion, Heart rate variability, Autonomic Nervous System
Received: 30 Sep 2025; Accepted: 25 Nov 2025.
Copyright: © 2025 Wu, Qiu, Liang, Lu, Fu and Wu. This is an open-access article distributed under the terms of the Creative Commons Attribution License (CC BY). The use, distribution or reproduction in other forums is permitted, provided the original author(s) or licensor are credited and that the original publication in this journal is cited, in accordance with accepted academic practice. No use, distribution or reproduction is permitted which does not comply with these terms.
* Correspondence:
Yimeng Fu
Song Wu
Disclaimer: All claims expressed in this article are solely those of the authors and do not necessarily represent those of their affiliated organizations, or those of the publisher, the editors and the reviewers. Any product that may be evaluated in this article or claim that may be made by its manufacturer is not guaranteed or endorsed by the publisher.
