ORIGINAL RESEARCH article
Front. Bioeng. Biotechnol.
Sec. Biomechanics
Biomechanical effects of root/cortical bone relation on tooth movement during premolar-extraction space closure with clear aligners: A finite element study
Provisionally accepted- Stomatological Hospital of Chongqing Medical University, Chongqing, China
Select one of your emails
You have multiple emails registered with Frontiers:
Notify me on publication
Please enter your email address:
If you already have an account, please login
You don't have a Frontiers account ? You can register here
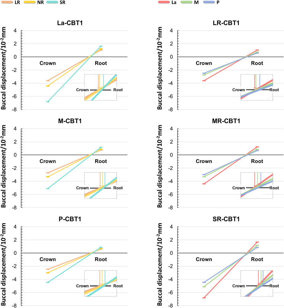
Introduction: This study aimed to evaluate the biomechanical effects of varying sagittal root position (SRP), root length (RL), and cortical bone thickness (CBT) on tooth movement and stress distribution during clear aligner therapy (CAT) in extraction cases, using finite element analysis. Methods: Three-dimensional finite element models, including the maxillary alveolar bone, periodontal ligament, dentition, and clear aligner, were constructed. Groups with varying SRP (labial, middle, and palatal), RL (long, normal, short) and CBT (1 mm, 2 mm) were established. Tooth movement and stress distribution were analyzed for each group after 0.2 mm anterior tooth retraction. Results: Without attachments or additional forces, clear aligners (CAs) resulted in lingual tipping, extrusion, and distal movement of the central incisor in extraction cases. A labially positioned root amplified lingual tipping and torque loss, whereas a palatally positioned root preserved torque but increased posterior anchorage loss; moreover, shorter roots accentuated tipping and generated peak periodontal-ligament stresses at the cervical and apical regions, while thinner cortical bone resulted in higher stress. Conclusions: SRP and RL significantly affect tooth movement and stress distribution during anterior tooth retraction with CAs in extraction cases, while CBT has minimal impact in tooth movement. The optimal pre-retraction state involves a crown-to-root ratio not exceeding 1.1, with the root positioned upright in the cancellous bone, preventing contact with the labial or palatal cortical bone.
Keywords: Finite element study1, clear aligner2, Root/cortical bone relation3, Sagittal rootposition4, Tooth movement5, Space closure6
Received: 02 Oct 2025; Accepted: 07 Nov 2025.
Copyright: © 2025 Dong, Wang, Yang, Gong, Guo, Wu, Hu and Zheng. This is an open-access article distributed under the terms of the Creative Commons Attribution License (CC BY). The use, distribution or reproduction in other forums is permitted, provided the original author(s) or licensor are credited and that the original publication in this journal is cited, in accordance with accepted academic practice. No use, distribution or reproduction is permitted which does not comply with these terms.
* Correspondence:
Yun Hu, 500188@hospital.cqmu.edu.cn
Leilei Zheng, zhengleileicqmu@hospital.cqmu.edu.cn
Disclaimer: All claims expressed in this article are solely those of the authors and do not necessarily represent those of their affiliated organizations, or those of the publisher, the editors and the reviewers. Any product that may be evaluated in this article or claim that may be made by its manufacturer is not guaranteed or endorsed by the publisher.
