Abstract
Introduction:
Pigeonpea (Cajanus cajan L.) is a vital legume crop in semi-arid tropics with high yield potential and adaptability. However, its productivity is limited by poor adoption of climate-resilient technologies and inappropriate genotype selection, especially under climate variability.
Methods:
A two-year field experiment (2013–14 and 2014–15) was conducted at ICRISAT, India, to evaluate the impact of seedling age (14 to 49 days) and genotype (ICPH2740, Maruti, TS3R) on pigeonpea performance under direct seeding and transplanting methods. The experiment followed a factorial randomized block design. Key parameters studied included yield, water productivity, economic returns, and soil carbon dynamics.
Results:
Transplanting 21-day-old seedlings significantly enhanced grain yield (2536 and 2430 kg ha⁻¹), water productivity, and benefit-cost ratio compared to direct seeding and other transplanting ages. ICPH2740 outperformed other genotypes in grain yield, economic water productivity, and soil carbon sequestration. The highest carbon build-up rate (0.65 Mg ha⁻¹ yr⁻¹) was observed in ICPH2740 at 21 DAS transplanting.
Discussion:
The findings highlight the superiority of transplanting medium-duration genotypes (especially ICPH2740) at 21–35 DAS over direct seeding in improving productivity, profitability, and sustainability. This strategy is demonstrated as a climate-resilient practice for rainfed pigeonpea cultivation in semi-arid tropics.
1 Introduction
Pulses are a vital protein source in vegetarian diets and play a crucial role in addressing protein malnutrition among the less privileged. Pigeonpea is rich in protein, calcium, manganese, fiber, and minerals (Saxena et al., 2010). As a leguminous crop, it enhances soil fertility and nutrient cycling (Sawargaonkar et al., 2024a; Kumar et al., 2024). Pigeonpea is grown in 82 countries worldwide, covering a total area of 5.4 million hectares and yielding 4.49 million tons annually. India is responsible for 90% of the global pigeonpea cultivation area and produces 85% of the total output. In India, over 90% of pigeonpea cultivation is rainfed, with 4.53 million hectares of area, 3.89 million tons of production, and 859 kg per hectare productivity. However, this productivity is relatively low due to various constraints. Significant factors contributing to lower pigeonpea productivity in India include non-adoption of indigenous technical knowledge in the selection of high-yielding, climate-resilient genotypes, science-led management practices, and appropriate farm machinery. Additionally, climate change-related issues such as erratic rainfall patterns, excess moisture, and waterlogging during the monsoon season create unfavorable conditions for growth, affecting aeration, nutrient uptake, nodulation, and increasing disease incidence rates, ultimately resulting in reduced crop yield (Pasumarthi et al., 2024; Sawargaonkar et al., 2024b, 2025; Venkatesh et al., 2023., Manasa et al., 2024; Basavaraj et al., 2024). In India, many farmers rely on local crop varieties with low yields and are susceptible to pests and diseases. The cultivation of hybrid crops is negligible compared to varieties due to the lack of hybrid seeds and limited resources in rainfed areas. These constraints in pigeonpea production highlight the need to improve productivity through a science-led, farmer-centric approach using climate-resilient technology (CRT). The CRT involves using medium to long-duration climate-resilient genotypes and good agronomic practices such as the seedling transplant method and efficient planting geometry with a suitable establishment method. Crop establishment plays a crucial role in maintaining optimum plant population, which helps crop growth and increases pigeonpea productivity (Venkatesh et al., 2025; Sawargaonkar et al., 2018, Mathimaran et al., 2020; Ghritlahre et al., 2024; Sawargaonkar et al., 2013). Moreover, terminal moisture stress during the reproductive stage further declines pigeonpea productivity. Transplanting of pigeonpea seedlings would be one of the agronomic measures to overcome delayed sowing (Pawar et al., 2024; Sannathimaappa et al., 2020; Sujatha and Babalad, 2018). Transplanting pigeonpea seedlings after a certain age would be one of the better agronomic practices to avoid delayed sowing and maintain the desired plant population (Priyanka et al., 2018; Praharaj et al., 2015). The seedling transplant method is an innovative method of pigeonpea planting, which has substantial potential to increase pigeonpea production. In the transplanting method of pigeonpea, seedlings are grown in protrays in a smaller area, which helps in the timely sowing of pigeonpea and utilizing the available resources, especially catching the benefit of first rainfall (Sannathimaappa et al., 2020; Praharaj et al., 2015; Tiwari and Namrata, 2020).
Timely sowing of pigeonpea during the rainy season enables smallholder farmers to plant a second crop in the post-rainy season. Identifying promising pigeonpea genotypes for transplanting would help assess the potential medium-duration genotypes for broader adoption. Proper planting geometry plays a crucial role in efficiently utilizing soil moisture and nutrient uptake (Sannathimaappa et al., 2020; Riaz et al., 2020; Praharaj et al., 2015; Khopade et al., 2025; Lalotra et al., 2022; Saxena et al., 2021). The available literature on the transplanted method of pigeonpea mainly focused on productivity enhancement. There is a lack of studies on standardizing transplanting protocols comprising the appropriate age of seedlings and the suitability of promising genotypes for the transplant method of sowing. The authors hypothesized that the transplant method of pigeonpea with medium-duration genotypes holds good potential for improving systems productivity in semi-arid tropics. Thus, the present study aimed to evaluate the appropriate age of the seedling for different duration pigeonpea genotypes and assess its performance in comparison with direct sown pigeonpea genotypes, under climate change scenarios.
2 Materials and methods
2.1 Experimental set-up and management
The field experiment was conducted over two years (2013–14 and 2014-15) at the research farm of the International Crops Research Institute for the Semi-Arid Tropics (ICRISAT), Patancheru (17.51°N, 78.26°E), India. The local climate of the study area is semi-arid, with an average annual rainfall of 898 mm. The maximum temperature may reach 43°C in May, and the minimum may drop to 5°C in December (Kamdi et al., 2020). Daily rainfall, maximum, and minimum temperature data for the experimental period were collected from the Agrometeorology observatory located at ICRISAT near the experimental site. The rainfall and temperature data for the experimental period are depicted in Figure 1. The maximum temperature ranged between 41 to 43.2°C, whereas the minimum temperature ranged between 28.2 to 28.8°C during the experimental period of two years. The supplemental irrigation of 100 mm was applied @ 50 mm twice at the flowering and pod formation stage during 2014-15.
Figure 1

Daily rainfall (mm), maximum (Tmax), and minimum (Tmin) temperature of 2013–14 and 2014–15 at the experimental site. Dates are presented as day-month-year.
Fertilizer dose of 25:50:25 kg NPK ha-1 was applied as a basal dose i.e. before sowing/transplanting using di-ammonium phosphate, some quantity of urea and muriate of potash. The interculture operations like two harrowing and one hand weeding was carried out before 50 days of sowing.
