ORIGINAL RESEARCH article
Front. Soil Sci.
Sec. Soil Management
Enhancing soil health and tobacco productivity with different organic amendments: evidences from a 7-year field experiment
Provisionally accepted- 1Chinese Academy of Agricultural Sciences Institute of Environment and Sustainable Development in Agriculture, Beijing, China
- 2Lijiang Branch of Yunnan Provincial Tobacco, Lijiang, China
- 3Yunnan Academy of Tobacco Agricultural Sciences, Yunnan, China
- 4Yangtze University, Jingzhou, China
- 5Hunan Agricultural University, Changsha, China
Select one of your emails
You have multiple emails registered with Frontiers:
Notify me on publication
Please enter your email address:
If you already have an account, please login
You don't have a Frontiers account ? You can register here
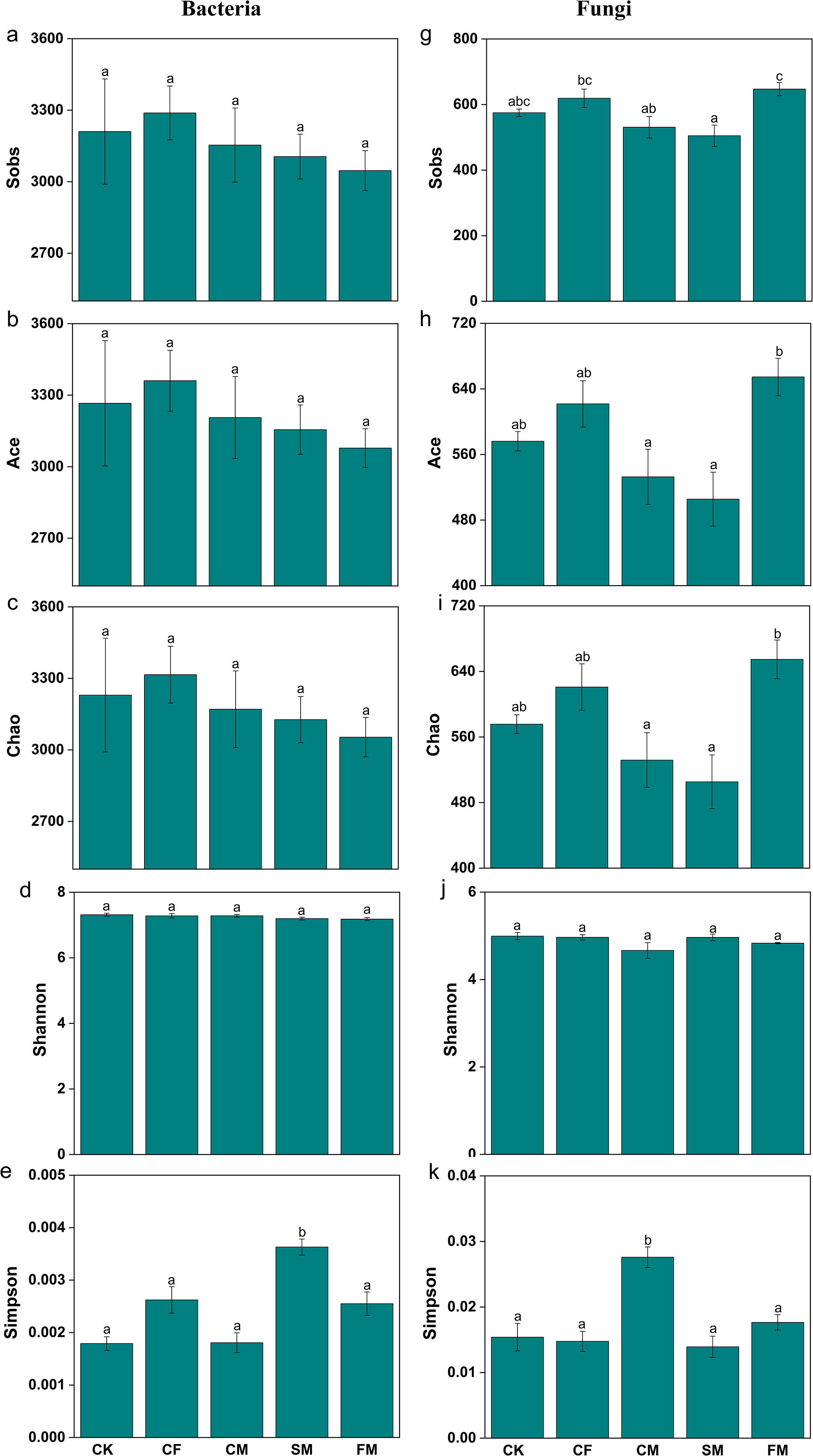
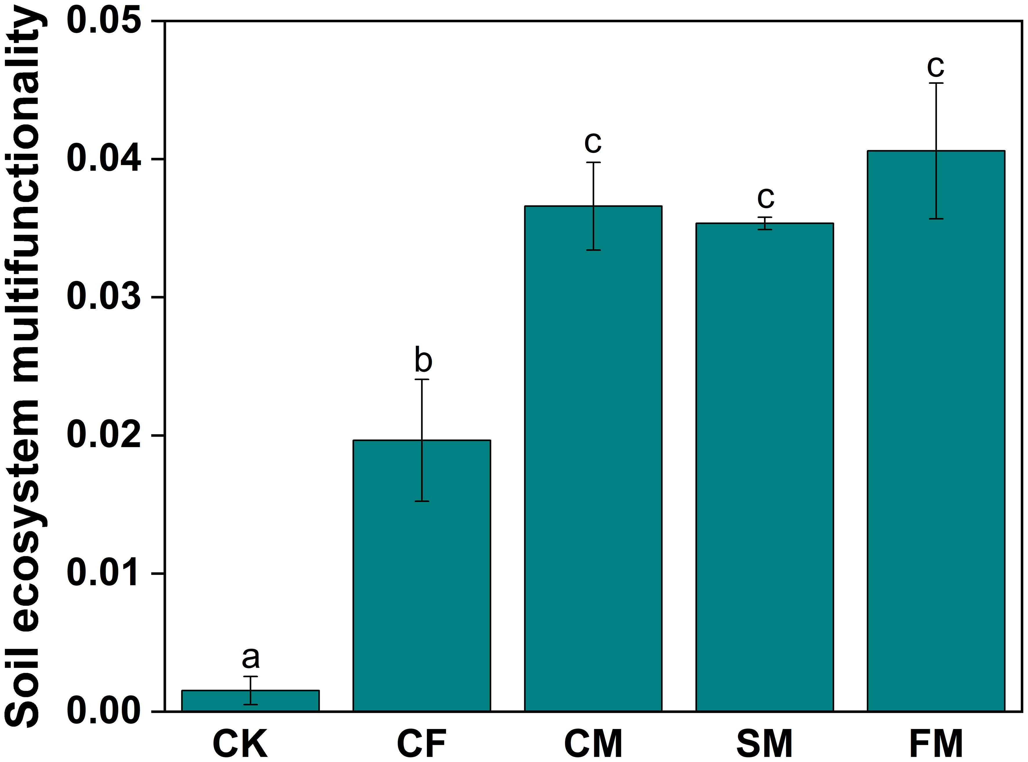
Long-term organic fertilization is widely advocated to counteract soil fertility decline and nutrient imbalances in tobacco cropping systems. However, systematic research comprehensively evaluating the long-term influences of different organic fertilizers on soil physicochemical properties, enzyme activity, microbial diversity, tobacco yield and quality remains limited. A 7-year field study compared the long-term impacts of chemical fertilizer (CF), manure (CM), straw mulching (SM), farmyard compost of manure and straw (FM) on soil health and tobacco productivity. The soil quality index (SQI) under CM, SM, and FM treatments was 18.2%, 11.9%, and 20.7% higher, respectively, than that CF treatment. Similarly, CM, SM, and FM treatments increased soil ecosystem multifunctionality (EMF) by 86.3%, 80.0% and 106.7%, respectively. CM, SM, and FM treatments increased microbial diversity index by 4.7%, 1.5% and 