ORIGINAL RESEARCH article
Front. Soil Sci.
Sec. Plant-Soil Interactions
This article is part of the Research TopicAdvances in the Plant-Soil Interaction Under Saline ConditionView all 4 articles
Effects of Graphene oxide plus external bacterial agents accelerate poplar leaf-litter decomposition in saline–alkali soil
Provisionally accepted- 1School of Coal Engineering Shanxi Datong University, Datong, China
- 2Shanxi Datong University, Datong, China
Select one of your emails
You have multiple emails registered with Frontiers:
Notify me on publication
Please enter your email address:
If you already have an account, please login
You don't have a Frontiers account ? You can register here
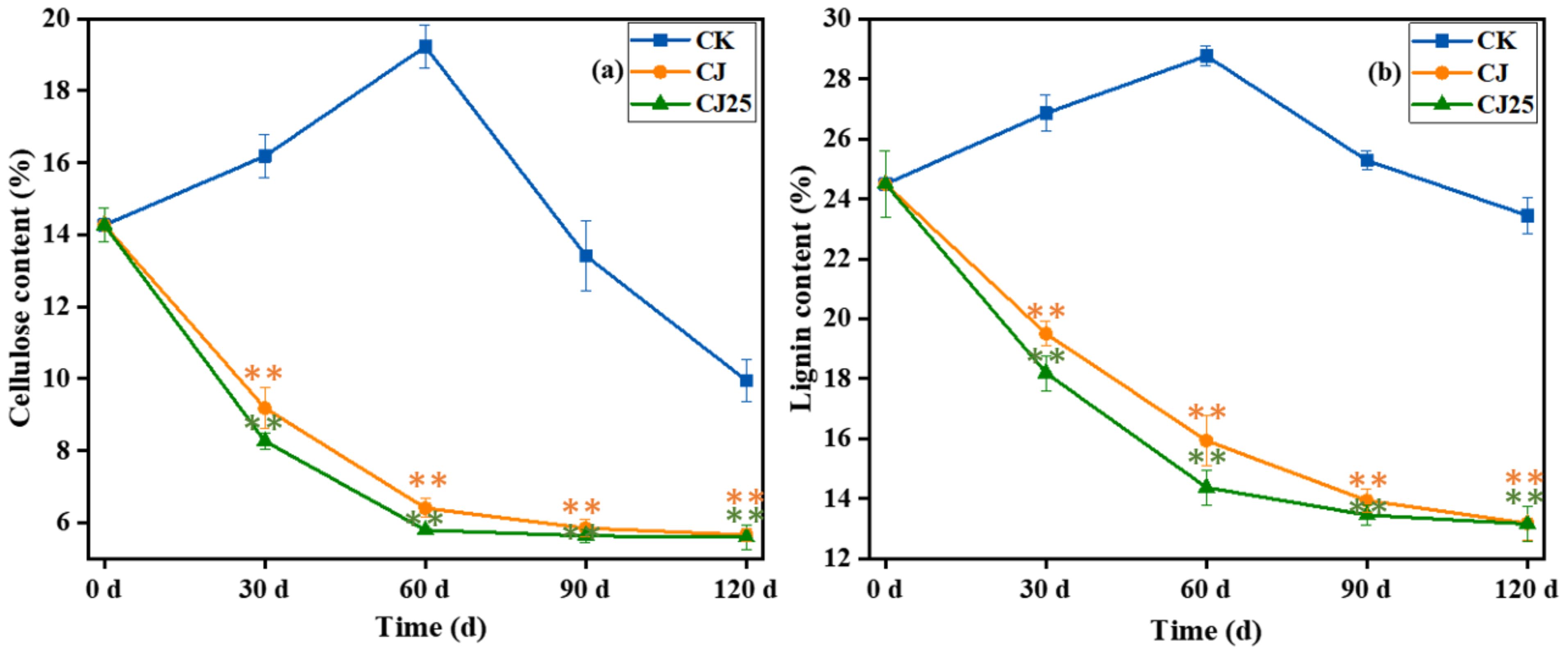
Poplar trees and saline-alkali soil occur in northern China, especially around the Datong district in north Shanxi. To utilize this kind of soil, it is important to know how to neutralize saline-alkali soil and understand how poplar leaves decompose in saline-alkali soil media. Graphene oxide (GO) is widely known for its effect on improving the soil nutrient contents, liking soils of agriculture and forestry. Here we examined of the effect of graphene oxide composite plus the addition of external bacterial agents on the decomposition of poplar leaves in saline-alkali soil media. A litterbag method was used, and the content analysis was conducted of both from residue of litter and the used for decomposed soil at different sampling time. Overall, the contents of humus from the leaf litter decomposed soil gradually increase over time. Meanwhile the total nitrogen, phosphorus, ammonium nitrogen, available pzhihuotassium, and most of the phosphorus content showed a trend of first slightly decreasing and then gradually increasing. Nutrient concentrations, as well as that of humus in the soil reach their maximum after 120 days with the addition of both optimized amounts of 25.0 mg/L GO and of microbial agents. We concluded that combination GO and microbial agents promote soil enzyme activity and accelerate litter decomposition with the highest enzyme activity when both 25.0 mg/L GO and bacteria are present in the saline-alkali soil.
Keywords: graphene oxide, litter, decomposition, Poplar leaves, Saline-alkali soil, externalbacterial agents, Microbial agents, enzyme
Received: 29 Aug 2025; Accepted: 28 Nov 2025.
Copyright: © 2025 Ma, Qiao, liu, He, Chen and Zhao. This is an open-access article distributed under the terms of the Creative Commons Attribution License (CC BY). The use, distribution or reproduction in other forums is permitted, provided the original author(s) or licensor are credited and that the original publication in this journal is cited, in accordance with accepted academic practice. No use, distribution or reproduction is permitted which does not comply with these terms.
* Correspondence:
Guibin Ma
Xiaokang Chen
Jianguo Zhao
Disclaimer: All claims expressed in this article are solely those of the authors and do not necessarily represent those of their affiliated organizations, or those of the publisher, the editors and the reviewers. Any product that may be evaluated in this article or claim that may be made by its manufacturer is not guaranteed or endorsed by the publisher.