2.2 Experimental design and data collection
The field experiment was conducted using a factorial randomized block design (FRBD) in three replications, with two factors: (1) the age of the transplanted seedlings, such as 14, 21, 28, 35, 42, 49 DAS, along with direct seeding as control treatment and (2) genotypes of varying duration like ICPH2740 (180 days-long duration), Maruti (165 days-medium duration), and TS3R (135 days-short duration). The plot size was 6 mt × 6 mt. The rainfall during the crop-growing period, i.e., from May to December, was 1002.8 mm and 400.5 mm in 2013–14 and 2014-15, respectively.
2.3 Seedling transplanting process
The protrays filled with sterilized cocopeat were used to raise the pigeonpea seedlings in May end, and two seeds per cell were placed in the protrays. The seedlings were raised in the nursery and transplanted at the age of 14, 21, 28, 35, 42, and 49 days in the field using a hand-operated, low-cost, easy planter at a spacing of 150 cm between two rows and 60 cm between the intra-rows.
2.4 Soil properties at the experimental site
The soil at the experimental site was deep black (Vertisol). Surface soil samples (0–15 cm) were collected before the experiment in 2013 to determine the initial soil chemical properties, and again after the final harvest in 2014–15 to assess treatment effects. The pH analysis was done with a glass electrode using a soil/water ratio 1:2, and organic carbon (OC) was analyzed following the Walkley–Black method (Nelson and Sommers, 1996). Available phosphorus (P), potassium (K), sulfur (S), boron (B), and zinc (Zn) were extracted using sodium bicarbonate for P (Olsen and Sommers, 1982), ammonium acetate for K (Helmke and Sparks, 1996), 1.5 g kg−1 calcium chloride for S (Tabatabai, 1996), hot water for B (Keren, 1996), and diethylenetriaminepentaacetic acid (DTPA) reagent for Zn (Lindsay and Norvell, 1978). Available P was determined using the colorimetric method, and K was determined by Atomic Absorption Spectrophotometer (AAS). S, B, and Zn analyses were done using Inductively Coupled Plasma Atomic Emission Spectroscopy (ICP-AES). The results of the initial soil analysis are presented in Table 1.
Table 1
| Properties | Mean values | SEm (±) |
|---|---|---|
| pH | 7.95 | 0.02 |
| Electrical conductivity (dS m-1) | 0.28 | 0.01 |
| Organic carbon (%) | 0.34 | 0.01 |
| Available-P (ppm) | 8.67 | 0.17 |
| Exchangeable-K (ppm) | 187 | 11.02 |
| Available-B (ppm) | 0.70 | 0.01 |
| Available-S (ppm) | 10.1 | 1.13 |
| Available-Zn (ppm) | 0.83 | 0.01 |
Initial soil properties of the experimental site.
2.5 Grain yield and water productivity (kg m−3)
The harvesting was done at physiological maturity for each genotype using a destructive sampling method. The grains from each plot were obtained after threshing and dried for a week until constant weight was achieved. The plot yields was later converted to per hectare.
In the present study, water productivity (WP) was determined using the following equation:
Where WP is the water productivity (kg m−3), Pigeonpea grain yield (kg ha−1), and TWIs are total water inputs (m3 ha−1), which includes rainfall (mm) and irrigation (mm).
2.6 Economics
Net monetary returns were calculated by subtracting the cost of cultivation from gross monetary return, and the Indian rupee was exchanged with the prevailing dollar rate during the study period. The benefit-cost ratio was estimated as the ratio of gross monetary returns to the cost of cultivation.
2.7 Economic water productivity (USD m−3)
The following equation was used to compute the economic water productivity (EWP):
Where EWP is the economic water productivity (USD m−3), NMR is the net monetary returns (USD ha−1), and TWIs are total water inputs (m3 ha−1), which includes rainfall and irrigation (mm).
2.8 Soil organic carbon stock (Mg ha-1) and related indices
Soil organic stock (Mg ha-1) was calculated by following the method (Bagwan et al., 2023), where bulk density is in Mg m-³, depth in cm, and Soil organic stock (SOC) concentration is in g kg-¹.
Carbon sequestration: Carbon sequestration was determined by subtracting the initial SOC stock from the final SOC stock throughout the study.
Carbon build-up rate: The carbon build-up rate was calculated using the difference between the final and initial soil organic carbon (SOC) stock, divided by the number of years of experimentation.
2.9 Statistical analysis
The data collected were statistically analyzed using an analysis of variance test, and the least significant difference (LSD) of treatment means was at the 5% level using the 14th edition GenStat (Ireland, 2010). The LSD values were calculated whenever the F-test was found to be significant. In the case of nonsignificant effects, the standard error of means (SEM) alone is presented in tables.
3 Result and discussion
3.1 Effect of age of seedlings and genotypes on pigeonpea grain yield
The results of the study showed that grain yield was significantly higher when seedlings were transplanted at 21 days of seedling age in both the years, i.e., 2013–14 and 2014-15. The grain yield was higher by 699 kg ha-1 and 668 kg ha-1 over 14 DAS, 78 kg ha-1 and 93 kg ha-1 over 28 DAS, 239 kg ha-1 and 253 kg ha-1 over 35 DAS, 948 kg ha-1 and 816 kg ha-1 over 42 DAS, 1063 kg ha-1–958 kg ha-1 over 49 DAS, and 383 kg ha-1 and 413 kg ha-1 over direct seeding in 2013–14 and 2014-15, respectively. However, the grain yield at 21 DAS and 28 DAS were statistically comparable in 2013–14 and 2014-15 (Table 2). Among the genotypes, significantly higher grain yield was recorded in ICPH2740, which was higher by 517 kg ha -1 and 423 kg ha-1 over Maruti, and 1394 kg ha -1 and 1293 kg ha-1 over TS3R during 2013–14 and 2014-15, respectively.
