ORIGINAL RESEARCH article
Front. Surg.
Sec. Obstetrics and Gynecological Surgery
This article is part of the Research TopicInnovations and Challenges in Surgical EducationView all 14 articles
Predicting the risk of endometriosis in Chinese infertile women: Development and assessment of a predictive nomogram
Provisionally accepted- 1People's Hospital of Zhengzhou University, Zhengzhou, China
- 2Henan Provincial People's Hospital, Zhengzhou, Henan Province, China
Select one of your emails
You have multiple emails registered with Frontiers:
Notify me on publication
Please enter your email address:
If you already have an account, please login
You don't have a Frontiers account ? You can register here
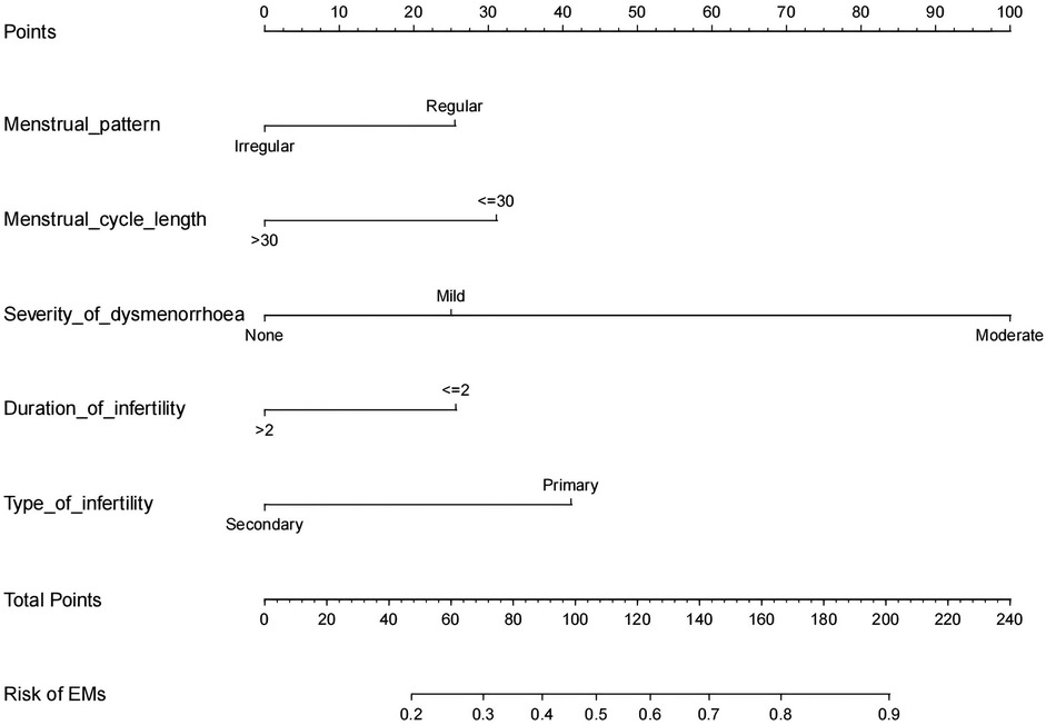
Purpose: This study aimed to establish a risk prediction model of endometriosis in infertile women and verify the model. Methods: A retrospective study was made of 140 infertile women hospitalized at Henan Provincial People's Hospital between January 2018 and May 2024. They were divided into the Endometriosis group (EMs) and the No Endometriosis group (No-EMs). The baseline characteristics of the two groups were compared. The least absolute shrinkage and selection operator(LASSO) regression model was utilized to optimize feature selection. Subsequently, logistic regression(LR) analysis was utilized to formulate a predictive model that integrated the selected features. The discrimination and calibration of the predictive model were evaluated using the C-index and calibration plot. Internal validation was conducted using bootstrapping methods. Results: The LASSO regression model identified five feature selections: menstrual pattern, menstrual cycle length, severity of dysmenorrhea, duration of infertility, and type of infertility. LR analysis revealed that the severity of dysmenorrhea (OR = 10.278, 95%CI = 2.372 - 73.400, P = 0.005) and the type of infertility (OR = 2.604, 95%CI=1.247 - 5.563, P = 0.012) emerged as independent risk factors for EMs in infertile women. The model displayed good discrimination with a C-index of 0.743 (95%CI = 0.660 - 0.826)and good calibration. Internal validation through the Bootstrap method confirmed a high C-index value of 0.709. Conclusion: The development of Nomogram prediction models offers significant clinical predictive utility in evaluating the risk of EMs among infertile women. It equips clinicians with rational treatment strategies and novel perspectives for managing infertile women.
Keywords: Endometriosis, Infertility, LASSO, nomogram, Prediction model
Received: 08 Dec 2024; Accepted: 11 Nov 2025.
Copyright: © 2025 Wang, Li, Zhu, Li, Wang and Liu. This is an open-access article distributed under the terms of the Creative Commons Attribution License (CC BY). The use, distribution or reproduction in other forums is permitted, provided the original author(s) or licensor are credited and that the original publication in this journal is cited, in accordance with accepted academic practice. No use, distribution or reproduction is permitted which does not comply with these terms.
* Correspondence: Huili Liu, 1438563650@qq.com
Disclaimer: All claims expressed in this article are solely those of the authors and do not necessarily represent those of their affiliated organizations, or those of the publisher, the editors and the reviewers. Any product that may be evaluated in this article or claim that may be made by its manufacturer is not guaranteed or endorsed by the publisher.
