Abstract
Introduction:
Complex Percutaneous coronary intervention (PCI) for the treatment of ischemic heart disease has increased significantly. We aimed to evaluate sex-related differences in patients undergoing complex PCI.
Methods:
single-center prospective observational study including patients undergoing complex PCI between 2017 and 2023. Baseline and procedural features, and mid-term outcomes were compared according to the gender distribution. The combined primary endpoint included stroke, myocardial infarction, need for a new coronary revascularization, and all-cause mortality. Propensity score (PS) matching with an inverse probability of treatment weight (IPW) approach was used to adjust for differences in baseline characteristics.
Results:
1,283 patients were included, 983 (76.6%) male and 300 (23.4%) female. Median follow-up was 2.4 (IQR: 1–3.8) years. There was a higher rate of no-reflow phenomenon (4% vs. 1.8%, p = 0.03) among female patients. In the overall cohort, female patients had a greater risk for the combined primary endpoint (HR 1.28, 95% CI: 1.02–1.59). In the matched cohort, female patients exhibited a higher risk for the combined primary endpoint (HR 1.23, 95% CI: 1.06–1.42), as well as for myocardial infarction (HR 1.34, 95% CI 1.03–1.75), and all-cause mortality (HR 1.21, 95% CI 1.02–1.45), and a trend towards a higher risk for the need of a new coronary revascularization (HR 1.22, 95% CI 0.92–1.61).
Conclusions:
in a contemporary cohort of patients undergoing complex PCI procedures, female patients are associated with a higher risk of early complications.
Introduction
Cardiovascular disease continues to be the leading cause of morbidity and mortality among Western countries, and an exponential growth in its incidence is expected over the following decades due to the aging population, the increased incidence of obesity and other metabolic disorders, and certain social conditions (1). Percutaneous coronary intervention (PCI) for treating ischemic heart disease has increased dramatically over the last decades due to its low invasiveness and improved clinical outcomes (2). However, certain features of the coronary lesions are known to represent a major challenge for the interventionalists and might impact early- and long-term cardiovascular outcomes. Nowadays, the widely known complex PCI and high-risk PCI procedures have gained relevance given their frequency in clinical practice, and this has been a matter of study in recent years (3, 4).
It is broadly known that females with cardiovascular disease exhibit differential clinical features than males. For instance, women with diabetes show a greater risk for cardiovascular complications than their male counterparts, probably related with inflammatory parameters and smaller coronary vessel size (5). Additionally, their clinical course differs from men in several cardiovascular pathologies (6–8).
Little is known so far about sex-related differences in patients undergoing complex PCI, but some reports suggest there might be relevant disparities. Prior studies on patients undergoing rotational atherectomy or chronic total occlusion PCI found that women more often experience coronary dissection, cardiac tamponade, and significant complications than men (9–11). Therefore, we aimed to evaluate differences in baseline clinical conditions and procedural features among patients undergoing complex PCI procedures according to their gender. Besides, we sought to evaluate a sex-related clinical impact beyond other clinical conditions in this specific setting.
Methods
Patient selection
This was a single-center, observational, and prospective study. All patients receiving a complex percutaneous coronary intervention in our center between 2017 and 2023 were prospectively included in a dedicated database. Baseline and procedural features were incorporated at the time of PCI, and in-hospital outcomes were added at the time of discharge. The treating physicians decided to undergo complex PCI after carefully considering all available alternatives. Patients were informed and consented to the procedure and data collection. The local Ethics Committee of the center approved data collection and reporting (2020.026).
Inclusion criteria
Complex PCI was defined when any of the following conditions were present (12): true bifurcation lesions according to the Medina classification (13) with a side-branch diameter of at least 2.5 mm; a chronic total occlusion; unprotected left main coronary artery disease; long coronary-artery lesions requiring at least 60 mm of stent length; multivessel PCI involving the 3 major epicardial coronary arteries being treated at the same time; a severely calcified lesion needing plaque modification with either rotational atherectomy or intravascular lithotripsy; PCI in a prior saphenous bypass graft; PCI in a single remaining patent vessel; or aorto-ostial lesions of a major epicardial coronary artery.
Exclusion criteria
For the purpose of homogeneity, those patients presenting with cardiogenic shock that needed emergent placement of a left ventricular assist device were excluded from the present analysis.
Therefore, emergent cases (ST-elevation myocardial infarction) were included if they fulfilled the criteria for complex PCI and did not require an acute ventricular assist device placement due to cardiogenic shock.
Follow-up
Clinical follow-up was performed 6 months after the intervention and yearly thereafter. All relevant clinical events were updated at every outpatient visit. In case of missing a clinical follow-up, telephonic contact and a review of the medical files were performed to ensure live status and to avoid missing any relevant clinical event for every patient. In our region, healthcare professionals have unrestricted access to the entire clinical history of the patient, hence minimizing the miss of any significant event.
Endpoints
The main combined primary endpoint included stroke, admission due to myocardial infarction, the need for a new coronary revascularization, and all-cause mortality.
Secondary endpoints were the individual components of the main primary endpoint.