Table 2
| Treatments | Grain yield (kg ha-1) | Gross return (USD ha-1) | Net return (USD ha-1) | Water productivity (kg m-3) | Economic water productivity (USD m-3) | |||||
|---|---|---|---|---|---|---|---|---|---|---|
| Age of seedling | 2013-14 | 2014-15 | 2013-14 | 2014-15 | 2013-14 | 2014-15 | 2013-14 | 2014-15 | 2013-14 | 2014-15 |
| 14 DAS | 1837 | 1762 | 1145 | 1430 | 649 | 949 | 0.18 | 0.38 | 0.07 | 0.2 |
| 21 DAS | 2536 | 2430 | 1581 | 1971 | 1084 | 1490 | 0.26 | 0.53 | 0.11 | 0.32 |
| 28 DAS | 2458 | 2337 | 1532 | 1896 | 1035 | 1415 | 0.24 | 0.51 | 0.1 | 0.31 |
| 35 DAS | 2297 | 2177 | 1432 | 1766 | 935 | 1285 | 0.23 | 0.47 | 0.09 | 0.28 |
| 42 DAS | 1588 | 1614 | 989 | 1309 | 493 | 828 | 0.16 | 0.35 | 0.05 | 0.18 |
| 49 DAS | 1473 | 1472 | 918 | 1194 | 422 | 713 | 0.15 | 0.32 | 0.04 | 0.16 |
| Direct seeding | 2153 | 2017 | 1341 | 1636 | 905 | 1215 | 0.22 | 0.44 | 0.09 | 0.26 |
| SEm (±) | 53.6 | 46.6 | 33.4 | 37.8 | 33.4 | 37.8 | 0.01 | 0.01 | 0 | 0.01 |
| LSD at 0.05 | 153.1 | 133.1 | 95.4 | 108 | 95.4 | 108 | 0.02 | 0.03 | 0.01 | 0.24 |
| Genotypes | ||||||||||
| ICPH2740 | 2686 | 2545 | 1674 | 2065 | 1186 | 1592 | 0.27 | 0.55 | 0.12 | 0.35 |
| Maruti | 2169 | 2122 | 1352 | 1721 | 864 | 1249 | 0.22 | 0.46 | 0.09 | 0.27 |
| TS3R | 1292 | 1252 | 805 | 1015 | 318 | 543 | 0.13 | 0.27 | 0.03 | 0.12 |
| SEm (±) | 35.1 | 30.5 | 21.8 | 24.7 | 21.9 | 24.7 | 0 | 0.01 | 0 | 0.01 |
| LSD at 0.05 | 100.3 | 87.1 | 62.4 | 70.7 | 62.5 | 70.7 | 0.01 | 0.02 | 0.01 | 0.02 |
| Interaction (Age of seedling × Genotypes) | ||||||||||
| SEm (±) | 92.8 | 80.7 | 57.8 | 65.5 | 57.8 | 65.5 | 0.009 | 0.017 | 0.006 | 0.014 |
| LSD at 0.05 | 265.3 | 230.5 | 165.2 | 187.1 | 165.3 | 187.1 | 0.026 | 0.049 | 0.017 | 0.041 |
Effect of age of seedling and genotypes on pigeonpea grain yield, economics, and water productivity during 2013–14 and 2014-15.
DAS, Days after sowing; SEm, Standard Error of the Mean; LSD, Least Significant Difference.
The results showed that the age of seedlings for transplanting plays a crucial role in pigeonpea grain production. At the 14 days of seedling age, plants were not appropriately developed, and roots were immature and delicate. Thus, transplanting such poorly developed young seedlings may not absorb the shocks of uprooting from protrays and transplanting in the main field and leads to poor establishment, more mortality, and poor crop growth compared to direct seeding and other treatments. The limited uptake of nutrients and water owing to underdeveloped roots and plants remained weak throughout the growing period and thus resulted in lower grain yield when transplanted at 14 days seedlings age.
On the contrary, the transplanting seedlings at the ages of 21, 28, and 35 days had well-developed leaves and vigorous root growth, which helped them bear the shock of uprooting from the protrays and transplanting in the field compared to transplanting seedlings at 14 days. Moreover, the natural resources such as solar radiation, soil moisture, space, and nutrients might have been utilized more efficiently by the pigeonpea when seedlings were transplanted at 21, 28, and 35 days of age. These results are similar to the findings of Malik (2009) and Praharaj et al. (2015) in pigeonpea. The greater number of leaves in 21, 28, and 35 days of seedling might have better photosynthesis, nutrient uptake, and water absorption, resulting in higher yields. Similar results were also reported by Sannathimaappa et al. (2020) when pigeonpea seedlings were transplanted at 30 days. Increased seed yield due to early/timely sowing resulted in the high leaf area index and its persistence, photosynthetically active radiation interception, and absorption, leading to higher dry matter accumulation before the crop reached the reproductive stage (Patel et al., 1997). Maximum seed yield and biomass under early sowing were attributed to the persistence of a larger canopy cover and light interception, coinciding with the late reproductive phase when pod number had been determined. Similar results were reported by Murali et al. (2014).
Late transplanting of seedlings at 42 and 49 days of age of early (TS3R) and medium duration genotype (Maruti) significantly reduced growth and yield components in pigeonpea due to insufficient time for proper vegetative growth. Late transplanting of the early (TS3R) and medium duration genotype (Maruti) resulted in a decreased reproductive period (flowering to pod formation period) and thereby resulted in reduced grain yield compared to longer duration pigeonpea genotype (ICPH2740). Similar results were noted by Sharma et al. (2014).
Additionally, seedlings at 42 and 49 days may suffer from nutrient deficiency in the portrays, leading to thinner stems and partial lodging. Similar results were noted by Sharma et al. (2014). As pigeonpea is a thermos-sensitive crop, transplanting old-age seedlings could not allow plants to accumulate sufficient photosynthates due to a short vegetative growth period and results in poor sink or crop yield as well as total biomass. These results are in conformity with Channabasavanna et al. (2015); Balai et al. (2013); Hari et al. (2011), and Patel et al. (1997). This delay in growth stages, such as flowering and pod development, can coincide with unfavorable environmental conditions, such as decreased seed-setting temperatures, negatively affecting pod formation and grain filling. These results are in corroboration with Poornima et al. (2010) in transplanted pigeonpea. In a recent study by Pawar et al. (2024), evaluating pigeonpea-based intercropping systems under different sowing dates, the pigeonpea + soybean system recorded the highest system pigeonpea equivalent yield (PEY) of 1958 kg ha-¹.
3.2 Effect of age of seedling and genotypes on gross return and net economic return
The study results showed that gross return was significantly highest in 21 DAS among the treatments for the age of seedlings. The gross return was higher by 436 USD ha-1 over 14 DAS, 28 USD ha-1 over 28 DAS, 149 USDha-1 over 35 DAS, 592 USD ha-1 over 42 DAS, 663 USD ha-1 over 49 DAS and 240 USD ha-1 over direct seeding during 2013-14. Similarly, in 2014-15, the gross return for 21 days seedling was higher by 541 USD ha-1 over 14 DAS, 75 USD ha-1 over 28 DAS, 205 USD ha-1 over 35 DAS, 662 USD ha-1 over 42 DAS, 777 USD ha-1 over 49 DAS and 335 USD ha-1 over direct seeding (Table 2). Among the three genotypes, a significantly higher gross return was computed in ICPH2740 (1674 USD ha-1) compared to Maruti (1352 USD ha-1) and TS3R (805 USD ha-1) during 2013-14. The gross return in ICPH2740 was higher by 322 USD ha-1 and 344 USD ha-1 over Maruti, and 869 USD ha-1 and 1050 USD ha-1 over TS3R during 2013–14 and 2014-15, respectively.
The study revealed that for seedling age, the net return was highest in 21 days of seedling compared to the rest of the treatments. During 2013-14, net return for 21 days seedling age was higher by 395 USD ha-1 over 14 DAS, 49 USD ha-1 over 28 DAS, 149 USD ha-1 over 35 DAS, 591 USD ha-1 over 42 DAS, 662 USD ha-1 over 49 DAS, and 179 USD ha-1 over direct seeding. Similarly, during 2014-15, net return for 21 days seedling age was higher by 541 USD ha-1 over 14 DAS, 75 USD ha-1 over 28 DAS, 205 USD ha-1 over 35 DAS, 662 USD ha-1 over 42 DAS, 777 USD ha-1 over 49 DAS, and 275 USD ha-1 over direct seeding (Table 2). However, the net returns at 21 DAS and 28 DAS are comparable with each other. Among the three genotypes, ICPH2740 recorded significantly higher net return (1186 USD ha-1 and 1592 compared to Maruti (864 and 1249USD ha-1) and TS3R (318 and 543USD ha-1) during 2013–14 and 2014-15, respectively. Pavan et al. (2011) reported that spacing and seedling age significantly influenced growth and yield, with wider spacing (150 cm × 30 cm) producing better yields due to improved resource acquisition.
