Your new experience awaits. Try the new design now and help us make it even better

SYSTEMATIC REVIEW article

Front. Cardiovasc. Med., 20 October 2025

Sec. Hypertension

Volume 12 - 2025 | https://doi.org/10.3389/fcvm.2025.1604112

This article is part of the Research TopicExploring the Role of Exercise in Hypertension and Blood Pressure VariabilityView all 9 articles

Comparing the efficacy of different types of exercise therapy in patients with essential hypertension: a systematic review and network meta-analysis


Longcheng LiuLongcheng Liu1Jiale WangJiale Wang1Xiaodi JiXiaodi Ji1Anqi WangAnqi Wang1Shuo YangShuo Yang2Xiaojian ChiXiaojian Chi1Lingqian HuLingqian Hu1Baolin ZhangBaolin Zhang1Lihong Ma

Lihong Ma1*
  • 1Fuwai Hospital, Chinese Academy of Medical Sciences and Peking Union Medical College, Beijing, China
  • 2Second Affiliated Hospital of Xi'an Jiaotong University, Xi'an Jiaotong University, Xi'an, China

Objective: To compare the efficacy of different types of exercise modalities such as Tai Chi, Baduanjin, and Aerobic exercise in the treatment of hypertension.

Methods: This article retrieved randomized controlled trials (RCTs) from the establishment of databases such as CNKI, WanFang, VIP, CBM, PubMed, Embase, Web of Science, and Cochrane Library to December 9, 2024. After assessing the risk of bias using the Cochrane risk of bias tool, a network meta-analysis was performed using Rev Man 5.4 and Stata 15 software. The primary outcome indicator of this article is Ambulatory Blood Pressure Measurement (ABPM), which includes 24-h average systolic blood pressure (SBP) and 24-h average diastolic blood pressure (DBP).

Results: A total of 63 RCTs meeting the criteria were included, involving 5,663 patients. The network meta-analysis results showed that compared with the control group, Light-intensity continuous training (LIAE)+antihypertensive medication [WMD = −1.82, 95%CI(−2.93, −0.71)] was the most effective intervention for lowering SBP. For lowering DBP, Wuqinxi + antihypertensive medication [WMD = −2.78, 95% CI (−4.1,−1.45)] was the most effective intervention. And the differences were statistically significant (P < 0.05).

Conclusion: Exercise therapy combined with antihypertensive drugs may achieve a more significant blood pressure-lowering effect, and LICT, Wuqinxi, and Liuzijue may be higher priority options.

Systematic Review Registration: http://wwwcrdyork.ac.uk/PROSPERO/, PROSPERO CRD42024626332.

1 Introduction

Hypertension is one of the most significant health issues globally. It has a high prevalence rate and is highly predisposed to giving rise to complications such as cardiovascular diseases and chronic kidney diseases. It is also one of the major factors contributing to the reduction of the average lifespan (1, 2). Currently, the prevalence of hypertension continues to increase, and the overall prevalence rates of hypertension in males and females are relatively similar (1). In a global epidemiological survey, high systolic blood pressure (SBP) was identified as the primary risk factor for mortality (accounting for 10.4 million deaths) and disability-adjusted life years (DALYs) (amounting to 218 million) (3). Hypertension is a condition that can potentially be reversed. The traditional treatment mainly relies on pharmacotherapy, yet it is associated with multiple adverse effects and often fails to achieve satisfactory blood pressure control (4, 5). With the advancement of concepts in the diagnosis and treatment of hypertension, lifestyle interventions such as health education, dietary modification, weight management, and stress alleviation have gradually gained popularity (6). In recent years, lifestyle intervention using exercise therapy as an auxiliary method to control blood pressure has gradually gained attention and been recommended by multiple guidelines. On the basis of basic drug treatment, selecting an appropriate exercise therapy for intervention can reduce the side effects of drugs and achieve a better blood pressure control effect (7).

As a component of physical therapy, exercise therapy refers to a lifestyle that involves regular engagement in various forms of physical exercise—an approach that can also serve as a preventive measure against diseases. Notably, this therapy holds value across all stages of hypertension management, as physical exercise can be utilized for the prevention, treatment, and ongoing control of the condition (8). Beyond conventional exercise modalities like aerobic exercise, resistance training, and high-intensity interval training (HIIT), traditional Chinese exercises—including Tai Chi (TC), Baduanjin (BDJ), and Wuqinxi (WQX)—also form key components of exercise therapy. What makes this therapy particularly practical is its inherent advantages: it is easy to implement, low in cost, and associated with minimal adverse effects. These traits have allowed it to be widely applied in the prevention and treatment of a variety of diseases, with its most extensive use seen in the adjuvant treatment of cardiovascular diseases (6, 9).

Currently, numerous studies on the treatment of hypertension with exercise have demonstrated that exercise therapy is highly effective in reducing blood pressure in patients with hypertension (10, 11). However, there is a lack of studies comparing the therapeutic effects of different types of exercise, including aerobic exercises of varying intensities, resistance exercises, yoga, and Traditional China exercises. Moreover, in previous research, the comparison between traditional qigong exercises and conventional exercise therapy has often been overlooked. This article aims to compare the therapeutic effects of different types of exercise on patients with hypertension, with the expectation of providing a reference for the clinical management of hypertension.

2 Methods

The method used to conduct this systematic review has been previously published in a registered protocol [PROSPERO registration: CRD42024626332] (Available from: http://wwwcrdyork.ac.uk/PROSPERO/). The content of the review followed the Preferred Reporting Items for Systematic Reviews and Meta-Analyses (PRISMA) (Supplementary Material 2).

2.1 Databases and retrieval strategy

In this article, a systematic search was conducted in databases such as CNKI (China National Knowledge Infrastructure), Wanfang Data, VIP (Chongqing VIP Information), Sinomed, Embase, Web of Science, PubMed, and Cochrane Library. The search time range was from the establishment of these databases to December 9, 2024. The search strategy combined MeSH (Medical Subject Headings) terms and free terms, and was adjusted according to the search rules of different databases. The specific Chinese search terms included “exercise therapy”, “Baduanjin”, “Taijiquan”, “Wuqinxi”, “Yoga”, “High-Intensity Interval Training”, “High-Intensity Continuous Training”, “traditional qigong exercises”, “hypertension”, etc.; the English search terms included “Hypertension”, “TaiJi”, “Baduanjin”, “Wuqinxi”, “Qigong”, “kinesitherapy”, “High-Intensity Interval Training”, “resistance training”, etc. Taking CNKI and PubMed as examples, the search formulas are shown in Table 1.

Table 1
www.frontiersin.org

Table 1. Search strategy for the PubMed database.

2.2 Inclusion criteria

The inclusion criteria of this study strictly followed the PICOS framework, and the inclusion criteria were as follows: (1) Study type: Published randomized controlled trials (RCTs); (2) Patients: Patients with a clear diagnosis of essential hypertension. There were no specific requirements for the patients' age, gender, etiology, and severity, etc. The diagnostic criteria only needed to meet any one of the domestic and international clinical guidelines for the diagnosis and treatment of hypertension, such as the “Chinese Guidelines for the Prevention and Treatment of Hypertension” (12). The specific diagnostic criteria included SBP ≥ 130 mm Hg (1 mmHg≈0.133 kPa) and/or diastolic blood pressure (DBP) ≥ 80 mmHg, etc.

2.3 Intervention measures

This article aims to study the therapeutic effects of different exercise therapies on patients with essential hypertension. Therefore, studies in which different exercise therapies or a combination of exercise therapy and conventional medications were used for intervention in the observation group were included. Exercise therapy can be used alone as a blank control; alternatively, conventional drug treatment can be selected for the control group, and the observation group can receive exercise therapy intervention on the basis of the treatment in the control group.