7.0%, respectively. CM, SM, and FM treatments increased soil health index by 13.2%, 1.7% and 18.6%, respectively, through concurrent improvements in SQI, EMF, and microbial diversity index. Furthermore, CM, SM, and FM treatments not only increased tobacco yield by 6.5%, 2.8%, 12.9%, respectively, but also significantly enhanced the proportion of premium-grade leaves by 17.8%, 3.2%, and 28.5%, respectively. Overall, farmyard compost of manure and straw maximized the concurrent gains in soil health and tobacco yield/quality. Consequently, farmyard compost of manure and straw application emerges as the single most effective strategy to concurrently maintain soil health and attain high-yield, high-quality tobacco.
Keywords: soil quality index, Ecosystem multifunctionality, Microbial Diversity, organic fertilizer, tobacco yield, proportion of premium-grade leaves
Received: 04 Sep 2025; Accepted: 20 Nov 2025.
Copyright: © 2025 Yang, He, Li, Wang, Tong, Zhu, Xiao, Deng and Wang. This is an open-access article distributed under the terms of the Creative Commons Attribution License (CC BY). The use, distribution or reproduction in other forums is permitted, provided the original author(s) or licensor are credited and that the original publication in this journal is cited, in accordance with accepted academic practice. No use, distribution or reproduction is permitted which does not comply with these terms.
* Correspondence: Bin Wang, wangbin01@caas.cn
Disclaimer: All claims expressed in this article are solely those of the authors and do not necessarily represent those of their affiliated organizations, or those of the publisher, the editors and the reviewers. Any product that may be evaluated in this article or claim that may be made by its manufacturer is not guaranteed or endorsed by the publisher.