Gross and net returns were higher in 21, 28, and 35 DAS due to increased grain yield and efficient resource utilization, resulting in increased economic returns. The higher gross and net returns observed in the present study aligned with findings from Praharaj et al. (2020), where transplanting pigeonpea seedlings resulted in significantly higher yield and economic benefits due to better crop establishment and enhanced growth conditions.
3.3 Effect of age of seedling and genotypes on Benefit: Cost ratio
The results of the study showed that the Benefit: Cost ratio was significantly higher when seedlings were transplanted at 21 days followed by 28 days age of seedlings. The benefit-cost ratio for 21 days seedling age was higher by 0.87 over 14 DAS, 0.10 over 28 DAS, 0.3 over 35 DAS, 1.19 over 42 DAS, 1.33 over 49 DAS, and 1.10 over direct seeding in 2013-14. Similarly, in 2014-15, the Benefit-Cost ratio was significantly higher in 21 DAS among the treatments based on seedling age. The benefit-cost ratio for 21 days seedling age was higher by 1.12 over 14 DAS, 0.157 over 28 DAS, 0.42 over 35 DAS, 1.37 over 42 DAS, 1.61 over 49 DAS, and 0.21 over direct seeding (Table 2). Among the three genotypes, ICPH2740 recorded a significantly higher benefit-cost ratio (3.43) compared to Maruti (2.77) and TS3R (1.66) during 2013-14. The ICPH2740 recorded a higher benefit-cost ratio of 0.65 and 0.72 over Maruti and 1.17 and 2.20 over TS3R during 2013–14 and 2014-15, respectively.
The higher gross return in 21, 28, and 35 days of seedlings resulted in a higher B:C ratio. The study showed a higher B:C ratio, in line with Praharaj et al. (2020), indicating that transplanting pigeonpea seedlings led to significantly increased yield and economic benefits due to improved crop establishment and growth conditions.
3.4 Effect of age of seedlings and genotypes on crop water productivity (kg m-3) and economic water productivity
The study showed that water productivity was significantly higher when pigeonpea was transplanted at 21 days of seedlings age compared to other treatments. The water productivity of 21 days seedlings was higher by 0.07 kg m-3 over 14 DAS, 0.01 kg m-3 over 28 DAS, 0.02 kg m-3 over 35 DAS, 0.09 kg m-3 over 42 DAS, 0.11 kg m-3 over 49 DAS and 0.04 kg m-3 over direct seeding in 2013-14. Similarly, in 2014-15, water productivity was significantly highest in 21 DAS among the treatments of seedling age. Water productivity was higher by 0.14 kg m-3 over 14 DAS, 0.02 kg m-3 over 28 DAS, 0.05 kg m-3 over 35 DAS, 0.17 kg m-3 over 42 DAS, 0.20 kg m-3 over 49 DAS, and 0.09 kg m-3 over direct seeding. However, the water productivity at 21 days was at par with 28 days, and the water productivity at 42 days was at par with 49 days. Also, the water productivity at direct seeding is at par with 14, 35, 42, and 49 days of seedling (Table 2).
Among the three genotypes, ICPH2740 recorded significantly higher water productivity (0.26 kg m-3) compared to Maruti (0.21 kg m-3) and TS3R (0.12 kg m-3) during 2013-14. The ICPH2740 recorded higher water productivity by 0.05 kg m-3 and 0.09 kg m-3 over Maruti, and 0.14 kg m-3 and 0.28 kg m-3 over TS3R during 2013–14 and 2014-15, respectively.
The results of the study showed that economic water productivity was significantly highest in 21 DAS among the treatments of age of seedlings. It was higher by 0.041 kg m-3 over 14 DAS, 0.004 kg m-3 over 28 DAS, 0.014 kg m-3 over 35 DAS, 0.0589 kg m-3 over 42 DAS, 0.065 kg m-3 over 49 DAS and 0.0178 kg m-3 over direct seeding in 2013-14.
The results of the study showed that, economic water productivity was significantly highest in 21 DAS among the treatments of age of seedling. The economic water productivity was higher by 0.115 kg m-3 over 14 DAS, 0.014 kg m-3 over 28 DAS, 0.043 kg m-3 over 35 DAS, 0.143 kg m-3 over 42 DAS, 0.167 kg m-3 over 49 DAS and 0.058 kg m-3 over direct seeding in 2014-15. The data also showed that, despite the economic water productivity at 21 DAS, both 21 DAS and 28 DAS treatments were statistically at par (Table 2).
Among the three genotypes, ICPH2740 recorded significantly higher economic water productivity (0.119 kg m-3) compared to Maruti (0.085 kg m-3) and TS3R (0.031 kg m-3) during 2013-14. The ICPH2740 recorded higher economic water productivity by 0.033 kg m-3 and 0.074 kg m-3 over Maruti, and 0.087 kg m-3 and 0.228 kg m-3 over TS3R during 2013–14 and 2014-15, respectively.
This study analyzes two years with different rainfall conditions: the first year (2013-14) had abundant rainfall, while the second year (2014-15) had less. These conditions illustrate the climatic variability pigeonpea may face in semi-arid areas (Sawargaonkar et al., 2024b). Given pigeonpea’s ability to thrive in drought and respond to favorable rainfall, assessing its performance in these two environments provides vital insights into yield stability and system resilience under transplanting conditions. The water productivity and economic water productivity depend on grain yield and total water inputs. Water productivity and economic water productivity were higher in 21, 28, and 35 days seedlings age and ICPH2740 due to higher grain yield. Praharaj et al. (2020) also highlighted that water productivity could be enhanced through the timely transplanting of pigeonpea. Barla et al. (2018) found that transplanting 15-day-old seedlings resulted in higher yield and gross returns than older seedlings and direct seeding, which aligns with the superior performance of early seedling transplanting.
3.5 Effect of interaction (age of seedling × genotypes) on grain yield.
The interaction between the age of seedlings and genotypes significantly affected grain yield during the years 2013–14 and 2014-15 (Figure 2). Grain yield was highest at 21 days seedling age for ICPH 2740, which recorded the maximum yield of 3416 kg ha-¹ and 3231 kg ha-¹ in 2013–14 and 2014-15, respectively. The performance of pigeonpea genotypes under the transplanting technique was investigated by Jadav et al. (2023), who found that the pigeonpea variety TS-3R transplanted during the second fortnight of June showed excellent growth, higher yield parameters, and increased seed production. Grain and stalk yields from the transplanted hybrid pigeonpea in Karnataka (India) were significantly higher than those from the dibbled variety (Mallikarjun et al., 2014). According to Rajesh et al. (2013), transplanting pigeonpea seedlings was a more effective agronomic solution for dealing with delayed sowing due to the late commencement of monsoon. Furthermore, raising seedlings and transplanting them into the field after receiving good rainfall will be more helpful than direct seeded sowing (Jadav et al., 2023., Sawargaonkar et al., 2012; Kantwa et al., 2011).