Statistical analysis
Results are displayed as numbers (percentage) for categorical data and as mean (standard deviation) for continuous variables. Student's t-test was used to compare normally continuous variables and the Mann–Whitney U-test was used for continuous non-normally distributed variables. The chi squared and Fisher's exact tests were used to compare categorical variables. Two groups according to patient's gender (male and female) were used to evaluate baseline characteristics and outcomes.
Propensity score (PS) matching with an inverse probability of treatment weight (IPW) approach was used to adjust for differences in baseline characteristics and potential confounders. A PS was obtained for each patient to estimate the propensity toward belonging to a specific group (female vs. male). This was done by means of a multivariate logistic regression including the following covariates: age, diabetes mellitus, hypertension, chronic kidney disease, peripheral artery disease, history of stroke, left ventricular ejection fraction (LVEF), clinical presentation (stable coronary disease, unstable angina, non-ST elevation myocardial infarction or ST elevation myocardial infarction), PCI to a chronic total occlusion lesion, PCI to a true bifurcation lesion, PCI of an aorto-ostial lesion, PCI involving the left main coronary artery, severe calcification of the treated coronary vessel, and the use of an intra-aortic balloon pump during PCI. The propensity score calculation allowed case-weight estimation to predict the inverse probability of belonging to the female group among the study participants. The case weights balanced the cohorts for an IPW analysis that included all patients with available data for the variables included in the propensity model. The adequate balancing of covariate distribution between the matched groups was numerically assessed by means of standardized means differences after IPW-matching, and graphically assessed by means of the cumulative probability plots for raw and IPW-adjusted data (Supplementary Figure S1). Then, an inverse probability of treatment-weighted Cox regression was performed to determine the relation between gender and our primary and secondary endpoints. Survival-free curves for both groups are displayed using the Kaplan–Meier method. Data analyses were performed using STATA (v14.0; StataCorp), and p-values <0.05 were considered significant.
Results
A total of 1,283 patients were included, 983 (76.6%) male and 300 (23.4%) female. The main baseline characteristics of the study population are presented in Table 1. Female patients exhibited an older age at the time of PCI (73.8 ± 11.1 vs. 69.6 ± 11.4 years, p < 0.001), had a greater LVEF (52.8 ± 11% in females vs. 50.9 ± 11.7% in males, p = 0.02), and a trend towards a higher rate of left main PCI and a higher rate of aorto-ostial lesions (28.3% female vs. 21.7% male, p = 0.02). Male patients exhibited a higher burden of peripheral artery disease (18.4% male vs. 8.3% female, p = 0.001).
Table 1
| Men (n = 983) | Women (n = 300) | p value | |
|---|---|---|---|
| Age, years | 69.6 ± 11.4 | 73.8 ± 11.1 | 0.001 |
| Diabetes Mellitus | 367 (33.3) | 109 (36.3) | 0.75 |
| Hypertension | 681 (69.3) | 214 (71.3) | 0.5 |
| Dyslipidemia | 621 (63.2) | 185 (65.7) | 0.64 |
| Chronic kidney disease | 182 (14.5) | 54 (18.1) | 0.85 |
| Prior MI | 42 (4.3) | 10 (3.3) | 0.62 |
| Prior CABG | 79 (8) | 16 (5.3) | 0.12 |
| Peripheral artery disease | 181 (18.4) | 25 (8.3) | 0.001 |
| Prior Stroke | 85 (8.6) | 18 (6) | 0.14 |
| Presentation: | 0.18 | ||
| Stable CAD | 375 (38.2) | 94 (31.3) | |
| Unstable angina | 152 (15.5) | 53 (17.7) | |
| NSTEMI | 274 (27.9) | 89 (29.7) | |
| STEMI | 182 (18.5) | 64 (21.3) | |
| LVEF, % | 50.9 ± 11.7 | 52.8 ± 11.5 | 0.02 |
| Chronic total occlusion | 159 (16.2) | 42 (14) | 0.36 |
| Number of diseased vessels | 1.62 ± 0.8 | 1.58 ± 0.8 | 0.43 |
| Number of treated vessels | 1.30 ± 0.6 | 1.31 ± 0.6 | 0.82 |
| Left main PCI | 379 (38.6) | 132 (44) | 0.09 |
| Bypass graft PCI | 24 (2.4) | 8 (2.7) | 0.83 |
| 3-vessel PCI | 42 (4.3) | 13 (4.3) | 0.97 |
| Aorto-ostial lesion PCI | 213 (21.7) | 85 (28.3) | 0.02 |
| Bifurcation lesion PCI | 320 (30.7) | 91 (30.3) | 0.44 |
| Euroscore 2 | 4.7 ± 3.1 | 4.9 ± 4.6 | 0.39 |
Baseline characteristics according to gender in the overall cohort.
CABG, coronary artery bypass graft; CAD, coronary artery disease; LVEF, left ventricle ejection fraction; MI, myocardial infarction; NSTEMI, non-ST elevation myocardial infarction; PCI, percutaneous coronary intervention; STEMI, ST elevation myocardial infarction.