2.4 Efficacy indicators

Main Observation Indicators: Ambulatory Blood Pressure Measurement (ABPM), including 24-h average systolic blood pressure and 24-h average diastolic blood pressure (They will be referred to as SBP and DBP hereinafter).

2.5 Exclusion criteria

The exclusion criteria are as follows:(1) Studies that are not randomized controlled trials; (2) Studies involving combined interventions of multiple types of exercises; (3) Articles that are repeatedly published or have been retracted; (4) Literatures for which the full text cannot be downloaded; (5) Literatures with incomplete data of the study subjects and without descriptions of the efficacy indicators; (6) Studies related to secondary hypertension.

2.6 Literature screening and data extraction

Two authors (Liu Longcheng and Wang Jiale from Peking Union Medical College) separately completed the screening and extraction of the literatures. Firstly, the literatures that were obviously irrelevant to this article were excluded by reading the titles and abstracts. Then, the literatures that did not meet the conditions of this study were excluded after downloading the full texts and reading them carefully. After the data extraction was completed, the results were compared. In case of any discrepancies, a third researcher was invited to discuss and make a decision together. Finally, the Excel software was used for data extraction. The extracted data included information such as the authors, publication time, study subjects, sample size, intervention measures, treatment course, and efficacy indicators.

2.7 Risk of bias assessment

In this article, the bias risk tool described in Cochrane Handbook 5.1.0 was used to assess the methodological quality of the included RCTs. The evaluation mainly covered the following aspects: random allocation method, allocation concealment, blinding of participants, blinding of outcome assessment, data completeness, selective reporting, and other biases. For each item, the risk was respectively determined as “unclear bias risk”, “low bias risk”, or “high bias risk”.

2.8 Statistical analysis

The primary outcome of this article is 24-h average blood pressure. To ensure the accuracy of the results, this article calculates the differences between the BP and BP at the study baseline and the endpoint as the research data. The standard deviation of the differences is calculated using the Pearson correlation coefficient related to the blood pressure before and after the intervention. The calculation formula is as follows (13):

SD2change=SD2baseline+SD2final(2×Corr×SDbaseline×SDfinal)

In this article, software such as Stata 15.0 and Rev Man 5.4 were used for data analysis in the Network analysis. For the measurement data in this article, the weighted mean difference (WMD) and its 95% confidence interval (CI) were used for analysis. When there are loops in the Network map, the node—splitting method is used for the inconsistency test. When P > 0.05, it is considered that there is no heterogeneity. The Stata 15.0 software is used to conduct the cumulative ranking curve (SUCRA) curve ranking to obtain the optimal intervention measure. Meta-regression and sensitivity analysis were performed using Stata 15.0. The Stata 15.0 software is used to conduct Begg's test. If P > 0.05, it proves that there is no publication bias.

3 Results

3.1 Literature screening

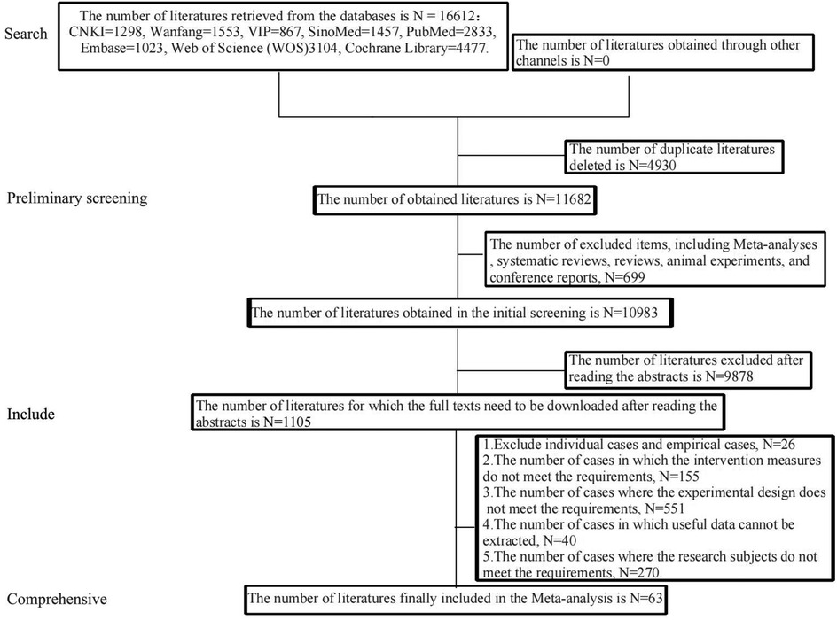
A total of 16,612 literatures were initially retrieved. After removing the duplicate and incorrect literatures, 11,682 literatures remained. Then, 699 literatures, including Meta-analyses, systematic reviews, animal experiments, and conference reports, were excluded. After reading the titles and abstracts, 9,878 literatures were excluded. Finally, 63 literatures were included after reading the full texts. The intervention measures involved a total of 12 types of exercise therapies, namely TC, BDJ, WQX, low-intensity aerobic exercise(LIAE), moderate-intensity aerobic exercise(MIAE), Liuzijue(LZJ), Isometric exercise(IE), Isometric grip strength(IGS), HIIT, Qigong(QG), Resistance training(RT), and Yoga. The process of inclusion and exclusion is shown in Figure 1.

Figure 1
Flowchart illustrating literature screening for meta-analysis. Initial search retrieved 16,612 items. After preliminary screening and duplicate removal, 10,983 items remained. Further abstracts review resulted in 1,105 items needing full texts. Exclusions based on criteria reduced this number to 63 final literatures included.

Figure 1. The process of literature inclusion and exclusion.

3.2 Basic characteristics of the included literature

A total of 63 RCTs (1476) were finally included, among which (1427, 2967, 6970, 7276) were two-arm trials and 3 trials (28, 68, 71) were three-arm trials. The total sample size was 5,663 cases, including 2,826 cases in the experimental group and 2,837 cases in the control group. The shortest course of treatment in the observation group was 6 weeks, and the longest was 12 months. The most common practice frequency was 1–2 times a day, and the duration of each practice mostly remained around 2 h. The baseline data of the patients were all comparable. The basic characteristics of the included literature are shown in Table 2.

Table 2
www.frontiersin.org

Table 2. Basic characteristics of the literature.

3.3 Assessment of bias risk

Using the RoB scale recommended by Cochrane as the evaluation tool, and the risk bias graph was drawn by the Revman software. A total of 38 RCTs (19, 2123, 26, 2830, 36, 37, 40, 41, 43, 45, 46, 49, 50, 52, 53, 55, 61, 63, 6571, 7376) mentioned randomization, but did not describe the specific method, and were rated as “unclear bias risk”; 23 RCTs (14, 1618, 20, 25, 27, 3134, 3739, 42, 44, 47, 48, 54, 56, 57, 62, 64) used the random number table method, and 4 RCTs (5860, 72) used computer randomization, all of which were rated as “low bias risk”. 2 RCTs (24, 51) used the odd-even method and convenience sampling method, and were rated as “high bias risk”. All the literatures did not mention allocation concealment and other sources of bias, and were all rated as “unclear bias risk”. In terms of the implementation of blinding, 4 RCTs (64, 66, 72, 73) adopted double blinding and were rated as “low bias risk”; the rest did not mention blinding and were all rated as “unclear bias risk”. In terms of data integrity assessment, most of the articles had no dropped cases and were rated as “low bias risk”, and a small number of articles that mentioned dropped cases all gave reasons and were all rated as “unclear bias risk”. All the articles had no selective reporting bias and were all rated as “low bias risk”, as shown in Figure 2.

Figure 2
Bar chart showing risk of bias in various study aspects: Random sequence generation (mostly unclear, some high), allocation concealment, blinding of participants, outcome assessment, incomplete data, and selective reporting have low or unclear risks. Other bias is unclear. Green indicates low, yellow unclear, and red high risk.