Figure 2

Grain yield (kg ha-1) as influenced by interaction effect of age of seedlings and genotypes.
3.6 Effect of interaction (age of seedling × genotypes) on gross return and net return
The interaction effect of seedling age and genotypes was significant on gross return. In both 2013–14 and 2014-15, the gross returns were higher for 21 days age of seedlings. During 2013-14, the gross returns were higher in ICPH 2740 (2129 USD ha-¹) compared to Maruti (1666 USD ha-¹), and TS3R (947 USD ha-¹). Similarly, 2014-15, the highest returns at 21 days in 2014-15, the highest returns at 21 days of the age of seedlings were recorded in ICPH 2740 (2621 USD ha-¹), Maruti (2153 USD ha-¹), and TS3R (1139 USD ha-¹).
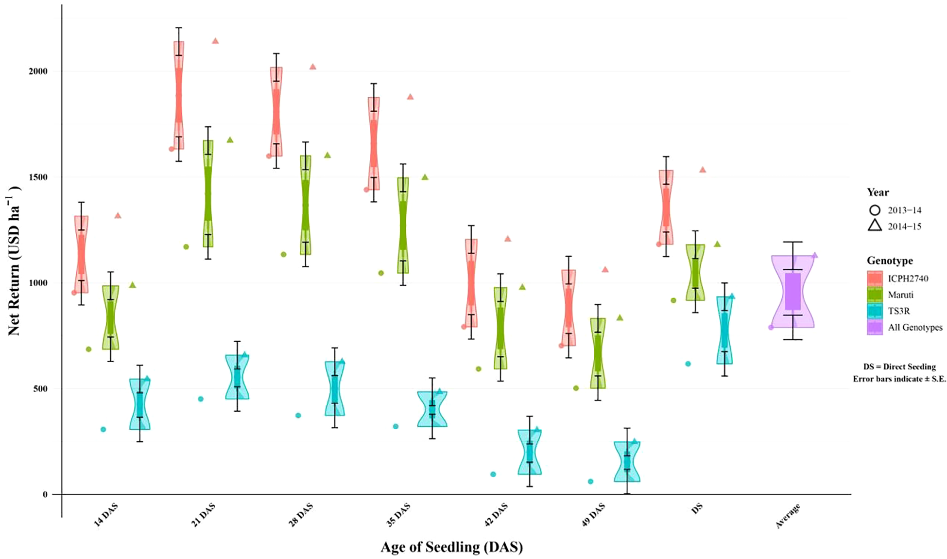
The interaction between the age of the seedlings and the different genotypes significantly affected the net economic returns, as shown in Figure 3. In 2013–14 and 2014-15, transplanting seedlings at 21 DAS resulted in the highest net returns, particularly for ICPH 2740, with 1632 USD ha-¹ in 2013–14 and 2140 USD ha-¹ in 2014-15. Increased yields of transplanted pigeonpea with higher market prices may have contributed to superior performance in transplanted pigeonpea treatments. This, in turn, might have raised the overall net returns (Uprikar, 2017).
Figure 3

Net economic return as Influenced by interaction effect of age of seedlings and genotypes.
3.7 Effect of interaction (age of seedling × genotypes) on benefit: cost ratio
The interaction between seedling age and genotypes was significant regarding the benefit-cost ratio, as shown in Table 2. In 2013–14 and 2014-15, the highest benefit-cost ratio was observed with seedlings transplanted at 21 DAS, with ICPH 2740 showing higher results (4.29 in 2013–14 and 5.45 in 2014-15).
3.8 Effect of interaction (age of seedling × genotypes) on crop water productivity
The interaction between seedling age and genotypes significantly affected water productivity. In both 2013–14 and 2014-15, the highest water productivity was observed when seedlings were transplanted at 21 DAS (Figure 4). The water productivity at 21 DAS is significantly higher for genotype ICPH2740, followed by Maruti and TS3R. Brar et al. (2012) reported that transplanting time and seedling age significantly affect water productivity and grain quality in North-West India. The study highlighted the importance of transplanting younger seedlings to optimize water use efficiency in various rice genotypes.
Figure 4

Water productivity as influenced by interaction effect of age of seedlings and genotypes.
3.9 Effect of interaction (age of seedling × genotypes) on economic water productivity
The interaction between seedling age and genotypes significantly influenced economic water productivity, as given in Figure 5. In 2013–14 and 2014-15, the highest economic water productivity was observed when seedlings were transplanted at 21 DAS, with ICPH 2740 achieving 0.16 USD m-³ in 2013–14 and 0.47 USD m-³ in 2014-15. The economic water productivity at 21 DAS is significantly higher for genotype ICPH2740, followed by Maruti and TS3R. Overall, younger seedlings, especially at 21 DAS, showed the highest economic returns per unit of water used, with ICPH 2740 showing the best performance.
Figure 5

Economic water productivity as influenced by interaction effect of age of seedlings and genotypes.
3.10 Effect of method of sowing and pigeonpea genotypes on soil organic carbon stock, carbon sequestration, and carbon build-up rate
The soil organic carbon (SOC) stock with different treatments, including age of seedling, direct seeding, and varieties, is given in Figure 6. Among the different seedlings’ age, the highest SOC stock was observed at 21 DAS (8.90 Mg ha-1), while the lowest was recorded at 49 DAS (8.0 Mg ha-1). Direct seeding resulted in a SOC stock of 8.49 Mg ha-1. In terms of variety, ICPH2740 had the highest SOC stock (8.96 Mg ha-1), followed by Maruti (8.57 Mg ha-1) and TS3R (7.93 Mg ha-1).
Figure 6

Effect of direct seeding, age of seedling, and pigeonpea genotypes on soil organic carbon stock. (Error bars represent the standard error).
Figure 7 represents carbon sequestration and carbon build-up rates among the treatments. Among the different ages of seedlings, the highest carbon sequestration was observed at 21 days of seedlings age (1.30 Mg/ha), followed by 28 days of seedlings age (1.15 Mg/ha), with a peak carbon build-up rate at 21 days of seedlings age (0.65 Mg ha-1 yr-1). The lowest values for carbon sequestration (0.40 Mg ha-1) and carbon build-up rate (0.20 Mg ha-1 yr-1) were recorded at 49 days of seedlings age. Among the genotypes, the ICPH2740 variety showed the higher carbon sequestration (1.36 Mg ha-1) and build-up rate (0.68 Mg ha-1 yr-1), whereas TS3R yielded the lowest carbon sequestration (0.33 Mg ha-1) and build-up rate (0.17 Mg ha-1 yr-1). The results show that the age of the seedling significantly influences SOC stock. Younger seedlings (21–35 days of seedlings age) appear to contribute to higher SOC, with a peak observed at 21 days of seedlings age. This might be due to the increased biomass input during the early vegetative stages, which enhances carbon sequestration. As the seedling age increases (42–49 days of seedlings age), there is a gradual decline in SOC stock, possibly due to slower growth rates and reduced carbon inputs. Similar results were reported by Mandal et al. (2008) and Mazumdar et al. (2018), who found that rice-based farming systems in Inceptisols in eastern India sequestered more soil carbon.
