ORIGINAL RESEARCH article
Front. Soil Sci.
Sec. Pedometrics
Mapping Soil Salinity Using Machine Learning and Remote Sensing Data in Semi-Arid Croplands
Provisionally accepted- 1Mohammed VI Polytechnic University (UM6P), Ben Guerir, 43150, Morocco
- 2Faculty of Sciences, Ibn Zohr University, Agadir, 80035, Morocco
- 3Hassan II Institute of Agronomy and Veterinary Medicine,, Rabat, Morocco
- 4Hassan II Institute of Agronomy and Veterinary Medicine, Rabat, Morocco
- 5Ibn Zohr University, Agadir, 80035, Morocco
Select one of your emails
You have multiple emails registered with Frontiers:
Notify me on publication
Please enter your email address:
If you already have an account, please login
You don't have a Frontiers account ? You can register here
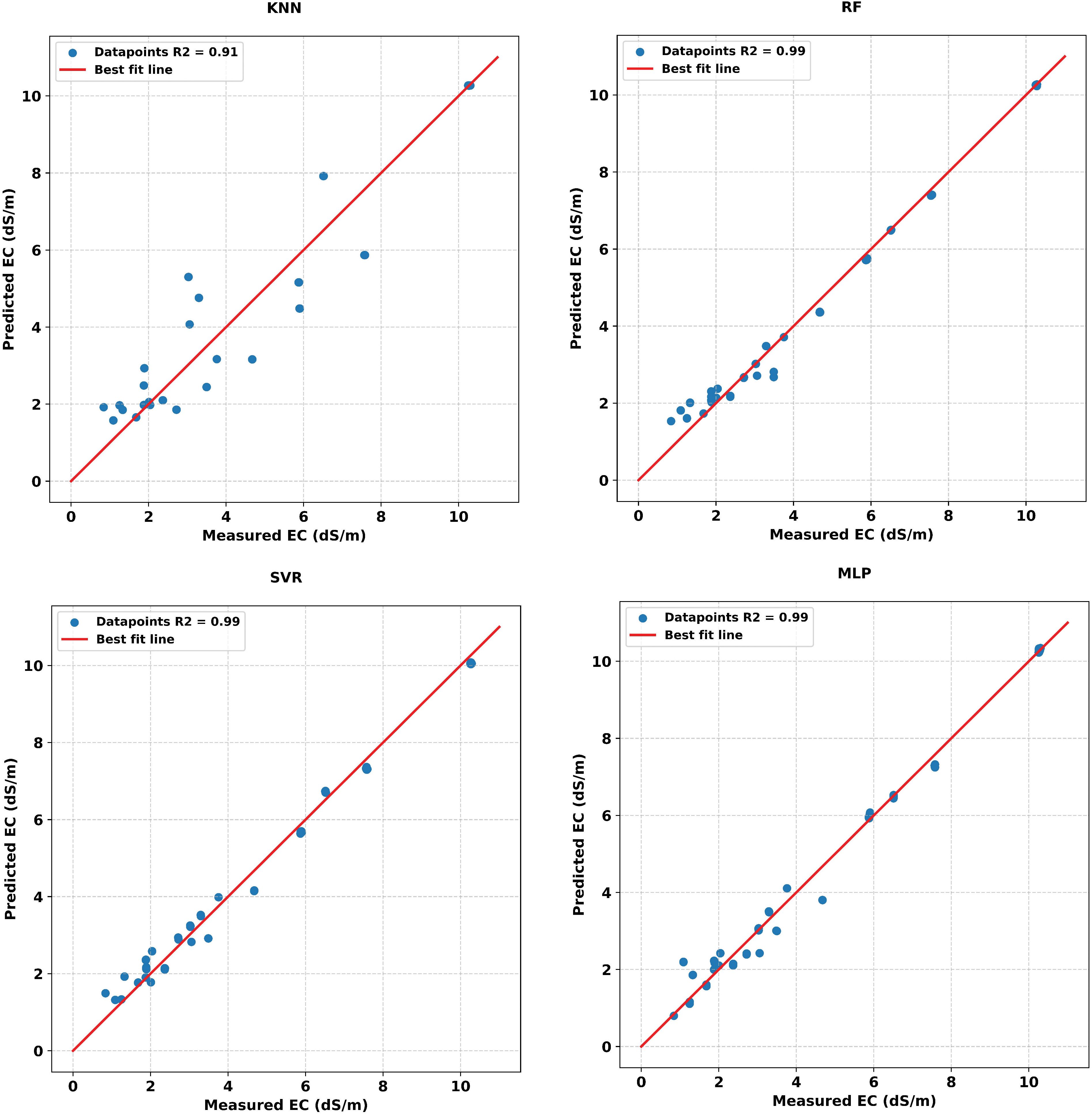
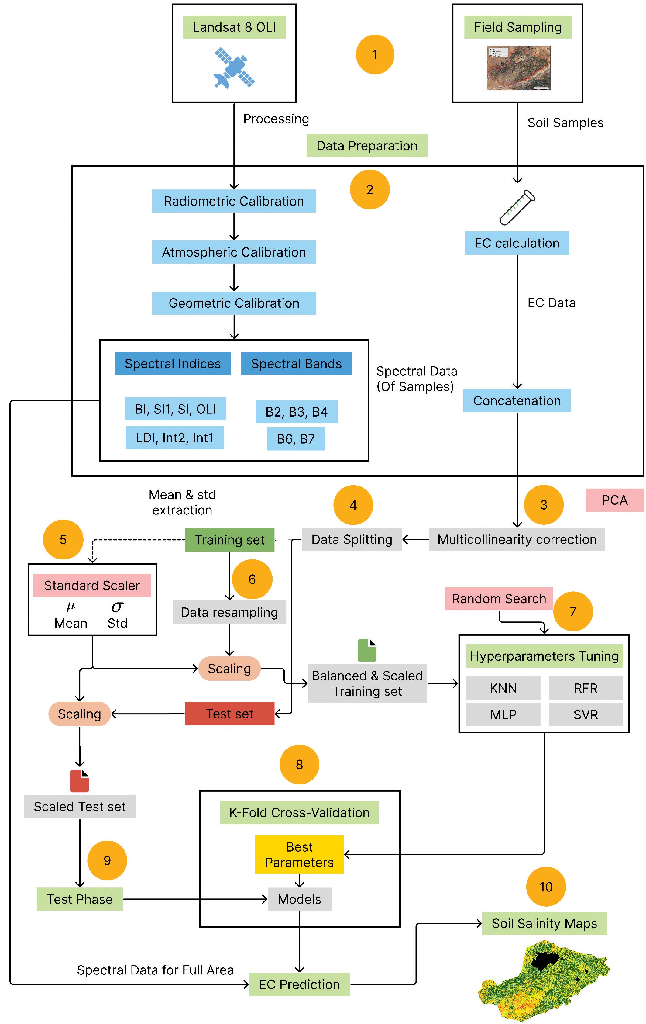
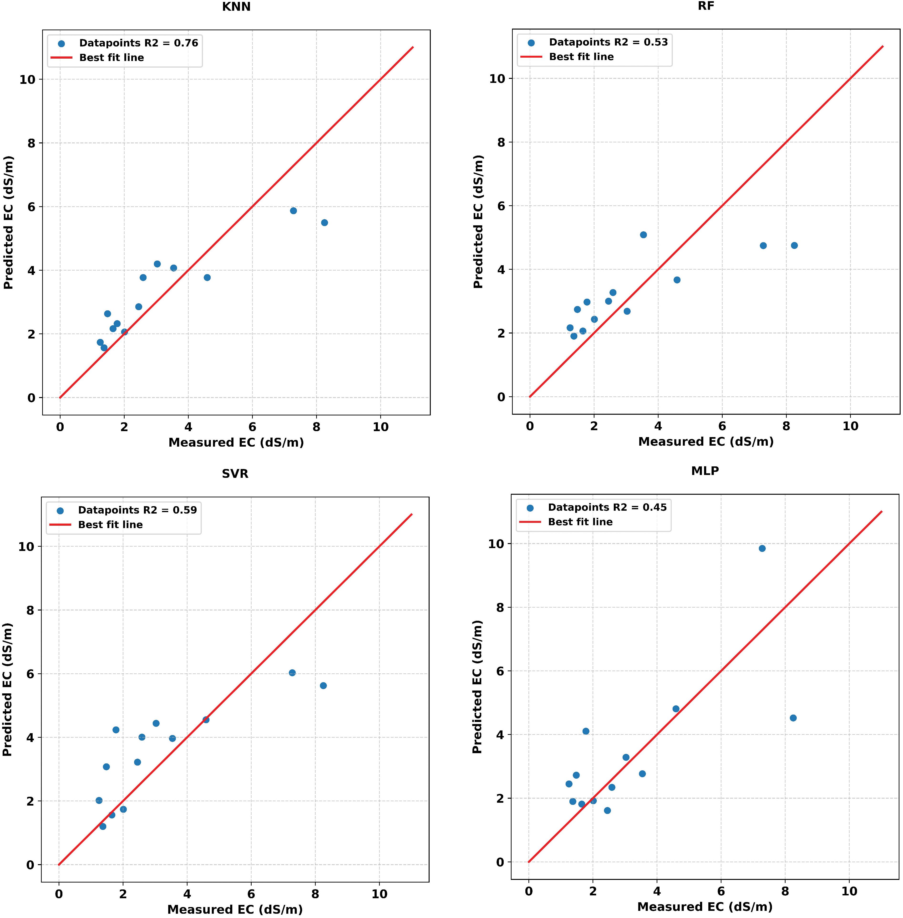
Soil salinity significantly constrains agricultural productivity and land sustainability, particularly in irrigated areas. While, remote sensing offers large-scale monitoring capacity, but its accuracy depends on how effectively spectral information is integrated with advanced modeling approaches. This study evaluates the performance of a combined approach based on machine learning (ML) algorithms and satellite-derived predictors for soil salinity mapping in the Béni Amir Sub-perimeter of Tadla plain, Morocco. A