The main procedural features are displayed in Table 2. The main access was radial (61% in males and 55.5% in females). The rates of true bifurcation lesions, severe lesion angulation, and severe calcification were comparable between genders, but there was a trend towards a greater use of intracoronary lithotripsy (9.4% vs. 6%, p = 0.07), and higher number of stents and stent length among male PCI recipients.
Table 2
| Men (n = 983) | Women (n = 300) | p value | |
|---|---|---|---|
| Access | 0.17 | ||
| Radial | 596 (61) | 166 (55.5) | |
| Femoral | 371 (37.9) | 131 (43.8) | |
| Double access | 11 (1.1) | 2 (0.7) | |
| Bifurcation strategy: | 0.71 | ||
| Provisional-stent | 192 (62.9) | 51 (60.7) | |
| Double-stent | 113 (37.1) | 33 (39.3) | |
| Severe angulation | 74 (7.5) | 19 (6.3) | 0.49 |
| Severe calcification | 316 (32.2) | 102 (34) | 0.55 |
| Use of cutting or scoring-balloon | 135 (13.8) | 33 (11) | 0.21 |
| Use of drug-coated balloon | 217 (22.3) | 43 (14.4) | 0.003 |
| Use of intracoronary lithotripsy | 92 (9.4) | 18 (6) | 0.07 |
| Use of rotablation | 140 (14.2) | 41 (13.7) | 0.80 |
| Intra-aortic balloon pump | 107 (10.9) | 43 (14.3) | 0.11 |
| Number of stents | 2.17 ± 1.2 | 2.03 ± 1.2 | 0.08 |
| Length of stent | 53 ± 31 | 47.8 ± 28 | 0.01 |
| Time of fluoroscopy | 27.5 ± 89 | 22.7 ± 20 | 0.37 |
| Dose of radiation | 3,190 ± 3600 | 2,330 ± 1842 | 0.001 |
| Contrast media used | 191 ± 96 | 178 ± 88 | 0.06 |
| Procedural complications | |||
| Unsuccessful PCI | 49 (4.9) | 12 (4) | 0.48 |
| Vascular closure failure | 10 (1) | 2 (0.7) | 0.58 |
| Perforation | 9 (0.9) | 6 (2) | 0.13 |
| Dissection | 39 (4) | 13 (4.3) | 0.78 |
| Side branch closure | 13 (1.3) | 6 (2) | 0.40 |
| No-reflow | 18 (1.8) | 12 (4) | 0.03 |
| Procedural death | 11 (1.1) | 8 (2.7) | 0.05 |
| In hospital complications | |||
| Vascular complication | 30 (3) | 13 (4.3) | 0.28 |
| Stroke/TIA | 12 (1.2) | 3 (1) | 0.76 |
| Contrast-induced nephropathy | 98 (10) | 33 (11) | 0.61 |
| In-hospital death | 79 (8) | 35 (11.7) | 0.05 |
| Length of hospitalization | 7 ± 9.7 | 7.9 ± 12 | 0.19 |
Procedural and in-hospital characteristics according to gender distribution in the overall cohort.
PCI, percutaneous coronary intervention; TIA, transient ischemic attack.
Procedural-related complications and in-hospital outcomes are summarized in Table 2. There were no significant differences between study groups in PCI failure (4.9% vs. 4%). However, there was a higher rate of no-reflow phenomenon (4% vs. 1.8%, p = 0.03) and a trend towards a higher risk of procedural mortality (2.7% vs. 1.1%, p = 0.05) among female patients. Similarly, differences in in-hospital complications were not statistically significant but for a trend towards a higher risk of in-hospital mortality for the female group.
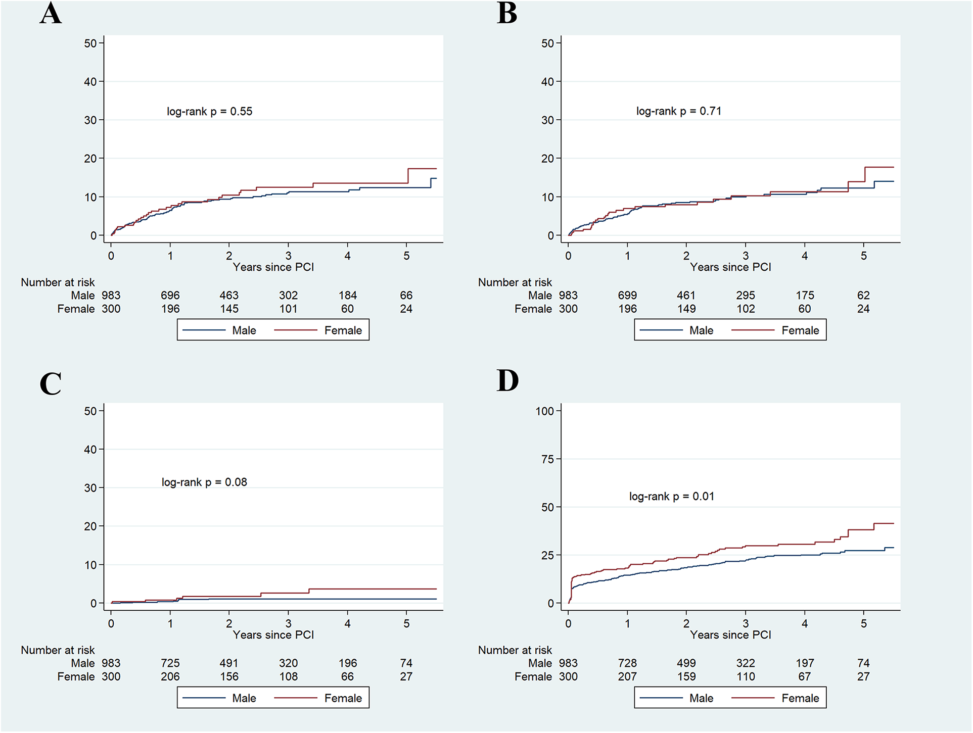
Median follow-up was 2.4 (IQR: 1–3.8) years. Over that period, a total of 290 (22.6%) patients died (205 [20.8%] and 85 [28.3%] deaths among male and female patients, respectively), 14 (1.1%) patients had a stroke (8 [0.8%] and 6 [2%] strokes among male and female patients, respectively), 106 (8.3%) patients underwent new coronary revascularizations (81 [8.2%] and 25 [8.3%] new coronary revascularizations among male and female patients, respectively), and there were 116 (9.1%) admissions for acute myocardial infarction (87 [8.8%] and 29 [9.7%] among male and female patients, respectively).