Figure 7

Effect of direct seeding, age of seedling, and pigeonpea genotypes on carbon sequestration and carbon build-up rate. (Error bars represent the standard error).
Knight and Kumari (2023) reported that cropping systems incorporating pigeonpea significantly enhanced soil organic carbon (SOC) stocks and carbon sequestration rates compared to non-legume-based systems. Specifically, the pigeonpea + greengram intercropping system (CS4) achieved the highest SOC stock of 9.52 Mg ha-¹ and a carbon sequestration rate (CSR) of 0.41 Mg ha-¹ yr-¹, closely followed by the maize + pigeonpea system (CS5) with a CSR of 0.42 Mg ha-¹ yr-¹. These legume-inclusive systems outperformed monocropping systems, demonstrating that legume integration in cropping systems is a highly effective strategy to promote soil carbon buildup and improve soil health sustainability. The increase in SOC stock under pigeonpea-based systems was attributed to higher biomass contribution, improved root density, and enhanced soil microbial activity.
Conclusion
This study demonstrates that transplanting pigeonpea seedlings, particularly at 21 days after sowing, significantly enhances grain yield, economic returns, water productivity, and soil carbon sequestration compared to both direct seeding and transplanting at other seedling ages. Across two consecutive years (2013–14 and 2014–15), 21-day-old seedling transplants consistently outperformed other treatments, achieving the highest grain yields (2,536 and 2,430 kg ha-¹) and benefit-cost ratios (3.18 and 4.10). Among the genotypes evaluated, the long-duration hybrid ICPH 2740 exhibited superior performance, followed by Maruti over TS3R, particularly when transplanted at 21, 28 days, and 35 days.
Water and economic water productivity were also higher with 21-day-old seedlings, indicating more efficient resource utilization under this management practice. Notably, transplanting ICPH 2740 at 21 days produced the highest yields and contributed significantly to carbon sequestration, with a maximum carbon buildup rate of 0.65 Mg ha-¹ yr-¹.
These findings underscore the potential of transplanting as a climate-resilient agronomic strategy for enhancing pigeonpea productivity in rainfed semi-arid regions. Integrating this method with medium- to long-duration genotypes offers a viable pathway to improve yield stability, resource use efficiency, and ecosystem services. Scaling this approach will require targeted capacity building for farmers and stakeholders, along with supportive policy interventions to ensure adoption and long-term sustainability.
Statements
Data availability statement
The original contributions presented in the study are included in the article/supplementary material. Further inquiries can be directed to the corresponding author.
Author contributions
GS: Conceptualization, Investigation, Methodology, Project administration, Resources, Supervision, Writing – original draft, Writing – review & editing. PK: Writing – original draft, Writing – review & editing. SK: Writing – original draft, Writing – review & editing. SS: Writing – original draft, Writing – review & editing. SD: Data curation, Writing – review & editing. HK: Conceptualization, Writing – original draft, Writing – review & editing. RS: Resources, Writing – original draft, Writing – review & editing. MJ: Resources, Writing – original draft, Writing – review & editing.
Funding
The author(s) declare that no financial support was received for the research, and/or publication of this article.
Acknowledgments
We thank Dr. Rakesh S, Mr. Pawan Angra, Dr. Sreenath Dixit, and Dr. Pravat Kumar Roul for their support and contribution during the experimentation and/or writing of this paper.
Conflict of interest
The authors declare that the research was conducted in the absence of any commercial or financial relationships that could be construed as a potential conflict of interest.
Generative AI statement
The author(s) declare that no Generative AI was used in the creation of this manuscript.
Publisher’s note
All claims expressed in this article are solely those of the authors and do not necessarily represent those of their affiliated organizations, or those of the publisher, the editors and the reviewers. Any product that may be evaluated in this article, or claim that may be made by its manufacturer, is not guaranteed or endorsed by the publisher.
References
1
BagwanW. A.GavaliR. S.MaityA. (2023). Quantifying soil organic carbon (SOC) density and stock in the Urmodi River watershed of Maharashtra, India: implications for sustainable land management. J. Umm Al-Qura Univ. Appl. Sci.9, 548–564. doi: 10.1007/s43994-023-00064-3
2
BalaiL. P.SinghR. B.YadavS. M. (2013). Sowing time and plant population on the disease intensity of alternaria blight of pigeonpea. Indian J. Plant Protection41, 326–331.
3
BarlaS.UpasaniR. R.KumariN.KulshreshthaS. K. (2018). Management of seedling age and plant geometry of transplanted pigeon pea. J. Pharmacognosy Phytochem.7, 3169–3171.
4
BasavarajP. S.RaneJ.BoraiahK. M.GangashettyP.HarishaC. B. (2023). Genetic analysis of tolerance to transient waterlogging stress in pigeonpea (Cajanus cajan L. Millspaugh). Indian J. Genet. Plant Breed.83, 316–325. doi: 10.31742/ISGPB.83.3.3
5
BrarS. K.MahalS. S.BrarA. S.VashistK. K.SharmaN.ButtarG. S. (2012). Transplanting time and seedling age affect water productivity, rice yield, and quality in north-west India. Agric. Water Manage.115, 217–222. doi: 10.1016/j.agwat.2012.09.001
6
ChannabasavannaA. S.KitturmathM. S.RajakumarH. (2015). Standardization of sowing date and genotypes of pigeonpea [Cajanus cajan (L.) Mill sp.] under erratic rainfall conditions in northern dry zone of Karnataka. Karnataka J. Agric. Sci.28, 604–605.
7
GhritlahreS. K.SinghA.SinghI. P.SinghF.KatiyarP. K.SinghN. P. (2024). Current status and way forward for scaling up productivity of pigeonpea in madhya pradesh: A review. Agric. Rev.45, 196–203.
8
HariR.SinghG.SekhonH. S.KhannaV. (2011). Effect of sowing time on the performance of pigeonpea genotypes. J. Food Legumes24, 207–210.
9
HelmkeP. A.SparksD. L. (1996). “Lithium, sodium, potassium, rubidium, and cesium,” in Methods of Soil Analysis, Part 3: Chemical Methods (ASA-CSSA-SSSA, Madison (WI), 551–574.
