ORIGINAL RESEARCH article
Front. Cardiovasc. Med.
Sec. Heart Valve Disease
Burden of non-rheumatic valvular heart disease globally and in China from 1990 to 2021: a systematic analysis for the Global Burden of Disease Study 2021
Provisionally accepted- 1The First Affiliated Hospital of Guangxi Medical University, Nanning, China
- 2Guangxi Key Laboratory of Regenerative Medicine, Nanning, China
- 3People's Hospital of Guangxi Zhuang Autonomous Region, Nanning, China
Select one of your emails
You have multiple emails registered with Frontiers:
Notify me on publication
Please enter your email address:
If you already have an account, please login
You don't have a Frontiers account ? You can register here
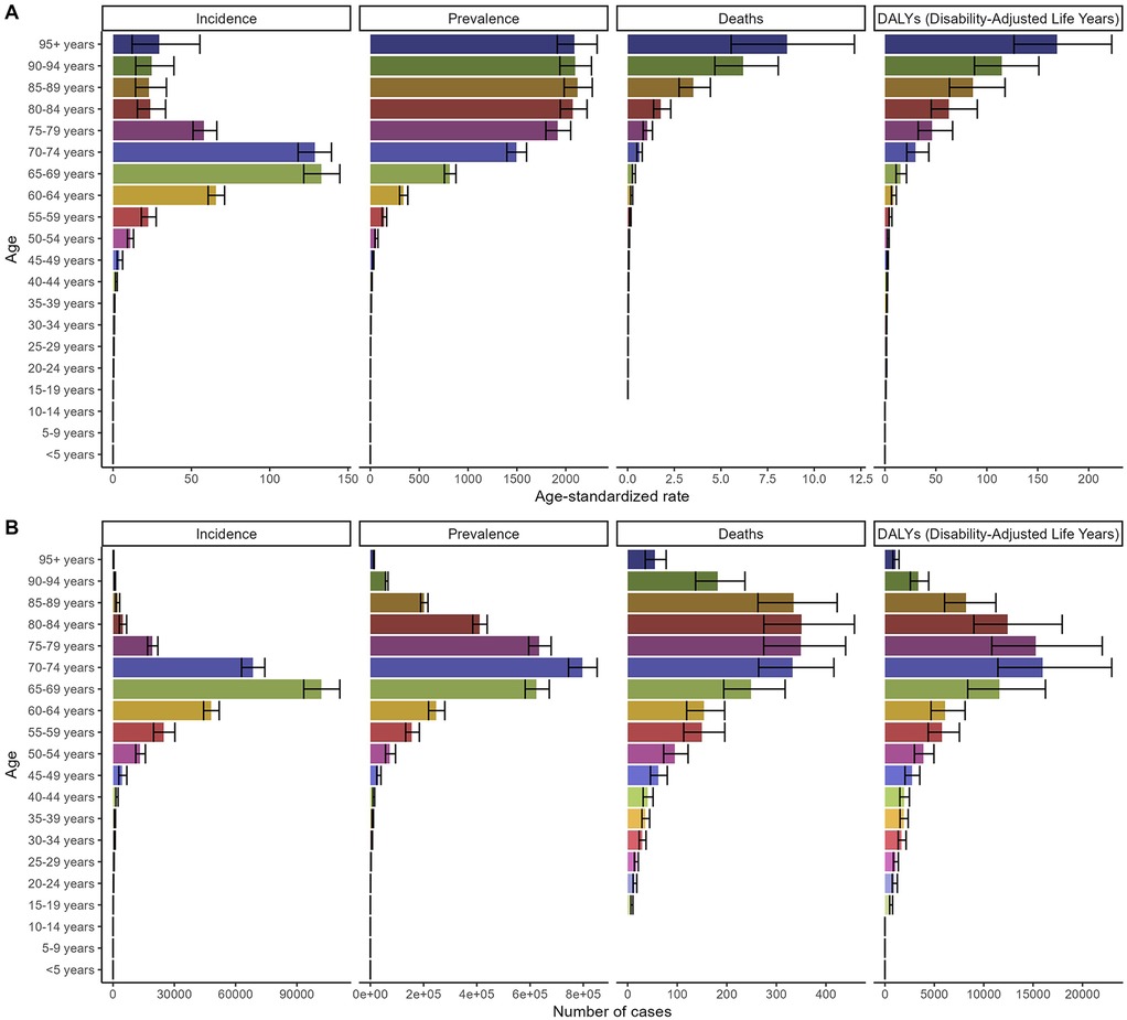
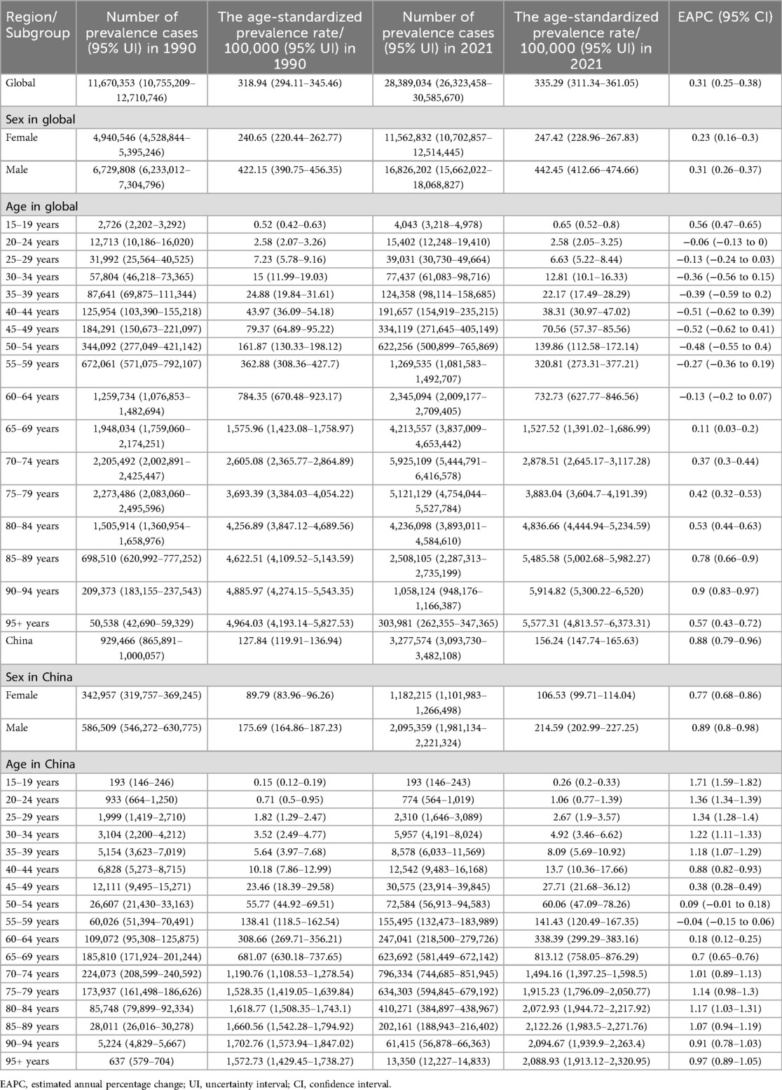
Background: Non-rheumatic valvular heart disease (NRVHD), driven by aging populations and epidemiological transitions, has become the dominant form of valvular heart disease globally, yet its burden trends and demographic disparities remain undercharacterized. This study quantifies the global and Chinese burden of NRVHD from 1990 to 2021, analyzing age-sex disparities and temporal trends.Methods: Using data from the Global Burden of Disease (GBD) 2021 Study. First, the number of incidence, prevalence, deaths, and disability-adjusted life years (DALYs) cases, along with their corresponding age-standardized rates (ASRs), were reported globally and in China, stratified by different sub-types in 2021. These sub-types included sex and age groups. Second, to explore the temporal trend of the disease burden, data from 1990 to 2021 were analyzed both globally and by sub-types.The estimated annual percentage change (EAPC) value was calculated using a linear regression model.In 2021, NRVHD caused 2,206,928 global incidence cases (ASR: 25.0/100,000) and 28.4 million prevalence cases (ASR: 335.3/100,000), with 181,078 deaths (ASR: 2.31/100,000) and 3.24 million DALYs (ASR: 39.7/100,000). China accounted for 