ORIGINAL RESEARCH article
Front. Cell Dev. Biol.
Sec. Cellular Biochemistry
This article is part of the Research TopicGut Microbiota Interventions: Novel Approaches to Type 2 Diabetes TreatmentView all articles
Anti-diabetic effects of Dachaihu decoction combined with Sanghuangporus vaninii: Insights from network pharmacology, intestinal flora, and liver metabolomics
Provisionally accepted- 1College of Food Science, Fujian Agriculture and Forestry University, Fuzhou, China
- 2National Engineering Research Center of JUNCAO Technology, Fuzhou, China
- 3Fuzhou Institute of Oceanography, Minjiang University, Fuzhou, China
- 4College of Marine and Bioengineering, Yancheng Institute of Technology, Yancheng, China
Select one of your emails
You have multiple emails registered with Frontiers:
Notify me on publication
Please enter your email address:
If you already have an account, please login
You don't have a Frontiers account ? You can register here
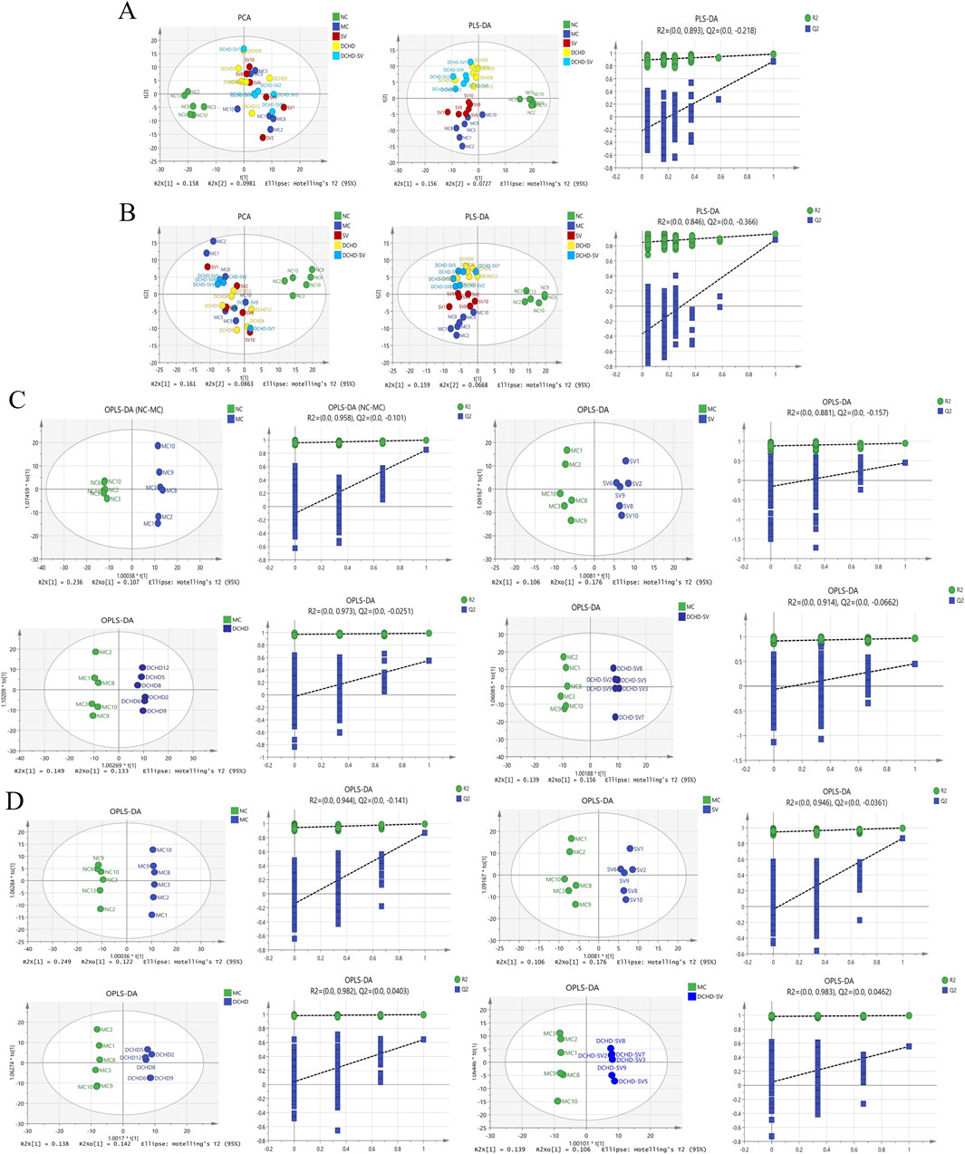
Numerous studies have demonstrated the therapeutic effects of the traditional Chinese medicinal fungus Sanghuangporus vaninii on type 2 diabetes mellitus (T2DM), yet the underlying mechanisms remain unclear. This study aimed to investigate the anti-diabetic and hypolipidemic effects of the S. vaninii combined with Dachaihu decoction formulation (DCHD-SV) in T2DM mice and deeply explore its action mechanisms through network pharmacology, 16S RNA sequencing, and liver metabolomics. The results showed that DCHD-SV can effectively ameliorate relevant symptoms of T2DM in mice, including hyperglycemia, dyslipidemia, insulin resistance, and organ damage. In addition, DCHD-SV modulates the intestinal flora and liver metabolites of T2DM mice, and may exert its anti-diabetic effects through the PPARγ/AMPK/mTOR signaling pathway. These findings underscore DCHD-SV as a promising candidate for T2DM therapy and lay a theoretical foundation for further investigating its mechanisms.
Keywords: dachaihu decoction, Sanghuangporus vaninii, Anti-diabetic activity, intestinal flora, Liver metabolomics
Received: 17 Sep 2025; Accepted: 24 Oct 2025.
Copyright: © 2025 Huang, Lin, Huang, Li, Ge, Liu and Huang. This is an open-access article distributed under the terms of the Creative Commons Attribution License (CC BY). The use, distribution or reproduction in other forums is permitted, provided the original author(s) or licensor are credited and that the original publication in this journal is cited, in accordance with accepted academic practice. No use, distribution or reproduction is permitted which does not comply with these terms.
* Correspondence:
Tiantian Li, litiantian_sweet@163.com
Bin Liu, liubin618@hotmail.com
Zirui Huang, huangzirui@fafu.edu.cn
Disclaimer: All claims expressed in this article are solely those of the authors and do not necessarily represent those of their affiliated organizations, or those of the publisher, the editors and the reviewers. Any product that may be evaluated in this article or claim that may be made by its manufacturer is not guaranteed or endorsed by the publisher.
