- 1Department of Film and Interaction Design, Hongik University, Seoul, Republic of Korea
- 2Department of Visual Communication Design, Hongik University, Seoul, Republic of Korea
As generative artificial intelligence (GAI) becomes increasingly integrated into the design domain, research has begun to explore how it can be meaningfully incorporated into traditional design practices, fostering the development of more collaborative design processes. This study proposes a Human–AI Co-Creative Design Process (HAI-CDP) model and evaluates its impact on designers’ creativity through a comparative experimental design. The results indicate that the HAI-CDP substantially improves creative performance over the traditional design process. For novice designers, its primary value lies in facilitating idea generation, whereas for experienced designers, it contributes more to elevating the quality and refinement of creative outcomes. Although the Human–AI Co-Creative Design Process lowers the entry barrier to creative engagement, the findings also reaffirm that design experience remains a critical factor shaping creative output.
1 Introduction
With the rapid advancement of artificial intelligence (AI), multi-domain and cross-modal generative technologies have made significant progress, particularly in image and text processing—now a prominent focus in contemporary research. Human–AI co-creation is increasingly being integrated into various design disciplines. Within the design field, the process itself is central, as both efficiency and creativity are embedded in each stage of design development. Generative AI tools are expected to enhance methodological efficiency, stimulate creative thinking, and support the generation of novel visual and conceptual content (Huang and Zheng, 2023).
In art and design disciplines, producing high-quality outcomes demands a substantial capacity for creative problem-solving. Traditional design approaches often face challenges such as process complexity, extended revision cycles, and constrained opportunities for exploratory ideation. In addition, the quality of the final design output is often determined by the designer’s level of experience (Tversky et al., 2002). In fields such as visual and industrial design, AI tools are now widely used. These tools help designers improve efficiency and explore more ideas. As a result, designers are no longer just executors of design tasks. They now work with AI tools and actively contribute to innovation (Guo et al., 2023).
Although previous research has deeply explored how AI can improve efficiency and output quality in fields such as visual, product, and interaction design, little attention has been paid to its role in shaping designers’ creativity. In particular, the differences in creative performance between designers with different experience levels in the AI-assisted design process remain underexplored. To fill this gap, this study introduces the Human-AI Collaborative Creative Design Process (HAI-CDP), a structured framework that aims to address the key limitations of traditional workflows and better support designers to realize their creative potential.
This study is guided by the following research questions:
1. How can artificial intelligence be effectively integrated into the creative design process?
2. Compared to traditional creative design processes, does a human–AI collaborative design process enhance designers’ creative expression?
3. Within the context of human–AI co-creation, do designers with different levels of experience exhibit significant differences in creative performance? Furthermore, is there an interaction effect between a designer’s level of experience and the type of design process on creativity?
To systematically address the above research questions, this study first reviewed the broader applications of human–AI collaboration in various design disciplines and examined the structure of Traditional Creative Design Processes. Based on this, semi-structured interviews were conducted with 13 professional designers to explore the current use of AI tools and to identify the key stages of creative expression. Drawing insights from these interviews and the Double Diamond framework, the study developed a Human–AI Co-Creative Design Process (HAI-CDP) model.
To evaluate the model’s impact on design creativity, a comparative experiment was conducted involving 42 designers, assessing creative performance in both a Traditional Creative Design Process (TCDP) and the proposed HAI-CDP within a controlled design task.
The main contributions of this study are as follows:
It develops a Human–AI Co-Creative Design Process (HAI-CDP) model tailored to the era of generative artificial intelligence, offering a theoretical foundation for future applications in both design practice and education.
This study empirically demonstrates, the effectiveness of Human–AI collaborative design in enhancing creative performance, and further reveals how its influence differs depending on the designer’s level of experience.
This study emphasizes the central role of designers and offers guidance on integrating human–AI collaboration into future creative design practices.
2 Related work
2.1 Artificial intelligence and human–AI collaboration in design
Artificial Intelligence (AI) encompasses a range of theories and technologies designed to simulate human cognitive functions, allowing computer systems to perceive, comprehend, learn, reason, and make autonomous decisions. AI is applied to automate routine tasks and increase operational efficiency, typically functioning without emotional or intuitive input from humans (Amershi et al., 2019). More recently, AI has begun to influence creative domains. It is now regarded by many as a tool for supporting idea generation, enhancing self-expression, and expanding possibilities in design and the arts (Lee, 2018).