Figure 2. Risk of bias assessment of included studies.

3.4 Evidence network

A total of 63 studies (1476) and 12 intervention measures were included in the network meta-analysis. The network diagram is shown as follows. The inconsistency test indicates good consistency (p > 0.05), and the consistency test model was adopted for statistical analysis. In the figure, the circles represent the intervention measures, and the diameter is positively correlated with the included sample size; the connecting lines represent that there is a direct comparison between the two intervention measures. The thicker the straight line between the two points, the larger the number of relevant RCTs, as shown in Figure 3. The visualization forest plot is shown in Figures 4, 5.

Figure 3
Two radial network diagrams showing node-link visualizations of connections centered on node zero, with edge thickness and node size representing interaction strength. Both diagrams are nearly identical, highlighting strong links between node zero and nodes one, two, and five. Forest plot displaying treatment effect comparisons between various interventions, with point estimates and 95% confidence intervals. Diamonds represent mean effects, and horizontal lines indicate confidence intervals, centered around zero for reference. Forest plot presenting treatment effect comparisons between intervention pairs, with diamonds indicating mean values and horizontal lines representing 95% confidence intervals. The vertical reference line at zero aids in interpreting statistical significance.

Figure 3. Network map.

Figure 4
Two line graphs display cumulative probability against rank for various activities, denoted by different colored and styled lines. Both graphs show similar distributions with a legend indicating labels such as CT, BDJ, LIAE, and others, including Yoga. The x-axis ranges from zero to fifteen, and the y-axis ranges from zero to one.

Figure 4. SBP forest plot. The left image is the Network Map of SBP, and the right image is the Network Map of DBP. The corresponding labels are: (0) CT; (1) TC; (2) BDJ; (3) WQX; (4) LIAE; (5) MIAE; (6) LZJ; (7) IE; (8) IGS; (9) HIIT; (10) QG; (11) RT; (12) Yoga.

Figure 5
Two funnel plots compare various exercise interventions. The left plot displays a range of effect sizes from -4 to 2, while the right plot ranges from -3 to 2. Each plot shows dots representing different comparisons, including CT vs HIIT, CT vs Yoga, and more. A legend at the bottom identifies comparisons by color. Both plots include a regression line and dashed lines outlining a funnel shape.

Figure 5. DBP forest plot.

3.5 Network meta-analysis

3.5.1 SBP

A total of 63 studies (1476) reported the results of SBP. Through network meta-analysis, CT + TC [weighted mean difference (WMD) = −0.94, 95%CI (−1.45, −0.43)], CT + BDJ [WMD = −0.83, 95% CI(−1.34, −0.32)], CT + LIAE [WMD = −1.82, 95% CI(−2.93, −0.71)], CT + MIAE [WMD = −1.11, 95% CI(−1.57, −0.65)], CT + Yoga [WMD = −1.13, 95% CI(−1.99, −0.26)] were significantly superior to the control group which only used antihypertensive drugs or nursing measures to reduce SBP. However, as shown in Table 3, there was no statistical significance among other intervention measures.

Table 3
www.frontiersin.org

Table 3. Shows the comparison results of different types of exercise therapies in reducing SBP.

3.5.2 DBP

A total of 63 studies (1476) reported the results of DBP. Through network meta-analysis, compared with traditional antihypertensive drugs and nursing education, etc., CT + TC [WMD = −0.79, 95%CI (−1.28, −0.31)], CT + BDJ [WMD = −0.84, 95% CI(−1.33, −0.36)], CT + WQX [WMD = −2.78, 95% CI(−4.1, −1.45)], CT + LIAE [WMD = −1.98, 95% CI(−3.04, −0.92)], CT + MIAE [WMD = −1.16, 95% CI(−1.6, −0.73)], CT + HIIT [WMD = −1.18, 95% CI(−2.2, −0.17)], CT + Yoga [WMD = −1.32, 95% CI(−2.14, −0.49)] could more significantly reduce DBP. As shown in Table 4, there was no statistical difference between other intervention methods and the control group.

Table 4
www.frontiersin.org

Table 4. Shows the comparison results of different types of exercise therapies in reducing DBP.

3.5.3 SUCRA ranking

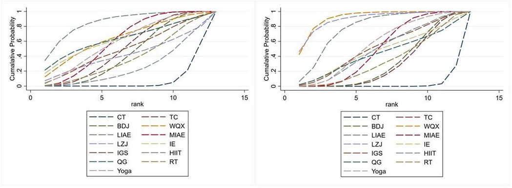
We ranked different exercise therapies according to the results calculated by SUCRA. The SUCRA probability ranking results of different intervention measures in reducing SBP showed that in terms of reducing SBP, LIAE + CT (SUCRA = 85.3%)>MIAE + CT(SUCRA = 60%)>Yoga + CT(SUCRA = 59.6%)>TC + CT(SUCRA = 50.1%)>BDJ + CT(SUCRA = 43.4%)>CT (SUCRA = 7.3%), and other intervention measures had no statistical significance; in terms of reducing DBP, WQX + CT(SUCRA = 91.8%)>LZJ + CT(SUCRA = 89.8%)>LIAE + CT(SUCRA = 77.6%)> Yoga + CT(SUCRA = 54.8%)>MIAE + CT(SUCRA = 49.3%)>HIIT + CT (SUCRA = 48.8%)>BDJ + CT(SUCRA = 31.4%)>TC + CT(SUCRA = 29.4%)>CT (SUCRA = 2.7%), and other intervention measures had no statistical significance See Figure 6 for details.

Figure 6
Two cumulative ranking probability plots comparing multiple exercise interventions across fifteen ranks. Each colored line represents a different intervention, identified by acronyms such as CT, TC, HIIT, Yoga, and others. The y-axis indicates cumulative probability from 0 to 1, and the x-axis represents ranking positions from 1 to 15. The left plot and right plot differ in the ranking distribution of interventions, suggesting comparison across two outcomes or time points. Steeper curves indicate higher probability of top ranks. A legend below both plots maps each intervention acronym to its corresponding dashed line color.

Figure 6. SUCRA ranking.

3.6 Meta-regression

Considering the differences in the types of control groups among the included studies, we conducted a meta-regression analysis to assess their potential impact on the blood pressure-lowering effect. The results of the meta-regression analysis showed that different control types did not affect the systolic blood pressure-lowering effect (P = 0.892 > 0.05); nor did different control types affect the diastolic blood pressure-lowering effect (P = 0.675 > 0.05).

3.7 Sensitivity analysis

To explore the source of heterogeneity, we conducted a sensitivity analysis by excluding individual studies one by one, and the results are detailed in Supplementary Material 1. Consistent with the results of the initial analysis, excluding a single study had little impact on the combined results, which indicates that the combined effect size results of this study are more stable.

3.8 Inconsistency test

Both the network diagrams of SBP and DBP have closed loops. Therefore, a local inconsistency test is required. The results showed that there was no significant difference between the direct and indirect analyses of the network analysis for both SBP and DBP (P > 0.05), indicating good consistency.

3.9 Publication bias

The Stata15.0 software was used to draw the comparison-corrected funnel plots for different outcome indicators, as shown in Figure 7. The results showed that the scatter distributions of each comparison group in the figure were different. Most of the scatter points were distributed on both sides of the vertical line of X = 0, but there were differences in the degree of symmetry, and many literatures deviated from the axis. The results of Egger's test showed that (for SBP, P < 0.05; for DBP, P < 0.05), indicating that there was a certain publication bias in the included literatures.

