ORIGINAL RESEARCH article
Front. Surg.
Sec. Surgical Oncology
This article is part of the Research TopicRedefining Care: Integrating Surgical Innovations and Precision Medicine in Breast Cancer TreatmentView all 7 articles
Defining the Optimal Ki67 Cutoff Values for Survival Prediction in Neoadjuvant Chemotherapy-Treated Patients with Breast Cancer
Provisionally accepted- 1Shengjing Hospital of China Medical University, Shenyang, China
- 2Panjin Central Hospitl, Panjin, China
- 3People's Hospital of Liaoning Province, Shenyang, China
- 4Liaoning Cancer Hospital and Institute, Shenyang, China
- 5China Medical University, Shenyang, China
- 6University of Kentucky, Lexington, United States
- 7Panjin Central Hospital, Panjin, China
- 8Markey Cancer Center, Lexington, United States
Select one of your emails
You have multiple emails registered with Frontiers:
Notify me on publication
Please enter your email address:
If you already have an account, please login
You don't have a Frontiers account ? You can register here
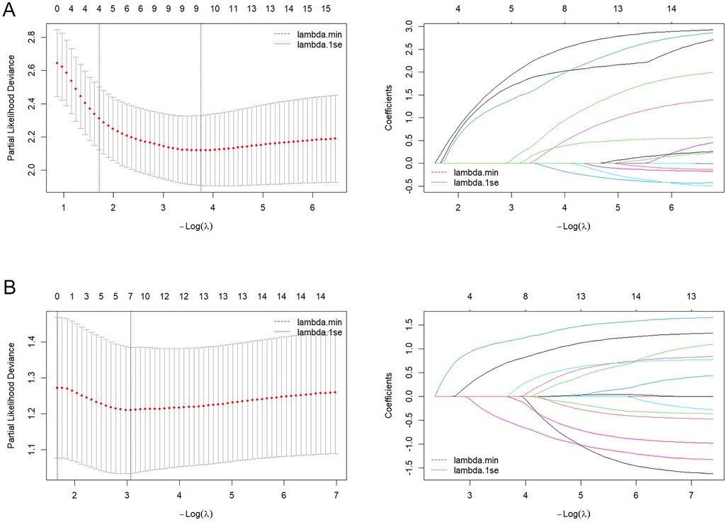
Background: The rising incidence of breast cancer underscores the need for precise prognostic assessment following neoadjuvant chemotherapy (NAC). Ki67 is widely utilized for prognostic evaluation. However, its clinical applicability remains debated, particularly regarding the optimal cutoff threshold. This study aims to establish the optimal Ki67 cutoff value and evaluate its prognostic significance in predicting survival outcomes in patients with breast cancer undergoing NAC. Methods: A retrospective analysis was performed on 255 patients with breast cancer who received NAC between 2011 and 2024. The optimal Ki67 cutoff value was determined using maximally selected rank statistics. Kaplan–Meier survival analysis was used to evaluate the impact of Ki67 on disease-free survival (DFS) and overall survival (OS). Prognostic variables were selected via Cox regression analysis combined with LASSO dimensionality reduction. Based on these findings, nomogram models incorporating Ki67 and other clinical parameters were constructed to predict 1-year, 3-year, and 5-year DFS and OS, and the models were subsequently evaluated. Results: As a continuous variable, Ki67 presented an increasing and non-linear association with the risk of DFS. Using 20% as the threshold, survival analysis indicated that patients with a high Ki67 proliferation index (Ki67 > 20%) had significantly shortened DFS and OS compared to those with low Ki67 proliferation index. Cox regression analysis also confirmed that Ki67 was a common independent prognostic predictor for both DFS and OS. The nomogram model integrating Ki67, T stage, N stage, and other clinical parameters exhibited strong predictive performance, with the area under the curve (AUC) exceeding 0.900 at all-time points. Calibration plot further validated the model’s accuracy, with a C-index of 0.894 for DFS and 0.788 for OS. Conclusions: A Ki67 cutoff of 20% serves as a reliable predictor of DFS and OS in patients with breast cancer receiving NAC. The developed nomogram models, incorporating Ki67 and other clinical parameters, provide an accurate and clinically valuable tool for individualized prognostic assessment.
Keywords: Ki67 proliferation index, breast cancer, Neoadjuvant chemotherapy, prognosis, nomogram, Cutoff value
Received: 03 Sep 2025; Accepted: 24 Oct 2025.
Copyright: © 2025 Jiang, Zhu, Zong, Liu, Du, Dai, Song, Zhang, Wang, Shi, Jiang, Bu, Ding and Zhu. This is an open-access article distributed under the terms of the Creative Commons Attribution License (CC BY). The use, distribution or reproduction in other forums is permitted, provided the original author(s) or licensor are credited and that the original publication in this journal is cited, in accordance with accepted academic practice. No use, distribution or reproduction is permitted which does not comply with these terms.
* Correspondence: Xudong Zhu, xudongzhu@uky.edu
Disclaimer: All claims expressed in this article are solely those of the authors and do not necessarily represent those of their affiliated organizations, or those of the publisher, the editors and the reviewers. Any product that may be evaluated in this article or claim that may be made by its manufacturer is not guaranteed or endorsed by the publisher.