10
JadavP. V.NandagaviR. A.PatilS. B.KiranB. O. (2023). Performance of pigeonpea genotypes under transplanting technique. J. Farm Sci.36, 20–25. doi: 10.61475/jfm.v36i01.336
11
KamdiP. J.SwainD. K.WaniS. P. (2020). Efficient land water management practice and cropping system for increasing water and crop productivity in semi-arid tropics. Agron. J.112, 2552–2568. doi: 10.1002/agj2.20207
12
KantwaS. R.AhlawatI. P. S.GangaiahB. (2011). Performance of sloe and intercropped Pigeonpea (Cajanza cajan) as influenced by land configuration, post-monsoon irrigation, and phosphorus fertilization. Indian J. Agric. Sci.76.
13
KerenR. (1996). “Boron,” in Methods of soil analysis, Part 3: Chemical Methods. Ed. SparksD. L. (ASA-CSSASSSA, Madison, WI), 603–626.
14
KhopadeR. Y.SawargaonkarG. L.RakeshS.DavalaM. S.KishoreK. K. (2025). Yeshwanth Siddam, Ramesh Singh, and Mangi Lal Jat. “Vegetable grafting: a scientific innovation to enhance productivity and profitability of tomato growers under climate change. Front. Agron.7, 1514673.
15
KnightN.KumariCh P. (2023). Soil carbon sequestration rate, microbial biomass and mineralizable carbon and their interrelationship with system productivity under different cropping systems in an Inceptisol. Curr. Adv. Agric. Sci.15, 49–56. doi: 10.5958/2394-4471.2023.00009.6
16
KumarN. V.SawargaonkarG.RaniC. S.PasumarthiR.KaleS.PrakashT. R.et al. (2024). Harnessing the potential of pigeonpea and maize feedstock biochar for carbon sequestration, energy generation, and environmental sustainability. Bioresources Bioprocessing11, 5. doi: 10.1186/s40643-023-00719-3
17
LalotraS.KumarS.MeenaR. S.KumarV. (2022). “Sustainable intensification in cropping systems through the inclusion of legumes,” in Advances in Legumes for Sustainable Intensification (Academic Press, Elsevier), 27–50. doi: 10.1016/b978-0-323-85797-0.00031-8
18
LindsayW. L.NorvellW. A. (1978). Development of a DTPA soil test for zinc, iron, manganese, and copper 1. Soil Sci. Soc. America J.42, 421. doi: 10.2136/sssaj1978.03615995004200030009x
19
MalikR. I. J. (2009). Effect of nursery techniques, seedling age and spacing on seed yield and quality in transplanted redgram. M. Sc. (Agri.) Thesis, Univ. Agric. Sci., Dharwad, Karnataka (India.
20
MallikarjunC.HulihalliU. K.SomanagoudaG.KubsadV. S.KambrekarD. N. (2014). Performance of hybrid pigeonpea (cv. ICPH-2671) under varied planting methods and planting geometries in Northern dry zone of Karnataka. Karnataka J. Agric. Sci.27, 296–299.
21
ManasaR.DeviR. S. J.VemanaK.JohnK.RaoG. R.AnubhavaP. J.et al. (2024). Biochar as a strategy to manage stem rot disease of groundnut incited by Sclerotium rolfsii. Front. Agron.6, 1470194. doi: 10.3389/fagro.2024.1470194
22
MandalB.MajumderB.AdhyaT. K.BandyopadhyayP. K.GangopadhyayA.SarkarD.et al. (2008). Potential of double-cropped rice ecology to conserve organic carbon under subtropical climate. Glob. Change Biol.14, 2139–2151. doi: 10.1111/j.1365-2486.2008.01627.x
23
MathimaranN.JeganS.ThimmegowdaM. N.PrabavathyV. R.YuvarajP.KathiravanR.et al. (2020). Intercropping transplanted pigeonpea with finger millet: Arbuscular mycorrhizal fungi and plant growth promoting rhizobacteria boost yield while reducing fertilizer input. Front. Sustain. Food Syst.4, 88. doi: 10.3389/fsufs.2020.00088
24
MazumdarS. P.KunduD. K.SahaA. R.MajumdarB.SahaR.SinghA. K.et al. (2018). Carbon and nutrient dynamics under long-term nutrient management in a tropical rice-wheat-jute system. Archi. Agro. Soil Sci.64, 1595–1607. doi: 10.1080/03650340.2018.1446521
25
MuraliK.SheshadriT.ByregowdaM. (2014). Effect of pigeonpea transplanting on growth, yield and economics in sole and finger millet intercropping system under late sown conditions. J. Food Legumes27, 28–31.
26
NelsonD. W.SommersL. E. (1996). “Total carbon, organic carbon and organic matter,” in Methods of Soil Analysis, Part 3 Chemical Methods, vol. 5 . Eds. SparksD. L.PageA. L.HelmkeP. A.LoeppertR. H. (Wiley, Hoboken, NJ), 961–1010.
27
OlsenS. R.SommersL. E. (1982). “Phosphorus,” in Methods of Soil Analysis, Part 2: Chemical and Microbiological Properties, 2nd ed. Ed. NormanA. G. (SSSA, ASA, Madison, WI), 403–430.
28
PasumarthiR.SawargaonkarG.KaleS.KumarN. V.ChoudhariP. L.SinghR.et al. (2024). Innovative bio-pyrolytic method for efficient biochar production from maize and pigeonpea stalks and their characterization. J. Cleaner Production448, 141573. doi: 10.1016/j.jclepro.2024.141573
29
PatelN. R.MehtaA. N.ShekhA. M. (1997). Effect of sowing date and row spacing on phenology and yield of two diverse genotypes of pigeonpea (Cajanus cajan). Indian J. Agric. Sci.6, 153–156.
30
PavanA. S.NagalikarV. P.PujariB. T.HalepyatiA. S. (2011). Influence of planting geometry on the growth characters, seed yield and economics of transplanted pigeonpea. Karnataka J. Agric. Sci.24, 390–392.
31
PawarG. R.WaghmareP. K.BhadreC. K.GokhaleD. N. (2024). Evaluation of yield advantages, competitiveness and economic benefits of pigeonpea (Cajanus cajan L.) based intercropping systems under different date of sowing. Int. J. Environ. Climate Change14, 638–649. doi: 10.9734/ijecc/2024/v14i34072
32
PoornimaD. S.ShankaralingappaB. C.Kalyana MurthyK. N.SavithaH. R. (2010). Economics of transplanted pigeonpea in sole cropping and finger millet based intercropping system. Int. J. Agric. Sci.6, 501–503.
33
PraharajC. S.JatR. L.SinghS. S.SinghN. P. (2020). Enhancing farm income and system productivity in soybean-lentil through land configuration, conservation tillage, seed priming and mulching under rainfed Central India. J. Food Legumes331, 41–47.
34
PraharajC. S.KumarN.SinghU.SinghS. S.SinghJ. (2015). Transplanting in pigeonpea-A contingency measure for realizing higher productivity in Eastern Plains of India. J. Food Legumes28, 34–39.
35
PriyankaK.MuniswamyS.LokeshaR.GirishG.SumaT. C.MahalingD. M. (2018). Genotypic response to Fusarium wilt and sterility mosaic disease and morphological characterization of pigeonpea (Cajanus cajan (L.) Millsp.) genotypes. Environ. Ecol.362, 430–436.