Figure 7
Two funnel plots displaying the relationship between effect size and standard error for various exercise intervention comparisons. Each point represents a study comparison, color-coded by intervention type as indicated in the legend. The x-axes show effect sizes centered at the comparison-specific pooled effect, and the y-axes represent standard errors, with values decreasing upward. The vertical red lines indicate zero effect, and the dashed diagonal lines outline the 95 percent confidence interval region. Slight asymmetry in the plots suggests potential publication bias or heterogeneity. The left and right plots likely compare different outcomes or subgroup analyses.

Figure 7. Bias-specific pooled effect.

4 Discussion

4.1 Summary

In recent years, numerous epidemiological studies have linked hypertension to higher risks of stroke, ischemic heart disease, and heart failure (13). Meanwhile, hypertension prevalence in China has risen annually, with a more notable upward trend among young people and in rural areas. Though awareness of hypertension has improved among Chinese patients, it remains relatively low overall (12). Studies confirm active exercise intervention effectively maintains and lowers blood pressure. Thus, the latest hypertension guidelines widely recommend exercise therapies—primarily aerobic and resistance exercise—for hypertension prevention and treatment (7, 12). Specifically, aerobic exercise can reduce adult blood pressure by 5–7 mmHg, while resistance training has an even better blood pressure-lowering effect (10). Aerobic exercise of all intensities works, but many struggle to stick with it long-term due to poor baseline fitness, overly long training sessions, or environmental factors (77).

Currently, traditional exercises (Tai Chi, Baduanjin, Wuqinxi, Liuzijue) are widely used in hypertension management, with clinical studies verifying their good blood pressure-lowering effects (78). This article compares the efficacy of different exercise therapies (aerobic, resistance, yoga, traditional exercises) in hypertension patients. It included 63 RCTs (total sample: 5,663 cases; 2,826 in experimental group, 2,837 in control group) and evaluated 12 exercise therapies. Results showed combinations like TC + CT, BDJ + CT, LIAE + CT, MIAE + CT, WQX + CT, LZJ + CT, HIIT + CT, and Yoga + CT had the best effects—LIAE + CT was most effective for SBP reduction, and WQX + CT for DBP reduction.

In this article, various types of exercise therapies are mentioned. Among them, common types such as low-intensity aerobic exercise are characterized by low exercise intensity, with the heart rate being approximately 60%–70% of the maximum heart rate. It mainly relies on aerobic metabolism for energy supply, has a long duration, and is highly safe. Moderate-intensity aerobic exercise has the characteristics of moderate intensity, with the heart rate reaching 70%–85% of the maximum heart rate. It is supplied with energy through a mixture of aerobic and anaerobic metabolism and poses a certain challenge. Resistance exercise, through means such as equipment, elastic bands, or one's own body weight, resists resistance. It can increase muscle mass, enhance strength, and improve metabolism, etc. In addition to these more well-known exercises, some traditional exercises have gradually been widely applied in clinical diagnosis and treatment. Among them, Wuqinxi was created by Hua Tuo, a famous traditional Chinese medicine doctor in China. Its movements are derived from tigers, deer, bears, apes, and birds in nature. Practicing Wuqinxi can mobilize the muscles and bones, dredge the qi and blood, prevent and treat diseases. The strength, speed, and other aspects of its choreographed movements conform to the characteristics of aerobic exercise, but attention also needs to be paid to the regulation of form, spirit, intention, and qi, etc. (79). Tai Chi, as one of the most widely spread traditional exercises, is not a single type of exercise. Instead, it combines the rotation and movement of the human body, following the law of “force originates from the ground and strength is generated from the root”. It can exercise the heart and lungs, move the joints, and is helpful for the control of blood pressure (80, 81).

4.2 Prospects

Studies have shown that exercise therapy has a wide range of applicable populations and no toxic or side effects. Notably, it acts on multiple systems simultaneously—including the cardiovascular, metabolic, nervous, and musculoskeletal systems—meaning it not only delays the progression of chronic diseases such as hypertension, diabetes, and arteriosclerosis, but also reduces the risk of cardiovascular events (9, 11, 82).

Building on this understanding of its benefits, the currently known specific mechanisms linking exercise therapy to hypertension prevention and treatment include: promoting the release of nitric oxide (NO), reducing endothelin-1 (ET-1) concentration to improve vascular function; inhibiting sympathetic nerve activity and regulating the renin-angiotensin system; reducing body weight and improving metabolism; and alleviating inflammatory responses (78, 84). However, the specific and complex microscopic mechanisms behind its blood pressure-lowering effect remain unclear. For instance, the differential ways in which different exercise types (such as traditional Chinese exercises and high-intensity interval training) regulate vascular endothelial function and neuroendocrine pathways, as well as the quantitative correlation between exercise intensity, duration, and blood pressure-lowering effect, have yet to form a systematic conclusion.

To address this gap, future research should proceed across three key dimensions. First, in clinical trials, researchers need to further verify the blood pressure-lowering effects of different exercise therapies through randomized controlled trials (RCTs) with larger sample sizes and longer follow-up periods. Crucially, a quantitative model should be established by linking quantifiable indicators—such as cardiopulmonary exercise testing results, inflammatory factors, and vascular endothelial factors—to blood pressure-lowering effects. This model will help analyze the exercise prescription thresholds for patients with different types of hypertension. Second, in basic research, animal and cell experiments can be used to explore the microscopic mechanisms of exercise intervention in lowering blood pressure. Specifically, these experiments can analyze the molecular regulatory networks through which exercise acts on vascular smooth muscle cells and myocardial cells, filling the current gap in microscopic mechanism research. Finally, in future clinical applications, promoting the popularization of heart rate monitoring devices (such as smart bracelets) will enable precise regulation of exercise programs. At the same time, it is necessary to explore the optimal combined programs of exercise therapy with other lifestyle interventions (such as diet adjustment) to further improve patient compliance. Collectively, these future prospects will not only refine the basic theoretical system of exercise therapy but also provide more operable clinical strategies for hypertension prevention and treatment—ultimately reducing the social burden of the disease.

4.3 Advantages and limitations of the study

In previous related studies, researchers often focused on comparing exercise modes with different intensities or different training methods, or only focused on traditional Chinese exercises while ignoring the overall concept of exercise therapy. For the first time, this article adopts the overall perspective of exercise therapy to conduct a comprehensive and systematic summary and comparison of various exercise therapies, including aerobic exercise of different intensities, resistance training, yoga, and traditional Chinese exercises. A total of 63 randomized controlled trials (RCTs) were included in the study, and for the first time, studies related to low-intensity aerobic exercise were incorporated, aiming to provide a basis for clinical diagnosis and treatment. On the other hand, the primary outcome indicator of this article is ABPM, which can assess the changing trends and short-term variability of patients' blood pressure under different environments, body positions, and emotional states (83). The ESC Guidelines for the Management of Arterial Hypertension points out that ABPM is capable of diagnosing special hypertension phenotypes such as nocturnal hypertension, transient hypotension, and post-exercise hypertension, as well as identifying white-coat hypertension and masked hypertension (7). Compared with office blood pressure, ABPM has higher specificity and can predict cardiovascular and cerebrovascular events and mortality more accurately (83). Finally, strict screening was carried out for the included literatures in this article, ensuring the quality of the included literatures and enhancing the credibility of the article.

The limitations of this article are as follows. First, publication bias is relatively obvious: all included studies show positive results, but unpublished negative results cannot be ruled out, which may affect the study's reliability. Second, some exercise types have relatively few studies and small sample sizes, requiring further verification. Third, double blinding is difficult to achieve in exercise therapy-related RCTs; inconsistencies in included studies (such as hypertension levels and medication use) have also affected the reliability and accuracy of results to some extent. Fourth, the primary outcome indicator is ABPM. Compared with office blood pressure measurement, ABPM is more costly and may disrupt patients' sleep quality, reducing compliance. Finally, this article did not include studies on combined exercises or direct comparisons of different exercises, which may have impacted the results.