Generative AI has become a key direction in the development of artificial intelligence technology and is widely used in creative fields such as image generation, text generation and music creation. Generative AI is a new creative generation model that reshapes the way artists, designers and researchers conceive, develop and express their ideas. In particular, text- and image-based generative tools have shown great potential as cognitive partners in the entire design process. Large language model–based systems like ChatGPT (Wei et al., 2021) and Claude transcend the limitations of individual memory and verbal fluency, offering support in conceptual framing, narrative development, and linguistic refinement. By doing so, they expand both the efficiency and breadth of early-stage ideation (Alto, 2023). The integration of such tools is progressively altering the way designers seek inspiration and carry out creative exploration.
In the field of image generation, the advent of diffusion models has marked a significant breakthrough. These models operate by progressively adding and removing noise from image data, enabling the generation of visually coherent and detail-rich imagery (Ho et al., 2020). Platforms such as Disco Diffusion, Midjourney, Stable Diffusion, DALL·E 2, and Google’s Imagen represent this technical leap, allowing users to generate richly stylized and expressive images directly from textual descriptions. For designers and visual practitioners, such tools do more than streamline rendering tasks—they enable the direct visual articulation of abstract concepts, fostering greater freedom in ideation and promoting a more dynamic, iterative approach to form development and stylistic experimentation throughout the design process (Lv, 2023).
Over the past decade, generative artificial intelligence has been increasingly applied in the domains of art and design. In the context of visual advertising, the incorporation of AI technologies has enabled designers to devote greater attention to conceptual development and creative exploration, thereby contributing to substantial improvements in design outcomes (Lin and Liu, 2024). In fashion design, AI tools help designers predict trends more accurately and build prototypes faster. They also support tasks like virtual fitting and sales prediction. These applications improve the overall design workflow and help lower production costs (Wu et al., 2024). In product design, generative AI shows strong potential during early research and concept development. It allows teams from different fields to work together more efficiently and speeds up the idea generation process (Yin et al., 2023).
Wu et al. (2021) proposed a Human–AI co-creativity model that divides the design process into six stages: perception, reflection, expression, collaboration, construction, and testing (Wu et al., 2021). This model explains how both humans and AI can work together at each step of the creative process. AI tools, in particular, have shown strong performance in the construction and testing stages. They help improve speed and precision in later design tasks. This framework suggests a clear trend: generative AI is gradually shifting from being a simple tool to becoming a creative partner (Xu et al., 2024).
2.2 Creative cognition in the design process
Creative thinking is often described as an unconscious information processing activity through which individuals arrive at new insights—where inspiration strikes suddenly, like a flash of lightning (Miller, 2012). Psychological research suggests that creativity is a universal human trait, and that divergent thinking and convergent thinking are core components of the creative thinking process (Mumford, 2001). It is central to design and crucial for innovation (Sarkar and Chakrabarti, 2011). In design practice, creativity is not the product of isolated moments of inspiration, but rather a process that involves exploration, restructuring, and realization. Researchers have noted that the divergent phase plays a crucial role in stimulating a wide range of conceptual possibilities, while the convergent phase facilitates the selection, refinement, and integration of creative directions. These two modes of thinking interact and alternate throughout the design process, shaping the evolution of design thinking (Yilmaz and Seifert, 2011). The question of how creativity manifests itself in the design process has long been the focus of academic research, prompting researchers to study various generative strategies aimed at enhancing designers’ creative output (Yilmaz and Seifert, 2011; Kim and Maher, 2023).
As shown in Figure 1, originally proposed by the UK Design Council, the Double Diamond Design Model provides a structured framework for understanding the stages and cognitive logic underpinning design processes. The model has been used in many areas of creative work since its introduction (Design Council, 2005). It includes four main stages: Discover, Define, Develop, and Deliver. Each stage involves a shift between open exploration and focused decision-making. While the first two stages emphasize expanding and framing the problem space, the latter two focus on generating and refining potential solutions.

Figure 1. Double Diamond Design Model. The Double Diamond design model consists of four stages: Discover, Define, Develop, and Deliver.
In the Discovery phase, designers conduct extensive research aimed at broadening their creative thinking. This is followed by the Define phase, where designers synthesize the information they have gathered to articulate a focused design brief, laying a structured foundation for subsequent ideation. During the “Develop” phase, designers engage in activities such as brainstorming and sketching to explore and compare multiple conceptual solutions, aiming to maximize creative potential. The “Deliver” phase emphasizes the feasibility and presentation quality of the design solution. At this stage, designers are required to integrate all design elements and finalize the complete design output (Cross, 2023).