36
RajeshN.PaulapandiV. K.DuraisinghR. (2013). “Effect of transplanted pigeonpea and foliar nutrition improves the physiological characters,” in Ergonomics for Enhanced Productivity (Tamil Nadu Agricultural University, Madurai), 12.
37
RiazM.RaghupathiD.VenkateshM. (2020). A study on analysis of gap in technology application and participation in extension activities of redgram (Cajanus cajan L. Millsp) growers in Karnataka, India. J. Pharmacognosy Phytochem.9, 1176–1181.
38
SannathimaappaH. G.Kumar NaikA. H.JangandiS. S.BMA. K.KumarO.MaruteshaA. M.et al. (2020). Effect of spacing and age of seedlings for transplanted Redgram on economics under protective irrigation for central and transitional zone Karnataka. Int. J. Chem. Stud.8, 2121–2123. doi: 10.22271/chemi.2020.v8.i6ad.11088
39
SawargaonkarG. L.DattaA.KamdiP. J.PasumarthiR.DavalaM. S.PanigrahiU.et al. (2025). Bundled management practices for enhanced finger millet productivity in Acid Soils: Empirical Evidence from Odisha, India. J. Agric. Food Res., 21, 101946. doi: 10.1016/j.jafr.2025.101946
40
SawargaonkarG. L.DavalaM. S.RakeshS.KamdiP. J.KhopadeR. Y.NuneR.et al. (2024a). Envirotyping helps in better understanding the root cause of success and limitations of rainfed production systems. Front. Environ. Sci.12, 1417199. doi: 10.3389/fenvs.2024.1417199
41
SawargaonkarG. L.Girish ChanderG. C.WaniS. P.DasguptaS. K.PardhasaradhiG. (2018). “Increasing agricultural productivity of farming systems in parts of central India-Sir Ratan Tata Trust initiative,” in Corporate social responsibility: win-win propositions for communities, corporates and agriculture (CAB International, Wallingford UK), 161–179.
42
SawargaonkarG.PasumarthiR.KaleS.ChoudhariP.RakeshS.MutnuriS.et al. (2024b). Valorization of peanut shells through biochar production using slow and fast pyrolysis and its detailed physicochemical characterization. Front. Sustain.5. doi: 10.3389/frsus.2024.1417207
43
SawargaonkarG. L.PatilM. D.WaniS. P.PavaniE.ReddyB. V. S. R.MarimuthuS. (2013). Nitrogen response and water use efficiency of sweet sorghum cultivars. Field Crops Res.149, 245–251. doi: 10.1016/j.fcr.2013.05.009
44
SawargaonkarG. L.WaniS. P.PatilM. D. (2012). “Enhancing water use efficiency of maize-chickpea sequence under semiarid conditions of southern India,” in Third International Agronomy Congress: Agriculture Diversification, Climate Change Management and Livelihoods. New Delhi, India: Indian society of agronomy, Indian Council of Agricultural Research (ICAR)..
45
SaxenaK.BohraA.ChoudharyA. K.SultanaR.SharmaM.PazhamalaL. T.et al. (2021). The alternative breeding approaches for improving yield gains and stress response in pigeonpea (Cajanus cajan). Plant Breed.140, 74–86. doi: 10.1111/pbr.12863
46
SaxenaK.KumaR.SultanaR. (2010). Quality nutrition through pigeonpea - A review. Health2, 1335–1344. doi: 10.4236/health.2010.211199
47
SharmaA.SharmaM.SharmaK. C.SinghY.SharmaR. P.SharmaG. D. (2014). Standardization of sowing date and cultivars for seed production of garden pea (Pisum sativum var. Hortense l.) under north western Himalayas. Legume Res.37, 287–293. doi: 10.5958/j.0976-0571.37.3.043
48
SujathaH. T.BabaladH. B. (2018). System productivity and economics of transplanted and direct sown pigeonpea at different cropping geometry and intercropping systems. Int. J. Pure App. Biosci.6.1, 694–700.
49
TabatabaiM. A. (1996). “Sulphur,” in Methods of Soil Analysis, Part 3: Chemical Methods. Ed. SparksD. L. (ASA-CSSA-SSSA, Madison, WI), 921–960.
50
TiwariK. P.NamrataJ. (2020). Performance of transplanted pigeonpea [Cajanus cajan (L) Millsp.] under rainfed conditions of Northern Hill Zone of Chhattisgarh, Madhya Pradesh. Int. J. Curr. Microbiol. Appl. Sci.9, 3100–3106. doi: 10.20546/ijcmas.2020.907.365
51
UprikarA. S. (2017). Performance of pigeonpea varieties under different sowing dates. M. Sc. (Agri.) Thesis, Mahatma Phule Krishi Vidyapeeth, Rhauri. Maharashtra, India.
52
VenkateshB.ReddyM. M.SawargaonkarG.PadmajaB.GopalakrishnanS.ReddyK.et al. (2023). Bio-inoculated nutrient management influence on soil nutrient availability pattern and growth of hybrid pigeonpea (ICPH 2740) under establishment methods and crop geometry. Legume Res.46, 1490–1495. doi: 10.18805/LR-5188
53
VenkateshB.ReddyM. M.SawargaonkarG. L.SaradaC. (2025). Hybrid pigeonpea (ICPH 2740) nodular activity and biological nitrogen fixation as influenced by agronomic practices. Legume Research-An Int. J.1, 6. doi: 10.18805/LR-5167
Summary
Keywords
genotype × management, seedling transplanting, yield, water productivity, soil carbon sequestration
Citation
Sawargaonkar GL, Kamdi PJ, Kale S, Shinde S, Das SS, Kausadikar H, Singh R and Jat ML (2025) Leveraging genotype × management synergies to enhance pigeonpea productivity, profitability, and sustainability in semi-arid tropics. Front. Agron. 7:1590421. doi: 10.3389/fagro.2025.1590421
Received
09 March 2025
Accepted
02 July 2025
Published
07 August 2025
Volume
7 - 2025
Edited by
Sangeeta Lenka, Indian Institute of Soil Science (ICAR), India
Reviewed by
Muhammad Ansar Farooq, National University of Sciences and Technology (NUST), Pakistan
Sanatan Pradhan, Indian Council of Agricultural Research (ICAR), India
Updates
Copyright
© 2025 Sawargaonkar, Kamdi, Kale, Shinde, Das, Kausadikar, Singh and Jat.
This is an open-access article distributed under the terms of the Creative Commons Attribution License (CC BY). The use, distribution or reproduction in other forums is permitted, provided the original author(s) and the copyright owner(s) are credited and that the original publication in this journal is cited, in accordance with accepted academic practice. No use, distribution or reproduction is permitted which does not comply with these terms.
*Correspondence: Prasad J. Kamdi, Prasad.Kamdi@icrisat.org
Disclaimer
All claims expressed in this article are solely those of the authors and do not necessarily represent those of their affiliated organizations, or those of the publisher, the editors and the reviewers. Any product that may be evaluated in this article or claim that may be made by its manufacturer is not guaranteed or endorsed by the publisher.