5 Conclusion

In conclusion, network analysis results confirm that exercise therapy can significantly reduce 24-hour average blood pressure. Notably, both conventional exercise training (such as aerobic exercise of different intensities, resistance training, etc.) and traditional Chinese exercises (such as Tai Chi, Baduanjin, etc.) exhibit good blood pressure-lowering effects for hypertension patients. Crucially, the conclusions of this study hold practical reference value for clinical application: medical workers can formulate individualized exercise prescriptions based on patients’ specific conditions. For instance, low-intensity aerobic exercise or Tai Chi may be selected for elderly patients or those with poor baseline physical fitness; moderate-intensity aerobic exercise or resistance training can be adopted for young patients or those with good physical fitness; and for patients with other comorbid basic diseases (such as obesity), fat reduction training can be incorporated and combined with lifestyle interventions like dietary adjustment. Through this tailored approach, long-term individualized exercise prescription management for hypertension patients can be effectively ensured. It is worth noting, however, that due to the limitations in the quality and quantity of the included studies, these conclusions still require further verification through high-quality clinical trials.

Data availability statement

The raw data supporting the conclusions of this article will be made available by the authors, without undue reservation.

Author contributions

LL: Conceptualization, Data curation, Formal analysis, Funding acquisition, Investigation, Methodology, Project administration, Resources, Software, Supervision, Validation, Visualization, Writing – original draft, Writing – review & editing. JW: Conceptualization, Data curation, Formal analysis, Funding acquisition, Investigation, Methodology, Project administration, Resources, Software, Supervision, Validation, Visualization, Writing – original draft, Writing – review & editing. XJ: Writing – original draft, Writing – review & editing. AW: Writing – original draft, Writing – review & editing. SY: Data curation, Software, Writing – original draft, Writing – review & editing. XC: Conceptualization, Writing – original draft, Writing – review & editing. LH: Writing – original draft, Writing – review & editing. BZ: Writing – original draft, Writing – review & editing. LM: Conceptualization, Data curation, Formal analysis, Funding acquisition, Investigation, Methodology, Project administration, Resources, Software, Supervision, Validation, Visualization, Writing – original draft, Writing – review & editing.

Funding

The author(s) declare that financial support was received for the research and/or publication of this article. The authors of this article declare that this article is supported by two funds: “Project of the National Key Research and Development Program: Technologies for Patient Discharge Assessment and Continuous Out-of-Hospital Care, 2021ZD0111003” and “Project for the Construction of “Flagship” Department of Integrated Traditional Chinese and Western Medicine in Beijing, PM202405280003”.

Conflict of interest

The authors declare that the research was conducted in the absence of any commercial or financial relationships that could be construed as a potential conflict of interest.

Generative AI statement

The authors declare that no Generative AI was used in the creation of this manuscript.

Any alternative text (alt text) provided alongside figures in this article has been generated by Frontiers with the support of artificial intelligence and reasonable efforts have been made to ensure accuracy, including review by the authors wherever possible. If you identify any issues, please contact us.

Publisher's note

All claims expressed in this article are solely those of the authors and do not necessarily represent those of their affiliated organizations, or those of the publisher, the editors and the reviewers. Any product that may be evaluated in this article, or claim that may be made by its manufacturer, is not guaranteed or endorsed by the publisher.

Supplementary material

The Supplementary Material for this article can be found online at: https://www.frontiersin.org/articles/10.3389/fcvm.2025.1604112/full#supplementary-material

References

1. Kearney PM, Whelton M, Reynolds K, Muntner P, Whelton PK, He J. Global burden of hypertension: analysis of worldwide data. Lancet. (2005) 365(9455):217–23. doi: 10.1016/S0140-6736(05)17741-1

PubMed Abstract | Crossref Full Text | Google Scholar

2. Mills KT, Bundy JD, Kelly TN, Reed JE, Kearney PM, Reynolds K, et al. Global disparities of hypertension prevalence and control: a systematic analysis of population-based studies from 90 countries. Circulation. (2016) 134(6):441–50. doi: 10.1161/CIRCULATIONAHA.115.018912

PubMed Abstract | Crossref Full Text | Google Scholar

3. GBD 2017 Risk Factor Collaborators. Global, regional, and national comparative risk assessment of 84 behavioural, environmental and occupational, and metabolic risks or clusters of risks for 195 countries and territories, 1990–2017: a systematic analysis for the global burden of disease study 2017. Lancet. (2018) 392(10159):1923–94. doi: 10.1016/S0140-6736(18)32225-6

PubMed Abstract | Crossref Full Text | Google Scholar

4. Reinhart M, Puil L, Salzwedel DM, Wright JM. First-line diuretics versus other classes of antihypertensive drugs for hypertension. Cochrane Database Syst Rev. (2023) 7(7):CD008161. doi: 10.1002/14651858.CD008161.pub3

PubMed Abstract | Crossref Full Text | Google Scholar

5. Messerli FH, Williams B, Ritz E. Essential hypertension. Lancet. (2007) 370(9587):591–603. doi: 10.1016/S0140-6736(07)61299-9

PubMed Abstract | Crossref Full Text | Google Scholar

6. Fletcher GF, Landolfo C, Niebauer J, Ozemek C, Arena R, Lavie CJ. Promoting physical activity and exercise: JACC health promotion series. J Am Coll Cardiol. (2018) 72(14):1622–39. doi: 10.1016/j.jacc.2018.08.2141

PubMed Abstract | Crossref Full Text | Google Scholar

7. McEvoy JW, McCarthy CP, Bruno RM, Brouwers S, Canavan MD, Ceconi C, et al. 2024 ESC guidelines for the management of elevated blood pressure and hypertension. Eur Heart J. (2024) 45(38):3912–4018. doi: 10.1093/eurheartj/ehae178. Erratum in: Eur Heart J. 2025 46(14):1300. doi: 10.1093/eurheartj/ehaf031.39210715

PubMed Abstract | Crossref Full Text | Google Scholar

8. Cornelissen VA, Fagard RH. Effects of endurance training on blood pressure, blood pressure-regulating mechanisms, and cardiovascular risk factors. Hypertension. (2005) 46(4):667–75. doi: 10.1161/01.HYP.0000184225.05629.51

PubMed Abstract | Crossref Full Text | Google Scholar

9. Lavie CJ, Ozemek C, Carbone S, Katzmarzyk PT, Blair SN. Sedentary behavior, exercise, and cardiovascular health. Circ Res. (2019) 124(5):799–815. doi: 10.1161/CIRCRESAHA.118.312669

PubMed Abstract | Crossref Full Text | Google Scholar

10. MacDonald HV, Johnson BT, Huedo-Medina TB, Livingston J, Forsyth KC, Kraemer WJ, et al. Dynamic resistance training as stand-alone antihypertensive lifestyle therapy: a meta-analysis. J Am Heart Assoc. (2016) 5(10):e003231. doi: 10.1161/JAHA.116.003231

PubMed Abstract | Crossref Full Text | Google Scholar

11. Dai L, Jiang Y, Wang P, Chen K. Effects of three traditional Chinese fitness exercises combined with antihypertensive drugs on patients with essential hypertension: a systematic review and network meta-analysis of randomized controlled trials. Evid Based Complement Alternat Med. (2021) 2021:2570472. doi: 10.1155/2021/2570472

PubMed Abstract | Crossref Full Text | Google Scholar

12. Revision Committee of Chinese Guidelines for the Prevention and Treatment of Hypertension, Hypertension League (China), Hypertension Branch of China International Exchange and Promotion Association for Medical and Healthcare, etc. Chinese guidelines for the prevention and treatment of hypertension (2024 revised edition). Chin J Hypertens. (2024) 32(07):603–700.