In the univariate Cox regression analysis, several variables conferred a significantly higher risk for the primary combined endpoint (older age, diabetes, hypertension, chronic kidney disease, peripheral artery disease, number of diseased vessels, left main PCI, and true bifurcation lesions), whereas other were protective factors (higher LVEF and PCI of a total chronic occlusion). Besides, female gender was also associated with a higher risk for the combined endpoint (HR 1.32, 95% CI: 1.07–1.64). In the multivariate analysis, after adjustment for covariates, female gender was yet associated with a higher risk of death, stroke, myocardial infarction or new coronary revascularization (HR 1.28, 95% CI: 1.02–1.59) (Table 3). This higher risk for the combined endpoint was mainly based on all-cause mortality (HR 1.38, 95% CI: 1.07–1.77) and stroke rates (HR 2.57, 95% CI: 0.89–7.4), and no significant differences for myocardial infarction or new revascularization were observed for the overall unadjusted cohort (Table 4). Kaplan–Meier graphics for the primary and secondary endpoints are represented in Figures 1, 2, respectively.
Table 3
| Variable | Univariate | Multivariate | ||
|---|---|---|---|---|
| HR (95% CI) | p value | HR (95% CI) | p value | |
| Age, years | 1.03 (1.02–1.04) | 0.001 | 1.02 (1.01–1.03) | 0.001 |
| Diabetes Mellitus | 1.82 (1.48–2.22) | 0.001 | 1.67 (1.32–2.09) | 0.001 |
| Hypertension | 1.32 (1.05–1.66) | 0.02 | 1.02 (0.78–1.36) | 0.83 |
| Dyslipidemia | 1.11 (0.90–1.37) | 0.32 | ||
| Chronic kidney disease | 2.2 (1.76–2.7) | 0.001 | 1.26 (0.96–1.64) | 0.09 |
| Prior MI | 1.39 (0.90–2.14) | 0.13 | ||
| Prior CABG | 1.19 (0.82–1.72) | 0.35 | ||
| Peripheral artery disease | 1.84 (1.44–2.36) | 0.001 | 1.46 (1.09–1.94) | 0.009 |
| Prior Stroke | 1.54 (1.1–2.14) | 0.01 | 1.02 (0.71–1.49) | 0.89 |
| Presentation: | ||||
| Stable CAD (reference) | ||||
| Unstable angina | 1.27 (0.92–1.77) | 0.14 | 1.03 (0.73–1.48) | 0.83 |
| NSTEMI | 1.85 (1.42–2.4) | 0.001 | 1.27 (0.95–1.68) | 0.10 |
| STEMI | 2.12 (1.61–2.79) | 0.001 | 1.57 (1.13–2.17) | 0.006 |
| LVEF, % | 0.96 (0.95–0.97) | 0.001 | 0.97 (0.96–0.98) | 0.001 |
| Chronic total occlusion | 0.35 (0.26–0.52) | 0.001 | 0.64 (0.42–0.98) | 0.04 |
| Number of diseased vessels | 1.43 (1.27–1.61) | 0.001 | 1.27 (1.11–1.44) | 0.001 |
| Left main PCI | 1.74 (1.42–2.12) | 0.001 | 1.09 (0.83–1.44) | 0.53 |
| Bypass graft PCI | 1.99 (1.21–3.29) | 0.007 | 2.01 (1.16–3.45) | 0.02 |
| 3-vessel PCI | 1.37 (0.89–2.11) | 0.15 | ||
| Aorto-ostial lesion PCI | 1.21 (0.97–1.53) | 0.09 | 1.12 (0.87–1.44) | 0.39 |
| Bifurcation lesion PCI | 1.59 (1.29–1.96) | 0.001 | 1.33 (1.01–1.74) | 0.03 |
| Gender (female vs. male) | 1.32 (1.07–1.64) | 0.01 | 1.28 (1.02–1.59) | 0.04 |
Univariate and multivariate cox regression analysis for the primary combined endpoint of myocardial infarction, stroke, new coronary revascularization and all-cause mortality.
