ORIGINAL RESEARCH article
Front. Surg.
Sec. Obstetrics and Gynecological Surgery
This article is part of the Research Topic10th Anniversary of Frontiers in Surgery: Celebrating Progress and Envisioning the Future of Multidisciplinary SurgeryView all 22 articles
Clinical Utility of the PBAC Score in Quantifying Treatment Response to Hysteroscopy: A Retrospective Observational Study
Provisionally accepted- 1Akdeniz University, Antalya, Türkiye
- 2Akdeniz Universitesi Hastanesi, Antalya, Türkiye
- 3Akdeniz Universitesi, Antalya, Türkiye
Select one of your emails
You have multiple emails registered with Frontiers:
Notify me on publication
Please enter your email address:
If you already have an account, please login
You don't have a Frontiers account ? You can register here
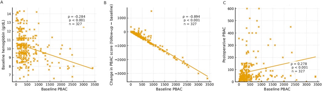
Objective To evaluate the clinical utility of the Pictorial Blood Loss Assessment Chart (PBAC) as a quantitative tool for measuring treatment response in patients undergoing hysteroscopy for abnormal uterine bleeding (AUB), and to examine its correlation with changes in hemoglobin levels, endometrial thickness, and patient satisfaction. Materials and Methods This retrospective study included 327 patients who underwent hysteroscopy for AUB between January 2021 and January 2024 at a tertiary care center. Patients with incomplete records, inadequate follow-up, technically unsuccessful procedures, concurrent major surgeries, or endometrial cancer were excluded. Postoperative menstrual bleeding was assessed using the Pictorial Blood Loss Assessment Chart (PBAC). Data were analyzed using SPSS version 26, and p < 0.05 was considered statistically significant. Results Of the 327 patients included in the study, 91.1% had a baseline PBAC score ≥100, which significantly decreased following hysteroscopy (mean reduction: 393 points; p < .001). Postoperative Hemoglobin (Hb) levels and Endometrial Thickness (ET) also improved significantly in patients with high initial bleeding scores. Overall complication rate was low (6.4%), and 87% of patients reported satisfaction and willingness to recommend the procedure. McNemar analysis confirmed a significant shift from high to low bleeding severity postoperatively (p < .001). Conclusions Hysteroscopy demonstrated clinical efficacy in the management of abnormal uterine bleeding. Assessment using the PBAC score provided a feasible and informative method for quantifying treatment response, supporting its role as a valuable tool in the objective evaluation of bleeding outcomes.
Keywords: Pictorial Blood Loss Assessment Chart (PBAC), Hysterscopy, Abnormal Uterin Bleeding, minimally invasive surgery, Paitent Satisfaction
Received: 12 Aug 2025; Accepted: 11 Nov 2025.
Copyright: © 2025 Öz, Dinç, Öğüt, Arıkan, Doğan, Özekinci and Mendilcioğlu. This is an open-access article distributed under the terms of the Creative Commons Attribution License (CC BY). The use, distribution or reproduction in other forums is permitted, provided the original author(s) or licensor are credited and that the original publication in this journal is cited, in accordance with accepted academic practice. No use, distribution or reproduction is permitted which does not comply with these terms.
* Correspondence: Ömer Faruk Öz, dromerfarukoz@gmail.com
Disclaimer: All claims expressed in this article are solely those of the authors and do not necessarily represent those of their affiliated organizations, or those of the publisher, the editors and the reviewers. Any product that may be evaluated in this article or claim that may be made by its manufacturer is not guaranteed or endorsed by the publisher.