Google Scholar

13. Lewington S, Clarke R, Qizilbash N, Peto R, Collins R, Prospective Studies Collaboration. Age-specific relevance of usual blood pressure to vascular mortality: a meta-analysis of individual data for one million adults in 61 prospective studies. Lancet. (2002) 360(9349):1903–13. doi: 10.1016/s0140-6736(02)11911-8

PubMed Abstract | Crossref Full Text | Google Scholar

14. Chunling D, Yali Z. Application of “blood pressure lowering baduanjin” in blood pressure control of middle-aged patients with grade I essential hypertension. Mil Nurs. (2016) 33(20):32–5. CNKI:SUN:JFHL.0.2016-20-011

Google Scholar

15. Qinghua H, Youling Q, Xiaoli L, Huan Z, Jiewen X. Effects and mechanism of 12-week tai chi exercise on microvascular reactivity in middle-aged and elderly patients with mild hypertension. Chin J Appl Physiol. (2021) 37(6):683–7.

Google Scholar

16. Huan X. Effects of the 24-style simplified tai chi on blood pressure and quality of life of patients with hypertension. Hubei J Trad Chin Med. (2016) 38(7):38–9. CNKI:SUN:HBZZ.0.2016-07-018

Google Scholar

17. Xiaobin W, Luping Y. Influence of the 24-style simplified tai chi on elderly patients with essential hypertension complicated with mild anxiety state. Fujian J Trad Chin Med. (2019) 50(4):73–5. doi: 10.13260/j.cnki.jfjtcm.011881

Crossref Full Text | Google Scholar

18. Lijuan F, Li G, Dailiang Z, Zhongchen L, Mengxiao L, Rongjiang J, et al. Clinical evaluation of the antihypertensive effect and blood lipid level of the 24-style tai chi in elderly patients with essential hypertension. Chin J Convale Med. (2018) 27(10):1009–13. doi: 10.13517/j.cnki.ccm.2018.10.001

Crossref Full Text | Google Scholar

19. Yujie Z. Influence of baduanjin exercise on blood pressure control, psychological state and sleep quality of elderly patients with hypertension. China Sci Technol J Database Med. (2023) 5:1–4.

Google Scholar

20. Fang L, Qiongxia H. Efficacy observation of baduanjin exercise in the treatment of grade 1 hypertension in the elderly. Chi J Geriatr Care. (2014) 3:25–6. doi: 10.3969/j.issn.1672-4860.2014.03.009

Crossref Full Text | Google Scholar

21. Hongyu L, Chuyan H, Dianhong L. Effects of baduanjin on blood pressure and quality of life of patients with isolated systolic hypertension. Rehabil Trad Chin Med. (2016) 7(16):12–4, 15.

Google Scholar

22. Hui C, Yana Z. Effects of baduanjin on blood pressure and Serum high-sensitivity C-reactive protein in patients with essential hypertension. Chin J Rehabil Med. (2012) 27(2):178–9. doi: 10.3969/j.issn.1001-1242.2012.02.023

Crossref Full Text | Google Scholar

23. Chen C. Effect analysis of baduanjin combined with health education intervention on middle-aged and elderly patients with hypertension. Jiangxi J Trad Chin Med. (2021) 52(12):40–1, 60.

Google Scholar

24. Liwei Z, Qingyue C, Feng C, Lijuan M, Jianxing Z. Effects of baduanjin exercise on vascular endothelial function of elderly patients with grade 1 hypertension. Chin J Rehabil Med. (2014) 29(3):223–7.

Google Scholar

25. Yunhua L, Seqing L, Chunlei H, Hong W, Ying P. Effects of baduanjin exercise intervention on blood pressure and blood lipids of patients with essential hypertension. Henan Trad Chin Med. (2014) 34(12):2380–1. doi: 10.16367/j.issn.1003-5028.2014.12.102

Crossref Full Text | Google Scholar

26. Zhanmei H, Xia W, Linhong Z, Suyun H, Dan P, Ziyu Z. Observation on the application effect of baduanjin in the health management of patients with grade 1 hypertension. Jiangxi J Trad Chin Med. (2021) 52(11):34–7. CNKI:SUN:JXZY.0.2021-11-013

Google Scholar

27. Yakang X. Effects of the eight-style taijiquan exercise on blood pressure level, vascular endothelial function and quality of life of patients with essential hypertension. Chin J Gerontol. (2018) 38(10):2403–5. CNKI:SUN:ZLXZ.0.2018-10-043

Google Scholar

28. Jingyuan L. Comparative analysis of the therapeutic effects of different exercise methods on elderly patients with essential hypertension. Guide China Med. (2019) 17(12):141–2. doi: 10.15912/j.cnki.gocm.2019.12.107

Crossref Full Text | Google Scholar

29. Chunli Y. Effects of low-intensity exercise therapy combined with health education on the quality of life and blood pressure of elderly patients with hypertension. Chin Gen Pract Nurs. (2015) 13(17):1591–3. CNKI:SUN:JTHS.0.2015-17-005

Google Scholar

30. Peijing H. Evaluation of the effects of low-intensity exercise therapy combined with health education on the quality of life and blood pressure of elderly patients with hypertension. Prevent Treat Cardiovasc Dis. (2020) 10(17):59–61. CNKI:SUN:XUGB.0.2020-17-020

Google Scholar

31. Yingxian Z. Effects of low-intensity exercise therapy combined with health education on the blood pressure self-control level and quality of life of elderly patients with essential hypertension. J Mod Med Health. (2020) 36(3):433–5. CNKI:SUN:XYWS.0.2020-03-038

Google Scholar

32. Linghua S, Ting J, Fang M, Xiaohua T. Application analysis of high-intensity interval training combined with progressive relaxation training in patients with essential hypertension. Chin J Trauma Disabil Med. (2024) 32(17):139–42. doi: 10.13214/j.cnki.cjotadm.2024.017.037

Crossref Full Text | Google Scholar

33. Lei G, Lin P, Mingming Z, Yanjuan F. Study on the therapeutic effect of personalized exercise rehabilitation prescription on patients with grade 1 hypertension. Chin J Cardiovasc Med. (2022) 27(4):361–5. doi: 10.3969/j.issn.1007-5410.2022.04.010

Crossref Full Text | Google Scholar

34. Lixun H, Jianquan Y. Effects of brisk walking combined with taijiquan on blood pressure, blood glucose and blood lipids of elderly patients with hypertension. Hainan Med J. (2015) 14:2053–5. doi: 10.3969/j.issn.1003-6350.2015.14.0742

Crossref Full Text | Google Scholar

35. Qiu L, Xinghui Y. Promoting effect of the fitness baduanjin on the rehabilitation of elderly patients with hypertension. Chin J Gerontol. (2017) 37(12):3024–6. doi: 10.3969/j.issn.1005-9202.2017.12.075

Crossref Full Text | Google Scholar

36. Jian C. Effects of resistance training on the autonomic nervous function of patients with hypertension. Shandong Sports Sci Technol. (2014) 36(5):83–6. doi: 10.14105/j.cnki.1009-9840.2014.05.020

Crossref Full Text | Google Scholar

37. Na Z. Effects of resistance training on blood pressure and lipid metabolism of patients with essential hypertension. Chin J Cardiovasc Rehabil Med. (2018) 27(5):498–501. CNKI:SUN:XXGK.0.2018-05-002

Google Scholar

38. Xue H. Rehabilitation efficacy of baduanjin exercise for elderly patients with hypertension. Chin J Cardiovasc Rehabil Med. (2015) 24(3):252–4.