CABG, coronary artery bypass graft; CAD, coronary artery disease; CI, confidence interval; HR, hazard ratio; LVEF, left ventricle ejection fraction; MI, myocardial infarction; NSTEMI, non-ST elevation myocardial infarction; PCI, percutaneous coronary intervention; STEMI, ST elevation myocardial infarction.
Table 4
| Overall cohort | ||
|---|---|---|
| Endpoint | HR (95% CI) | p value |
| Combined primary endpoint | 1.32 (1.07–1.64) | 0.01 |
| Stroke | 2.57 (0.89–7.4) | 0.08 |
| New revascularization | 1.06 (0.68–1.67) | 0.79 |
| Myocardial infarction | 1.13 (0.75–1.73) | 0.55 |
| All-cause mortality | 1.38 (1.07–1.77) | 0.01 |
| IPW-adjusted cohort | ||
| Endpoint | HR (95% CI) | p value |
| Combined primary endpoint | 1.23 (1.06–1.42) | 0.01 |
| Stroke | 1.71 (0.77–3.84) | 0.19 |
| New revascularization | 1.22 (0.92–1.61) | 0.17 |
| Myocardial infarction | 1.34 (1.03–1.75) | 0.03 |
| All-cause mortality | 1.21 (1.02–1.45) | 0.03 |
Survival analysis for the primary and secondary endpoints according to gender in the overall and IPW-adjusted populations.
CI, confidence interval; HR, hazard ratio; IPW, inverse probability of treatment weight.
Figure 1

Kaplan–Meier cumulative incidence estimates for the combined primary endpoint (stroke, new coronary revascularization, myocardial infarction or all-cause mortality) in the overall cohort of patients.
Figure 2

Kaplan–Meier cumulative incidence estimates for myocardial infarction (A), new coronary revascularization (B), stroke (C), and all-cause mortality (D).
IPW-adjusted cohort
After PS-IPW adjustment, baseline characteristics were well-balanced between study groups (Supplementary Tables S1 and S2 and Supplementary Figure S1).
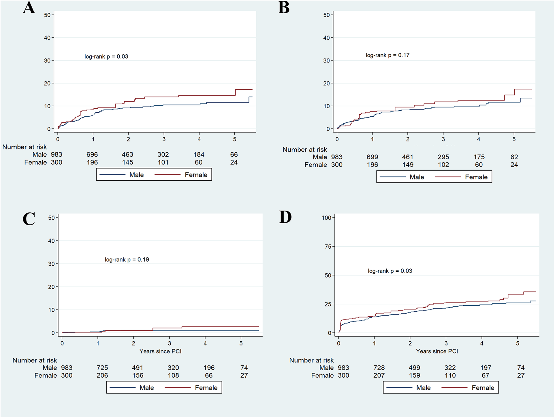
In the IPW-adjusted cohort, there was a higher risk for the combined primary endpoint (HR 1.23, 95% CI: 1.06–1.42) among female patients (Table 4 and Figure 3).
Figure 3

Kaplan–Meier cumulative incidence estimates for the combined primary endpoint (stroke, new coronary revascularization, myocardial infarction or all-cause mortality) in the IPW-adjusted cohort.
Besides, female patients exhibited higher rates for admission due to myocardial infarction (HR 1.34, 95% CI: 1.03–1.75), a higher risk for all-cause mortality (HR 1.21, 95% CI: 1.02–1.45), and a trend towards a higher risk for the need of a new coronary revascularization (HR 1.22, 95% CI: 0.92–1.61) (Table 4 and Figure 4).
Figure 4

Kaplan–Meier cumulative incidence estimates for myocardial infarction (A), new coronary revascularization (B), stroke (C), and all-cause mortality (D) in the IPW-adjusted cohort.
Discussion
The main findings of our investigation are summarized as follows: (i) female patients undergoing complex PCI exhibited differential features compared to their male counterparts, like a higher rate of left main PCI, aorto-ostial lesion PCI, and a higher risk for non-reflow phenomenon. (ii) female gender was independently associated with a higher risk for the combined primary endpoint (stroke, myocardial infarction, new coronary revascularization, and all-cause mortality) over follow-up, and those results remain concordant after adjustment for baseline covariates; (iii) in the adjusted cohort, female patients exhibited a higher risk for myocardial infarction and a trend towards a higher risk for new coronary revascularization over follow-up.
Sex-related differences in baseline and procedural characteristics
Although cardiovascular disease develops 5 to 10 years later in women than in men, this is yet the leading cause of death in women older than 65 years. In line with prior data, the higher age of women presenting with ischemic heart disease was also manifest in our patient cohort. Despite this age difference, male patients carried a slightly higher cardiovascular disease burden in our patient population, with a significantly higher rate of peripheral artery disease and comparable rates of diabetes, hypertension, and chronic kidney disease.