292,215 incidence cases (ASR: 12.8/100,000) and 3.28 million prevalence cases (ASR: 156.2/100,000), demonstrating lower deaths cases (ASDR: 0.13 vs. global 2.31/100,000) but accelerated burden growth. From 1990 to 2021, global incidence rose 129%, while China's surged 220%. Age-standardized deaths rate declined globally and in China, contrasting with rising prevalence. Males bore higher burdens globally and in China, with elderly populations disproportionately affected.NRVHD burden has escalated globally, characterized by rising morbidity amid declining mortality, a paradox amplified in China. While therapeutic advances and hypertension control contributed to mortality reductions, persistent sex-age disparities and rural-urban inequities demand targeted strategies. China's rapid epidemiological transition underscores the urgency of integrating primary prevention, equitable technology access, and enhanced surveillance to address aging-related valvulopathies.
Keywords: Valvular Heart Disease, global, China, disease burden, GBD
Received: 05 Aug 2025; Accepted: 24 Oct 2025.
Copyright: © 2025 Chen, Wei, Zheng, Lan and Zheng. This is an open-access article distributed under the terms of the Creative Commons Attribution License (CC BY). The use, distribution or reproduction in other forums is permitted, provided the original author(s) or licensor are credited and that the original publication in this journal is cited, in accordance with accepted academic practice. No use, distribution or reproduction is permitted which does not comply with these terms.
* Correspondence: 
Yanni  Lan, 237911623@qq.com
Baoshi  Zheng, zhengbs25@vip.sina.com
Disclaimer: All claims expressed in this article are solely those of the authors and do not necessarily represent those of their affiliated organizations, or those of the publisher, the editors and the reviewers. Any product that may be evaluated in this article or claim that may be made by its manufacturer is not guaranteed or endorsed by the publisher.