Google Scholar

39. Xiaoduo Z, Bin D, Zhijian P. Clinical observation of the six-character chanting breathing method in the treatment of hypertension complicated with anxiety and depression. Chin Med Mod Distance Educ China. (2022) 20(23):37–40. CNKI:SUN:ZZYY.0.2022-23-016

Google Scholar

40. Sun J, Buys N, Yichen Q. Effects of community-based mind-body meditative taijiquan training on blood pressure, body weight, renal function, blood lipids and quality of life of Chinese patients with hypertension. Chin J Hypertens. (2016) 24(1):87–9. doi: 10.1016/j.amjcard.2015.07.012

Crossref Full Text | Google Scholar

41. Haolei J, Jiajia P. Effects of taijiquan on 24-hour ambulatory blood pressure and vascular endothelial function of patients with grade 1 essential hypertension. Chin J Sports Med. (2016) 35(3):224–7.

Google Scholar

42. Yamei C, Rong M, Xuyan Z, Qiaoyan W, Fei W, Jingjing W, et al. Application research of taijiquan techniques in the clinical treatment of elderly patients with essential hypertension. Hebei J Trad Chin Med. (2024) 46(1):69–72. doi: 10.3969/j.issn.1002-2619.2024.01.016

Crossref Full Text | Google Scholar

43. Hua L. Clinical study on the treatment of essential hypertension with taijiquan combined with medication. China Med Herald. (2006) 3(33):43–4.

Google Scholar

44. Tao L, Qidong H, Weizhong L. Effects of taijiquan exercise on blood pressure, hemorheology and long-term quality of life of elderly patients with hypertension. Chin J Gerontol. (2018) 38(6):1396–8.

Google Scholar

45. Wen L, Hui L, Hairong L. Intervention study on the effects of the five-animal exercises on blood pressure and obesity of elderly patients with hypertension. Med Inf. (2015) 9:48–9. doi: 10.3969/j.issn.1006-1959.2015.09.062

Crossref Full Text | Google Scholar

46. Huihui Z. Effects of the five-animal exercises on patients with essential hypertension. Med Diet Health. (2022) 20(11):186–8, 192.

Google Scholar

47. Jiangqin X, Yujie S. Study on the influence of the five elements music therapy combined with taijiquan exercise on the blood pressure variability of elderly patients with essential hypertension. Cap Med. (2024) 31(4):122–4.

Google Scholar

48. Yong C, Haiyan C, Fu Z. Exercise intervention in the treatment of grade 1 hypertension in young and middle-aged people. Fujian J Trad Chin Med. (2016) 47(5):56–7.

Google Scholar

49. Yi Z. Observation on the application effect of exercise rehabilitation training in elderly patients with hypertension. Pract Clin J IntegrTrad Chin West Med. (2023) 23(01):50–3. doi: 10.13638/j.issn.1671-4040.2023.01.015

Crossref Full Text | Google Scholar

50. Yanli Y. Influence of exercise therapy on patients with hypertension: a 2-year follow-up observation. Chin J Clin Rehabil. (2002) 6(21):3276–7. CNKI:SUN:XDKF.0.2002-21-122

Google Scholar

51. Tianming D. Evaluation of the effect of exercise therapy on ventricular remodeling in patients with hypertension. J Mod Clin Med. (2017) 43(5):335–6, 339.

Google Scholar

52. Mengmeng S. Influence of exercise therapy on the therapeutic effect of hypertension. J Shandong Med Coll. (2019) 41(6):475–6.

Google Scholar

53. Xiaofang L, Yongxin Z. Efficacy observation of exercise therapy in the treatment of hypertension. Chin J Rehabil Med. (2005) 20(11):823. CNKI:SUN:ZGKF.0.2005-11-006

Google Scholar

54. Minfang W. Discussion on the application of moderate-intensity aerobic exercise rehabilitation therapy in patients with essential hypertension. Prevent Treat Cardiovasc Dis. (2019) 0(17):8–10. CNKI:SUN:XUGB.0.2019-17-004

Google Scholar

55. Xiuling H. Application of moderate-intensity aerobic exercise as a rehabilitation treatment in patients with essential hypertension. Electron J Clin Med Lit. (2019) 6(7):72, 74. doi: 10.16281/j.cnki.jocml.2019.07.065

Crossref Full Text | Google Scholar

56. Qing M, Ping Z. Application research of moderate-intensity aerobic exercise as a rehabilitation treatment in patients with essential hypertension. Cardiovasc Dis J Integr Trad Chin West Med. (2017) 5(26):57. doi: 10.16282/j.cnki.cn11-9336/r.2017.26.041

Crossref Full Text | Google Scholar

57. Yulong G. Application of moderate-intensity aerobic exercise as a rehabilitation treatment in patients with essential hypertension. Cardiovasc Dis J Integr Trad Chin West Med. (2016) 4(11):17–8. doi: 10.16282/j.cnki.cn11-9336/r.2016.11.012

Crossref Full Text | Google Scholar

58. Chan AWK, Chair SY, Lee DTF, Leung DYP, Sit JWH, Cheng HY, et al. Tai chi exercise is more effective than brisk walking in reducing cardiovascular disease risk factors among adults with hypertension: a randomised controlled trial. Int J Nurs Stud. (2018) 88:44–52. doi: 10.1016/j.ijnurstu.2018.08.009

PubMed Abstract | Crossref Full Text | Google Scholar

59. Hou HY, Chen J, Hai L, Wang P, Zhang JX, Li HJ. Effects of exergame and bicycle exercise intervention on blood pressure and executive function in older adults with hypertension: a three-group randomized controlled study. Exp Gerontol. (2023) 173:112099. doi: 10.1016/j.exger.2023.112099

PubMed Abstract | Crossref Full Text | Google Scholar

60. Maruf FA, Akinpelu AO, Salako BL, Akinyemi JO. Effects of aerobic dance training on blood pressure in individuals with uncontrolled hypertension on two antihypertensive drugs: a randomized clinical trial. J Am Soc Hypertens. (2016) 10(4):336–45. doi: 10.1016/j.jash.2016.02.002

PubMed Abstract | Crossref Full Text | Google Scholar

61. Ping W, Qingling Z. Effects of taijiquan exercise on blood pressure, hemorheology and quality of life of elderly patients with hypertension. Healthy Women. (2023) 18:170–2.

Google Scholar

62. Kaiyong N. Application research of moderate-intensity aerobic exercise as a rehabilitation treatment for patients with essential hypertension. Longevity. (2024) 12:7–9.

Google Scholar

63. Cooper AR, Moore LA, McKenna J, Riddoch CJ. What is the magnitude of blood pressure response to a programme of moderate intensity exercise? Randomised controlled trial among sedentary adults with unmedicated hypertension. Br J Gen Pract. (2000) 50(461):958–62.11224966

PubMed Abstract | Google Scholar

64. Cramer H, Sellin C, Schumann D, Dobos G. Yoga in arterial hypertension. Dtsch Arztebl Int. (2018) 115(50):833–9. doi: 10.3238/arztebl.2018.0833

PubMed Abstract | Crossref Full Text | Google Scholar

65. Cohen DL, Bloedon LT, Rothman RL, Farrar JT, Galantino ML, Volger S, et al. Iyengar yoga versus enhanced usual care on blood pressure in patients with prehypertension to stage I hypertension: a randomized controlled trial. Evid Based Complement Alternat Med. (2011) 2011:546428. doi: 10.1093/ecam/nep130

PubMed Abstract | Crossref Full Text | Google Scholar

66. Anjana K, Archana R, Mukkadan JK. Effect of om chanting and yoga nidra on blood pressure and lipid profile in hypertension—a randomized controlled trial. J Ayurveda Integr Med. (2022) 13(4):100657. doi: 10.1016/j.jaim.2022.100657

PubMed Abstract | Crossref Full Text | Google Scholar

67. Molmen-Hansen HE, Stolen T, Tjonna AE, Aamot IL, Ekeberg IS, Tyldum GA, et al. Aerobic interval training reduces blood pressure and improves myocardial function in hypertensive patients. Eur J Prev Cardiol. (2012) 19(2):151–60. doi: 10.1177/1741826711400512