Coronary artery disease could be underrecognized among female patients, given the disparities in clinical presentation (frequent association of atypical symptoms) and the perception that women are invariably more protected against cardiovascular disease due to inherent endocrine characteristics (e.g., estrogen-dependent vasodilatation of the endothelial wall). These facts could lead to a delayed diagnosis among women, causing a more advanced coronary disease at presentation and ultimately impacting prognosis.
Notably, there was a lower use of contemporary techniques for the management of complex coronary lesions in women than in men in our cohort. As a matter of fact, despite similar rates of severe lesion calcification, the use of intravascular lithotripsy and cutting/scoring-balloon was numerically lower among female patients. These data are in line with prior reports in which ischemic stress testing and invasive procedures for the diagnosis and management of ischemic heart disease were underused in women (14). However, it should be noted that coronary anatomy and pathophysiology vary significantly between genders. Women tend to present with a smaller vessel size, less collateral flow, lower coronary flow reserve, greater vascular stiffness, and more tortuous anatomies (15). Hence, whether the disparities observed in PCI technical aspects are driven by pathophysiological and anatomical features between men and women remains widely unknown. Nevertheless, in our cohort, there was a higher risk for no-reflow in women even after adjustment by baseline characteristics, which may underline the more complex vessel and endothelial regulation associated with the female gender (7). This fact might also play a role in the higher rate of complications observed in women undergoing rotational and orbital atherectomy (9, 10, 16, 17). It could be a factor underlying the numerically higher rate of early mortality (both procedural and in-hospital) observed in our investigation.
In the setting of left-main PCI, women have frequently been underrepresented in clinical trials. For instance, in the SYNTAX trial, women with unprotected left main disease accounted for only 10.3% of participants. Besides, women within the PCI group had a higher adjusted 4-year mortality rate than men (18). Noteworthy, there were both a higher rate of left main PCI and of aorto-ostial lesions among women in our patient population. Considering that women develop ischemic heart disease at an older age than men and that cardiac surgical risk increases steadily with age, those facts might translate into a greater proportion of women with left main disease undergoing PCI rather than surgery. Hence, aorto-ostial lesions involving the left main ostium were probably more frequently managed percutaneously among the female subgroup. Besides, bifurcation involvement within the left main was probably less frequent in women, rarely needing two-stent strategies in such a relevant anatomic position. It should be also mentioned that ostial lesions (more frequent among women) are characterized by being more calcific and rigid, often associating a recoil phenomenon after stent placement, altogether increasing PCI complexity (19).
Noteworthy, women presented more frequently exhibiting an acute myocardial infarction. This issue might be related to differences in clinical presentation, as women more frequently experienced atypical symptoms such as weakness, palpitations, or lightheadedness, hence delaying the diagnosis of ischemic heart disease until most severe settings (STEMI) developed.
Sex-related differences for the study endpoints
Although riskier baseline conditions may partially account for poorer outcomes among the female group of patients, the concordant results in both the multivariate analysis and the IPW-adjusted cohort emphasize the differential clinical evolution for both genders beyond baseline features. In the context of an all-comer PCI study, it has already been reported that women carried a higher early and mid-term risk for major cardiovascular outcomes than men (20). The main reasons postulated behind this finding were the low inclusion of women in randomized trials, resulting in device-based techniques being optimized for men, as well as the greater rates of in-stent restenosis and lesion progression linked to the small diameter of target vessels. These facts could be even more accentuated in our patient population, given the greater complexity of the coronary anatomy compared to prior reports on all-comer PCI procedures. Consequently, the relevance of any technical aspect potentially impacting clinical outcomes (e.g., rigorous lesion preparation and optimal treatment of smaller vessels) increases in parallel with coronary lesion complexity.
As mentioned above, the well-known delay between symptom onset and diagnosis of ischemic heart disease in the female gender could also be a potential source for unequal clinical findings (21). Since the time between ischemic symptoms onset and reperfusion are key prognostic factors both in ST elevation and non-ST elevation myocardial infarction, a delayed presentation in women in our cohort could partially explain their poorer prognosis. Unfortunately, we do not have systematic data for all patients on the time interval between anginal symptoms onset and the time of PCI, so this matter still needs further investigation.
In light of our results, further investigations purposely designed to assess the net benefit of complex PCI procedures among women are needed, along with studies that implement strategies to mitigate the residual risk that female patients face after a PCI procedure beyond any disparities in baseline conditions.
Limitations
This study presents several limitations. Firstly, its observational nature is more prone to bias than randomized studies. Secondly, despite the good comparability between groups after IPW adjustment, the presence of unnoticed unbalanced confounders could not be discarded. Thirdly, some variables that might be of relevance were not assessed in our database, such as the SYNTAX score. Social biases in the access to medical care cannot be fully excluded, but its impact might be marginal considering that the study was developed in a region where universal health-care coverage without risking financial hardship has been implemented for a long period of time. Finally, recent trials have demonstrated better clinical outcomes in complex PCI settings such as bifurcation lesions with the guidance of intravascular imaging (22, 23), but we did not use systematic intracoronary imaging in our series. Future studies should further explore this issue.