Within this design process, divergent thinking enables designers to break through predefined problem boundaries and explore innovative possibilities from a broader perspective, while convergent thinking guides them toward evaluating feasibility and refining solutions. In the first two stages, creativity is reflected in the designer’s ability to recognize the essence of the problem and to reorganize it conceptually. In the latter two stages, it shifts toward the depth of idea development and the clarity of visual articulation. Through iterative design processes, initial creative concepts are gradually developed into comprehensive and actionable design solutions.
2.3 The role of experience in design
Design experience plays a pivotal role not only in improving task efficiency and execution fluency but also in shaping the cognitive structures and strategic approaches that underpin creative work. Studies have found that experienced designers approach problems in a distinct way. They often begin with a top-down or breadth-first strategy, drawing on prior project experience to quickly clarify the design challenge. This early structuring allows them to gather relevant information efficiently and to shape a more focused direction for developing ideas and solutions (Cross, 2023; Cross, 2004). In contrast, novice designers often work in a depth-first and linear way. They tend to focus on one part of the problem at a time. While some may show signs of intuitive or associative thinking, they usually lack a full understanding of the overall task. Because of this, their design outcomes are often fragmented and lack internal consistency (Alipour, 2021).
These differences are not caused by natural ability. Instead, they grow out of long-term, focused practice. According to Ericsson et al.’s (1993) theory of expertise, professional skills improve through goal-directed effort, regular feedback, and sustained training over time (Ericsson et al., 1993).
From the perspective of creativity studies, creative work does not come from pure logic or sudden insight alone. Instead, it develops step by step through testing and adjustment. This process depends on what the designer already knows and the situation they face. Experienced designers are better able to judge, sort, and reshape new ideas. As a result, their work tends to be both more original and more complete in concept (Simonton, 2003).
3 Materials and methods
The study was carried out in two stages. The first stage focused on constructing a Human–AI Co-Creative Design Process (HAI-CDP) model. In the second stage, a controlled experiment was conducted to evaluate the model’s effectiveness in supporting design creativity, in comparison to a Traditional Creative Design Process. The experiment also explored whether designers with different levels of experience exhibited significant differences in creative performance, and whether there was an interaction effect between design experience and the type of design process used.
In the first phase, we conducted semi-structured interviews with 13 experienced designers in the fields of animation and visual design. The aim was to identify the AI tools currently used in creative practice and to determine the stages of the design process where creative expression is most actively manifested. Based on these insights, and informed by the Double Diamond model, we developed the Human–AI Co-Creative Design Process (HAI-CDP) model.
The second phase involved a 2 × 2 factorial experiment designed to examine the effects of design process (Traditional Creative Design Process, TCDP vs. Human–AI Co-Creative Design Process, HAI-CDP) and designer experience (novice vs. experienced) on creative performance. Creativity was assessed using five dependent variables: perceived creative support capability, novelty, level of refinement, quality, and the number of ideas generated. Finally, interviews with selected participants were conducted to explore how designers with varying levels of experience perceived their use of the Human–AI Co-Creative Design Process (HAI-CDP).
This study involved both a comparative design experiment and semi-structured interviews with human participants. The research protocol was reviewed by the Institutional Review Board of Hongik University (IRB No. 7002340-202506-HR-009-01) and was granted an ethics exemption on June 18, 2025. All participants were fully informed about the purpose and procedures of the study, and written informed consent was obtained prior to their participation. No personally identifiable information was collected during the study, and all data were anonymized to ensure confidentiality and privacy.
3.1 Construction of the Human–AI Co-Creative Design Process model
This study conducted semi-structured interviews with 13 professional designers from the fields of visual design and animation. All participants had over 3 years of practical project experience. The interviews focused on two main aspects (Supplementary material for semi-structured interview):
1. Designers’ experiences using AI-assisted tools in real-world projects and their reflections on these collaborative processes;
2. The specific stages of the design process where AI tools were integrated. Each interview lasted between 15 min.
To construct the Human–AI Co-Creative Design Process Model, this study adopted a systematic and rigorous three-level coding approach based on semi-structured interview data collected from 13 professional designers. The research team first conducted a line-by-line analysis of each interview transcript to extract meaningful information related to design activities, creative thinking, and the use of AI tools. All primary codes were derived directly from participants’ original statements. For example, several designers described searching for reference materials and analyzing background information before moving on to sketch creation, which led to the identification of initial codes such as “task analysis” and “design background construction”.