PubMed Abstract | Crossref Full Text | Google Scholar

68. Gorostegi-Anduaga I, Corres P, MartinezAguirre-Betolaza A, Pérez-Asenjo J, Aispuru GR, Fryer SM, et al. Effects of different aerobic exercise programmes with nutritional intervention in sedentary adults with overweight/obesity and hypertension: EXERDIET-HTA study. Eur J Prev Cardiol. (2018) 25(4):343–53. doi: 10.1177/2047487317749956

PubMed Abstract | Crossref Full Text | Google Scholar

69. Chen D. Effect of health qigong mawangdui daoyinshu on blood pressure of individuals with essential hypertension. J Am Geriatr Soc. (2016) 64(7):1513–5. doi: 10.1111/jgs.14218

PubMed Abstract | Crossref Full Text | Google Scholar

70. Xiao C, Yang Y, Zhuang Y. Effect of health qigong ba duan jin on blood pressure of individuals with essential hypertension. J Am Geriatr Soc. (2016) 64(1):211–3. doi: 10.1111/jgs.13913

PubMed Abstract | Crossref Full Text | Google Scholar

71. Cohen DD, Aroca-Martinez G, Carreño-Robayo J, Castañeda-Hernández A, Herazo-Beltran Y, Camacho PA, et al. Reductions in systolic blood pressure achieved by hypertensives with three isometric training sessions per week are maintained with a single session per week. J Clin Hypertens (Greenwich). (2023) 25(4):380–7. doi: 10.1111/jch.14621

PubMed Abstract | Crossref Full Text | Google Scholar

72. Wolff M, Rogers K, Erdal B, Chalmers JP, Sundquist K, Midlöv P. Impact of a short home-based yoga programme on blood pressure in patients with hypertension: a randomized controlled trial in primary care. J Hum Hypertens. (2016) 30(10):599–605. doi: 10.1038/jhh.2015.123

PubMed Abstract | Crossref Full Text | Google Scholar

73. Punia S, Kulandaivelan S. Home-based isometric handgrip training on RBP in hypertensive adults-partial preliminary findings from RCT. Physiother Res Int. (2020) 25(1):e1806. doi: 10.1002/pri.1806

PubMed Abstract | Crossref Full Text | Google Scholar

74. Izadi MR, Ghardashi Afousi A, Asvadi Fard M, Babaee Bigi MA. High-intensity interval training lowers blood pressure and improves apelin and NOx plasma levels in older treated hypertensive individuals. J Physiol Biochem. (2018) 74(1):47–55. doi: 10.1007/s13105-017-0602-0

PubMed Abstract | Crossref Full Text | Google Scholar

75. Shou XL, Wang L, Jin XQ, Zhu LY, Ren AH, Wang QN. Effect of t'ai chi exercise on hypertension in young and middle-aged in-service staff. J Altern Complement Med. (2019) 25(1):73–8. doi: 10.1089/acm.2018.0011

PubMed Abstract | Crossref Full Text | Google Scholar

76. McCaffrey R, Ruknui P, Hatthakit U, Kasetsomboon P. The effects of yoga on hypertensive persons in Thailand. Holist Nurs Pract. (2005) 19(4):173–80. doi: 10.1097/00004650-200507000-00009

PubMed Abstract | Crossref Full Text | Google Scholar

77. Lopes S, Félix G, Mesquita-Bastos J, Figueiredo D, Oliveira J, Ribeiro F. Determinants of exercise adherence and maintenance among patients with hypertension: a narrative review. Rev Cardiovasc Med. (2021) 22(4):1271–8. doi: 10.31083/j.rcm2204134

PubMed Abstract | Crossref Full Text | Google Scholar

78. Zhang Q, Xu X, Wu Q, Zhang J, Huang S, Wu L, et al. Effects of different traditional Chinese exercise in the treatment of essential hypertension: a systematic review and network meta-analysis. Front Cardiovasc Med. (2024) 11:1300319. doi: 10.3389/fcvm.2024.1300319

PubMed Abstract | Crossref Full Text | Google Scholar

79. Aiming S, Yan W, Jiajia H. Study on the reduction of the incidence of cardiovascular diseases by practicing the five-animal exercises. Sports Sci Res. (2015) 19(06):38–40. doi: 10.19715/j.tiyukexueyanjiu.2015.06.008

Crossref Full Text | Google Scholar

80. Alsubiheen A, Petrofsky J, Yu W, Lee H. Effect of tai chi combined with mental imagery on cutaneous microcirculatory function and blood pressure in a diabetic and elderly population. Healthcare (Basel). (2020) 8(3):342. doi: 10.3390/healthcare8030342

PubMed Abstract | Crossref Full Text | Google Scholar

81. Wehner C, Blank C, Arvandi M, Wehner C, Schobersberger W. Effect of tai chi on muscle strength, physical endurance, postural balance and flexibility: a systematic review and meta-analysis. BMJ Open Sport Exerc Med. (2021) 7(1):e000817. doi: 10.1136/bmjsem-2020-000817

PubMed Abstract | Crossref Full Text | Google Scholar

82. Bull FC, Al-Ansari SS, Biddle S, Borodulin K, Buman MP, Cardon G, et al. World Health Organization 2020 guidelines on physical activity and sedentary behaviour. Br J Sports Med. (2020) 54(24):1451–62. doi: 10.1136/bjsports-2020-102955

PubMed Abstract | Crossref Full Text | Google Scholar

83. Writing Group of the 2020 Chinese Hypertension League Guidelines on Ambulatory Blood Pressure Monitoring.​ 2020 Chinese guidelines for ambulatory blood pressure monitoring. Chin Circ J. (2021) 36(04):313–28. CNKI:SUN:ZGXH.0.2021-04-001

Google Scholar

84. Lin B, Jin Q, Liu C, Zhao W, Ji R. Effect and mechanism of tai chi on blood pressure of patients with essential hypertension: a randomized controlled study. J Sports Med Phys Fitness. (2022) 62(9):1272–7. doi: 10.23736/S0022-4707.21.13394-8

PubMed Abstract | Crossref Full Text | Google Scholar

Keywords: aerobic exercise, Baduanjin, hypertension, Tai Chi, traditional Chinese exercise

Citation: Liu L, Wang J, Ji X, Wang A, Yang S, Chi X, Hu L, Zhang B and Ma L (2025) Comparing the efficacy of different types of exercise therapy in patients with essential hypertension: a systematic review and network meta-analysis. Front. Cardiovasc. Med. 12:1604112. doi: 10.3389/fcvm.2025.1604112

Received: 1 April 2025; Accepted: 24 September 2025;
Published: 20 October 2025.

Edited by:

Marco Alfonso Perrone, University of Rome Tor Vergata, Italy

Reviewed by:

Sophie Møller, University of Copenhagen, Denmark
Daniel Craighead, University of Minnesota, United States

Copyright: © 2025 Liu, Wang, Ji, Wang, Yang, Chi, Hu, Zhang and Ma. This is an open-access article distributed under the terms of the Creative Commons Attribution License (CC BY). The use, distribution or reproduction in other forums is permitted, provided the original author(s) and the copyright owner(s) are credited and that the original publication in this journal is cited, in accordance with accepted academic practice. No use, distribution or reproduction is permitted which does not comply with these terms.

*Correspondence: Lihong Ma, bWxoODE2OEAxNjMuY29t

Disclaimer: All claims expressed in this article are solely those of the authors and do not necessarily represent those of their affiliated organizations, or those of the publisher, the editors and the reviewers. Any product that may be evaluated in this article or claim that may be made by its manufacturer is not guaranteed or endorsed by the publisher.