In conclusion, in a contemporary cohort of patients undergoing complex PCI procedures, female patients are associated with a higher risk of early complications and receive less frequently state-of-the-art intravascular techniques despite similar complexity. Additionally, after adjustment for baseline features, women exhibited a higher risk for all-cause mortality, myocardial infarction, and for the combined primary endpoint of stroke, coronary revascularization, myocardial infarction, and all-cause mortality at mid-term follow-up.
Statements
Data availability statement
The raw data supporting the conclusions of this article will be made available by the authors, without undue reservation.
Ethics statement
The studies involving humans were approved by Institutional Review Board of Hospital Universitario Central de Asturias. The studies were conducted in accordance with the local legislation and institutional requirements. The participants provided their written informed consent to participate in this study.
Author contributions
AA: Data curation, Formal Analysis, Investigation, Methodology, Validation, Visualization, Writing – original draft, Writing – review & editing. MA: Data curation, Investigation, Writing – original draft, Writing – review & editing. IP: Conceptualization, Validation, Visualization, Writing – original draft, Writing – review & editing. RA: Writing – original draft, Writing – review & editing. JB: Writing – original draft, Writing – review & editing. DH-V: Writing – original draft, Writing – review & editing. RP: Writing – original draft, Writing – review & editing. JO: Writing – original draft, Writing – review & editing. CM: Writing – original draft, Writing – review & editing. PA: Writing – original draft, Writing – review & editing.
Funding
The author(s) declare that no financial support was received for the research, authorship, and/or publication of this article.
Conflict of interest
The authors declare that the research was conducted in the absence of any commercial or financial relationships that could be construed as a potential conflict of interest.
Publisher’s note
All claims expressed in this article are solely those of the authors and do not necessarily represent those of their affiliated organizations, or those of the publisher, the editors and the reviewers. Any product that may be evaluated in this article, or claim that may be made by its manufacturer, is not guaranteed or endorsed by the publisher.
Supplementary material
The Supplementary Material for this article can be found online at: https://www.frontiersin.org/articles/10.3389/fcvm.2024.1382585/full#supplementary-material
Abbreviations
CI, confidence interval; HR, hazard ratio; IPW, inverse probability of treatment weight; LVEF, left ventricular ejection fraction; PCI, percutaneous coronary intervention; PS, propensity-score.
References
1.
Powell-Wiley TM Baumer Y Baah FO Baez AS Farmer N Mahlobo CT et al Social determinants of cardiovascular disease. Circ Res. (2022) 130:782–99. 10.1161/CIRCRESAHA.121.319811
2.
Inohara T Kohsaka S Spertus JA Masoudi FA Rumsfeld JS Kennedy KF et al Comparative trends in percutaneous coronary intervention in Japan and the United States, 2013 to 2017. J Am Coll Cardiol. (2020) 76:1328–40. 10.1016/j.jacc.2020.07.037
3.
Protty M Sharp ASP Gallagher S Farooq V Spratt JC Ludman P et al Defining percutaneous coronary intervention complexity and risk: an analysis of the United Kingdom BCIS database 2006–2016. JACC Cardiovasc Interv. (2022) 15:39–49. 10.1016/j.jcin.2021.09.039
4.
Hanna JM Wang SY Kochar A Park DY Damluji AA Henry GA et al Complex percutaneous coronary intervention outcomes in older adults. J Am Heart Assoc. (2023) 12(19):e029057. 10.1161/JAHA.122.029057
5.
Gao Z Chen Z Sun A Deng X . Gender differences in cardiovascular disease. Med Nov Technol Devices. (2019) 4:100025. 10.1016/j.medntd.2019.100025
6.
Sambola A Del Blanco BG Kunadian V Vogel B Chieffo A Vidal M et al Sex-based differences in percutaneous coronary intervention outcomes in patients with ischemic heart disease. Eur Cardiol Rev. (2023) 18:e06. 10.15420/ecr.2022.24
7.
Maas AHEM Appelman YEA . Gender differences in coronary heart disease. Neth Heart J. (2010) 18:598–603. 10.1007/S12471-010-0841-Y
8.
Pawlik A Januszek R Ruzsa Z Óriás V Kleczyński P Wojtasik-Bakalarz J et al Gender differences and long-term clinical outcomes in patients with chronic total occlusions of infrainguinal lower limb arteries treated from retrograde access with peripheral vascular interventions. Adv Med Sci. (2020) 65:197–201. 10.1016/J.ADVMS.2020.01.004
9.
Ford TJ Khan A Docherty KF Jackson A Morrow A Sidik N et al Sex differences in procedural and clinical outcomes following rotational atherectomy. Catheter Cardiovasc Interv. (2020) 95:232–41. 10.1002/ccd.28373
10.
Sabatowski K Malinowski KP Siudak Z Reczuch K Dobrzycki S Lesiak M et al Sex-related differences and rotational atherectomy: analysis of 5 177 percutaneous coronary interventions based on a large national registry from 2014 to 2020. Kardiol Pol. (2021) 79:1320–7. 10.33963/KP.A2021.0131
11.
Siudak Z Bryniarski L Malinowski KP Wańha W Wojakowski W Surowiec S et al Procedural outcomes in patients treated with percutaneous coronary interventions within chronic total occlusions stratified by gender. J Clin Med. (2022) 11:1419. 10.3390/JCM11051419
12.