Building on these primary codes, we grouped semantically related concepts into broader secondary codes to capture shared behavioral patterns and design intentions across participants. For instance, “task analysis,” “problem understanding,” and “design background construction” were consolidated under the secondary category “design task and goal setting,” whereas “AI image generation” and “creative divergence” were grouped under “initial visual construction.” Further synthesis and comparison of these secondary categories resulted in the derivation of tertiary codes, through which the research team identified four core stages of the Human–AI collaborative design process: (a) concept definition, (b) visual exploration, (c) design development, and (d) implementation integration. The categorization of these stages emerged through iterative discussions among researchers to ensure both theoretical alignment with prior studies on design process and accurate representation of designers’ collaborative practices.
To enhance the reliability of the analysis, two researchers independently completed the initial coding and resolved discrepancies through multiple rounds of discussion until full agreement was reached. Table 1 summarizes the hierarchical mapping from primary codes to secondary categories and finally to the four overarching stages, along with representative AI tools associated with each stage of the design process.
During the concept definition stage, designers primarily relied on language-based generative tools such as ChatGPT, Claude AI, and Gemini to support task interpretation, keyword extraction, and the development of initial textual concepts. In the visual exploration and design development stages, tools like Midjourney, Stable Diffusion, DALL·E, and Canva AI were frequently used for sketch generation, compositional divergence, and stylistic variation. Additionally, when the design task involves 3D modeling, designers tend to utilize tools such as Luma AI, Blender AI, and MeshLab to support structural modeling and the final visualization of their solutions.
It is important to note that although AI tools offer efficient generative capabilities across various stages of the design process, the designer’s role in making judgments and decisions remains irreplaceable. As one designer explained:
“I use AI to explore early concepts. It generates many directions, though not all are usable. I select the best ideas or combine useful parts from multiple options.” (Designer 3)
Designer emphasized the need for critical evaluation when working with AI-generated visuals:
“I initially use AI to generate concept sketches and explore directions. However, many of the images have issues—such as distorted proportions or missing design elements.so I repeatedly review, modify, and recombine usable parts.” (Designer 11)
“AI can offer some unexpected visual results, but I still have to define the final stylistic direction. I typically generate a few rounds, manually filter out what does not fit, and then continue refining the selected options.” (Designer 12)
These reflections make clear that AI outputs in design practice do not function as ready-made solutions. Instead, they require deliberate filtering, adaptation, and judgment from the designer to be meaningfully integrated into the design process. In design practice, structured innovation frameworks play a critical role in enhancing efficiency and supporting creative expression.
The Double Diamond emphasizes the importance of balancing divergent thinking with convergent thinking throughout the process, ensuring both the diversity of creative exploration and the feasibility of final outcomes.
To better accommodate the characteristics of Human–AI Co-Creative Design, this study restructures the design process into four sequential cognitive stages—concept definition, visual exploration, design development, and implementation —in which AI’s generative capacity and the designer’s evaluative judgment alternate and interact. This iterative interplay enables continuous refinement and adjustment throughout the process.
Accordingly, as shown in Figure 2, the study extends the traditional Double Diamond framework into a Four-Diamond Model, composed of four distinct yet interconnected phases. While retaining the original logic of divergence and convergence, the revised model offers a more explicit representation of how AI is embedded within each stage and what functional roles it performs.

Figure 2. The Human–AI Co-Creative Design Process model. The Human–AI Co-Creative Design Process model consists of four continuous cognitive stages: concept definition, visual exploration, design development, and implementation. Throughout the process, the generative capabilities of AI and the designer’s evaluative judgment alternate and interact with each other.
3.1.1 Phase one: Concept definition
This phase focuses on establishing the initial design problem and core conceptual direction, covering key dimensions such as design context, market demands, and cultural positioning. During the divergent stage, designers can leverage generative AI tools based on large language models (LLMs), such as ChatGPT, to conduct multi-round iterations. These tools help articulate the background of the design problem and the intended cultural attributes, while also facilitating the extraction of key terms for constructing the initial design framework.
