BRIEF RESEARCH REPORT
Published on 03 May 2022
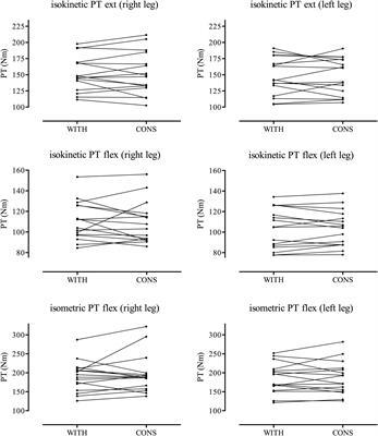
Klotho Polymorphism in Association With Serum Testosterone and Knee Strength in Women After Testosterone Administration
doi 10.3389/fphys.2022.844133
- 1,514 views
- 5 citations
20k
Total downloads
219k
Total views and downloads
BRIEF RESEARCH REPORT
Published on 03 May 2022
ORIGINAL RESEARCH
Published on 16 Dec 2021
ORIGINAL RESEARCH
Published on 11 Nov 2021
ORIGINAL RESEARCH
Published on 30 Aug 2021
SYSTEMATIC REVIEW
Published on 16 Aug 2021
ORIGINAL RESEARCH
Published on 01 Jul 2021
SYSTEMATIC REVIEW
Published on 28 Jun 2021
SYSTEMATIC REVIEW
Published on 14 Apr 2021
ORIGINAL RESEARCH
Published on 24 Mar 2021
ORIGINAL RESEARCH
Published on 10 Mar 2021