Giustino G Chieffo A Palmerini T Valgimigli M Feres F Abizaid A et al Efficacy and safety of dual antiplatelet therapy after Complex PCI. J Am Coll Cardiol. (2016) 68:1851–64. 10.1016/J.JACC.2016.07.760
13.
Medina A de Lezo JS Pan M . A new classification of coronary bifurcation lesions. Rev Esp Cardiol. (2006) 59:183. 10.1016/S1885-5857(06)60130-8
14.
Daly CA Clemens F Lopez Sendon JL Tavazzi L Boersma E Danchin N et al The clinical characteristics and investigations planned in patients with stable angina presenting to cardiologists in Europe: from the euro heart survey of stable angina. Eur Heart J. (2005) 26:996–1010. 10.1093/EURHEARTJ/EHI171
15.
Shaw LJ Bugiardini R Merz CNB . Women and ischemic heart disease: evolving knowledge. J Am Coll Cardiol. (2009) 54:1561–75. 10.1016/J.JACC.2009.04.098
16.
Kim CY Lee AC Wiedenbeck TL Lee MS Chambers JW . Gender differences in acute and 30-day outcomes after orbital atherectomy treatment of de novo, severely calcified coronary lesions. Catheter Cardiovasc Interv. (2016) 87:671–7. 10.1002/CCD.26163
17.
Januszek R Pawlik A Staszczak B Jȩdrychowska M Bartuś J Legutko J et al Age and gender differences in clinical outcomes of patients with heavy-calcified coronary artery lesions treated percutaneously with rotational atherectomy. Adv Clin Exp Med. (2020) 29:225–33. 10.17219/ACEM/110314
18.
Thuijs DJFM Kappetein AP Serruys PW Mohr FW Morice MC Mack MJ et al Percutaneous coronary intervention versus coronary artery bypass grafting in patients with three-vessel or left main coronary artery disease: 10-year follow-up of the multicentre randomised controlled SYNTAX trial. Lancet. (2019) 394:1325–34. 10.1016/S0140-6736(19)31997-X
19.
Jaffe R Halon DA Shiran A Rubinshtein R . Percutaneous treatment of aorto-ostial coronary lesions: current challenges and future directions. Int J Cardiol. (2015) 186:61–6. 10.1016/j.ijcard.2015.03.161
20.
Kosmidou I Leon MB Zhang Y Serruys PW von Birgelen C Smits PC et al Long-term outcomes in women and men following percutaneous coronary intervention. J Am Coll Cardiol. (2020) 75:1631–40. 10.1016/j.jacc.2020.01.056
21.
Lawesson SS Isaksson RM Ericsson M Ängerud K Thylén I . Gender disparities in first medical contact and delay in ST-elevation myocardial infarction: a prospective multicentre Swedish survey study. BMJ Open. (2018) 8:e020211. 10.1136/BMJOPEN-2017-020211
22.
Holm NR Andreasen LN Neghabat O Laanmets P Kumsars I Bennett J et al OCT Or angiography guidance for PCI in complex bifurcation lesions. N Engl J Med. (2023) 389:1477–87. 10.1056/nejmoa2307770
23.
Lee JM Choi KH Bin SY Lee J-Y Lee S-J Lee SY et al Intravascular imaging–guided or angiography-guided complex PCI. N Engl J Med. (2023) 388:1668–79. 10.1056/nejmoa2216607
Summary
Keywords
coronary artery disease, percutaneous coronary intervention, complex PCI, myocardial infarction, sex-related differences inverse probability of treatment weight
Citation
Alperi A, Almendárez M, Pascual I, Alvarez R, Betanzos JL, Hernández-Vaquero D, Ptaszynski R, Ortiz JF, Moris C and Avanzas P (2024) Sex related disparities after complex percutaneous coronary interventions. Front. Cardiovasc. Med. 11:1382585. doi: 10.3389/fcvm.2024.1382585
Received
05 February 2024
Accepted
21 October 2024
Published
07 November 2024
Volume
11 - 2024
Edited by
Viktor Kočka, Charles University, Czechia
Reviewed by
Rafal Adam Januszek, Andrzej Frycz Modrzewski Krakow University, Poland
Suvitesh Luthra, University Hospital Southampton NHS Foundation Trust, United Kingdom
Updates
Copyright
© 2024 Alperi, Almendárez, Pascual, Alvarez, Betanzos, Hernández-Vaquero, Ptaszynski, Ortiz, Moris and Avanzas.
This is an open-access article distributed under the terms of the Creative Commons Attribution License (CC BY). The use, distribution or reproduction in other forums is permitted, provided the original author(s) and the copyright owner(s) are credited and that the original publication in this journal is cited, in accordance with accepted academic practice. No use, distribution or reproduction is permitted which does not comply with these terms.
* Correspondence: Isaac Pascual ipascua@live.com
†These authors have contributed equally to this work and share first authorship
Disclaimer
All claims expressed in this article are solely those of the authors and do not necessarily represent those of their affiliated organizations, or those of the publisher, the editors and the reviewers. Any product that may be evaluated in this article or claim that may be made by its manufacturer is not guaranteed or endorsed by the publisher.