ORIGINAL RESEARCH article
Front. Surg.
Sec. Visceral Surgery
This article is part of the Research TopicExploring kidney pathology in transplantation: Spotlight on non-neoplastic conditions and DCD donor qualityView all 4 articles
Development of a Risk Prediction Model for Acute Kidney Injury in Liver Transplant Recipients
Provisionally accepted- 1The Second Affiliated Hospital of Guilin Medical University, Guilin, China
- 2Department of Anesthesiology, The First Affiliated Hospital, Sun Yat-Sen University, Guangzhou, China
- 3Neurobiology of Pain Research Group, Institute of Neurosciences, School of Medicine, University of Barcelona, Barcelona, Spain
- 4The Second Affiliated Hospital of Hainan Medical University, Haikou, China
- 5Department of Anesthesiology, The Affiliated Changde Hospital, Hengyang Medical School, University of South China,Hengyang421002,China, Hengyang, China
Select one of your emails
You have multiple emails registered with Frontiers:
Notify me on publication
Please enter your email address:
If you already have an account, please login
You don't have a Frontiers account ? You can register here
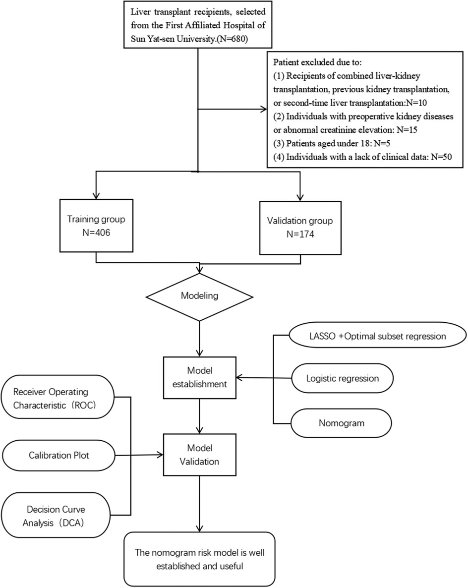
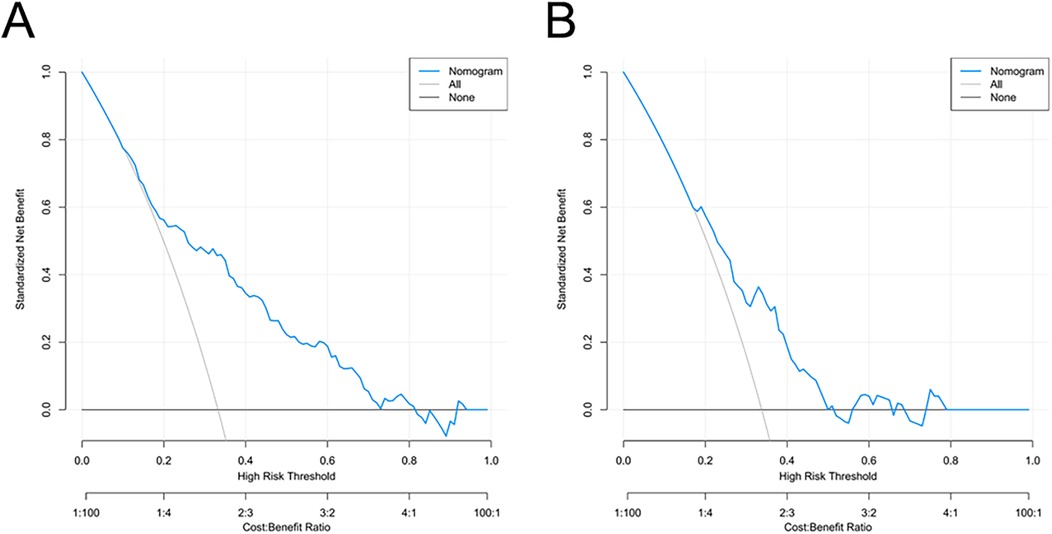
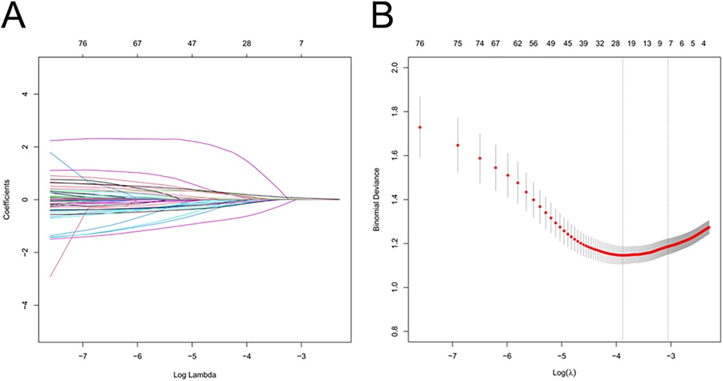
Objective: To develop and internally validate a nomogram for early postoperative prediction of acute kidney injury (AKI) within 7 days after orthotopic liver transplantation (LT).. Methods:We retrospectively analyzed 500 orthotopic liver transplants at the First Affiliated Hospital of Sun Yat-sen University (January 1, 2016–April 30, 2022). Patients were randomly split into training (n=352) and validation (n=148) cohorts for same-center internal validation using a random-split design. AKI within 7 postoperative days was defined by KDIGO serum-creatinine criteria only (KDIGO-SCr) because urine-output data were incomplete. Candidate predictors were screened using least absolute shrinkage and selection operator (LASSO) and entered into multivariable logistic regression to build a parsimonious nomogram for early postoperative (first 6–12 hours) risk stratification and monitoring. Performance was assessed by AUC and calibration; decision-curve analysis illustrated relative net benefit without prespecified thresholds or actions.. Results: BMI, operation time, intraoperative urine volume, and postoperative levels of urea nitrogen, blood ammonia, and procalcitonin were identified as independent risk factors for AKI after LT (P < 0.05). The nomogram demonstrated good discrimination, calibration, and clinical usefulness in both the training and validation cohorts, with an AUC of 0.769 (95% CI: 0.715–0.823) in the training cohort and 0.704 (95% CI: 0.618–0.790) in the validation cohort. Conclusion: The nomogram predictive model developed in this study shows good accuracy and can be conveniently applied for early identification and risk prediction of acute kidney injury following liver transplantation.
Keywords: Liver Transplantation, Acute Kidney Injury, Risk factors, nomogram, predictive model
Received: 11 Aug 2025; Accepted: 29 Oct 2025.
Copyright: © 2025 Wang, Chen, Tang, Xiao, Xu and Deng. This is an open-access article distributed under the terms of the Creative Commons Attribution License (CC BY). The use, distribution or reproduction in other forums is permitted, provided the original author(s) or licensor are credited and that the original publication in this journal is cited, in accordance with accepted academic practice. No use, distribution or reproduction is permitted which does not comply with these terms.
* Correspondence: Jiehua Deng, jennadeng_94@163.com
Disclaimer: All claims expressed in this article are solely those of the authors and do not necessarily represent those of their affiliated organizations, or those of the publisher, the editors and the reviewers. Any product that may be evaluated in this article or claim that may be made by its manufacturer is not guaranteed or endorsed by the publisher.