total of 43 topsoil samples (0-10 cm) were collected and analyzed for electrical conductivity (ECe) and resampled to 144 samples for model training and testing. Predictor Variables were derived from Landsat-8 OLI data, including salinity indices (OLI-SI, SI, SI1), intensity indices (Int1, Int2), brightness index (BI), land degradation index (LDI), and reflectance values of selected spectral bands (B2-B7) were standardized and transformed with PCA to address multicollinearity. Four ML algorithms, Random Forest (RF), K-Nearest Neighbors (KNN), Support Vector Regressor (SVR), and Multi-Layer Perceptron (MLP) were tested. The results show that the Ece ranges from 0.84 to 10.28 dS/m with a standard deviation of 2.29 dS/m, indicating substantial salinity variability across the Béni Amir sub-perimeter. Individual predictors exhibited moderate correlation with Ece (R=0.34-0.72). Among the applied models, KNN achieved the highest accuracy (mean coefficient of determination (R²) = 0.75 [0.73-0.77]; Root Mean Square Error (RMSE) = 0.61 dS/m). The resulting maps revealed a consistent southwestward increase in salinity, following the regional hydraulic flow. KNN classified 49% of the area as moderately saline, 22% as slightly saline, and 20% as non-saline, while the strongly and extremely saline classes covered 8.4% and 0.6%, respectively. RF, SVR, and MLP showed comparable trends, with moderately saline areas ranging between 30-41% and strongly to extremely saline soils below 10%. These findings demonstrated that combining satellite-derived data with ML enables a reliable assessment of soil salinity, supporting management of irrigated agroecosystems.
Keywords: Soil salinity mapping, machine learning, remote sensing, Morocco, Agriculture
Received: 25 Jun 2025; Accepted: 06 Nov 2025.
Copyright: © 2025 Chaaou, Ait-Ichou, Hachemy, Chikhaoui, Naimi, Hssaisoune, El Hafyani, Ait Brahim and Bouchaou. This is an open-access article distributed under the terms of the Creative Commons Attribution License (CC BY). The use, distribution or reproduction in other forums is permitted, provided the original author(s) or licensor are credited and that the original publication in this journal is cited, in accordance with accepted academic practice. No use, distribution or reproduction is permitted which does not comply with these terms.
* Correspondence: Abdelwahed Chaaou, abdelwahed.chaaou-ext@um6p.ma
Disclaimer: All claims expressed in this article are solely those of the authors and do not necessarily represent those of their affiliated organizations, or those of the publisher, the editors and the reviewers. Any product that may be evaluated in this article or claim that may be made by its manufacturer is not guaranteed or endorsed by the publisher.