The process then moves into a convergent phase, where designers purposefully filter and restructure the generated content to distill creative directions aligned with the design goals. Based on the improved concepts, designers set visual directions and create basic style rules. They then turn selected ideas into clear prompts for AI image tools. This helps the generated images stay close to their original creative goals.
3.1.2 Phase two: Visual exploration
This stage focuses on the early visual expression of design concepts. The goal is to explore a wide range of possibilities by creating different types of concept sketches. In the divergent stage, designers use the refined prompts from the previous phase along with AI image tools like Midjourney and Stable Diffusion. These tools help generate a broad set of visual results. Designers go through several rounds of trial and error. After each round, they adjust the prompts to better match their intended design direction.
In the convergent stage, designers review the generated sketches. They compare them with the design concepts and their own visual judgment. The sketches that best reflect the project’s core ideas and style are kept for further development.
3.1.3 Phase three: Design development
This stage centers on refining design elements and integrating stylistic choices that align with the intended concept. In the divergent phase, designers apply tools such as Midjourney and Stable Diffusion to evolve early sketches into multiple stylistic directions. These iterations support the exploration of form, color, and composition across varied visual possibilities.
Rather than adopting AI outputs passively, designers intervene actively, selecting and adjusting visual variations according to project goals and esthetic judgment. Through repeated refinement, the proposals gradually converge into a coherent and visually resolved design solution.
3.1.4 Phase fourth: Implementation
In the final stage, the design process turns to integration and delivery. Designers focus on organizing earlier outputs and adjusting details. The goal is to move smoothly from idea development to practical application. For design tasks requiring 3D modeling or product visualization, emerging AI-powered technologies (such as diffusion-based image-to-3D systems and neural rendering frameworks) enable the rapid translation of earlier 2D sketches or concept images into manipulable 3D models, significantly streamlining the handoff between ideation and production. This cross-modal transformation not only improves modeling efficiency but also leverages algorithmic training on large datasets of structural semantics, enabling the system to partially emulate the stylistic tendencies and proportional control of professional modelers.
Similar to other domains, artistic design requires a high degree of creativity and advanced design thinking. In the divergent phase, AI tools such as Midjourney and ChatGPT enable designers to quickly generate a large volume of ideas and conceptual directions, pushing the boundaries of creative exploration. During the convergent phase, designers engage in critical filtering, evaluation, and restructuring of the AI-generated content, selecting the most promising directions and integrating their own esthetic judgment to ensure that the final creative output is expressed with clarity and visual coherence.
3.2 Creativity comparison experiment between Traditional Creative Design Process and Human–AI Co-Creative Design Process
3.2.1 Experimental design
This study aims to compare the impact of the Human–AI Co-Creative Design Process and the Traditional Creative Design Process on creative performance in design. The design task focused on a character development theme entitled “Mechanical Beings of a Future World.” The theme brings together elements of future environments, biological traits, and mechanical structures. It gives designers a broad scope to explore creative ideas and visual possibilities. Conducted entirely online, the experiment required each participant to complete character concept design within a 48-h time frame. Participants were instructed to generate a range of conceptual designs and submit a written rationale detailing the design’s inspiration, defining features, and core conceptual narrative.
To more effectively capture participants’ creative expression, the study was informed by prior research highlighting the role of concept sketches as primary indicators of design thinking and ideation. Accordingly, participants were only required to develop visual concepts, without the need for fully rendered 3D models.
3.2.2 Participants
A total of 42 designers participated in the experiment, including 21 novices and 21 experienced designers. The novice group consisted of second-year undergraduate students majoring in animation or visual design, with an average age of 19.67 years (SD = 0.73), none of whom had participated in real-world design projects. The experienced group included designers with more than 3 years of work experience in animation or visual design–related fields, with an average age of 28.38 years (SD = 1.36). Upon completion of the task, three industry experts—each with over 10 years of experience in visual design—were invited to independently evaluate the creative outcomes submitted by the participants.
3.2.3 Definition and measurement of variables
In the design process, design thinking primarily involves translating written concepts into visual forms. A critical step in this translation is the production of numerous conceptual sketches, which serve as the primary means of converting novel ideas into visual representations (Ullman et al., 1990). These help the designer absorb the provided background information and serve as an outlet for creative insight based on their cognitive ability and experience. Early concept sketching is, therefore, very much a closely related mechanism within design thinking and creative potential (Camba et al., 2018).
Previous studies, using the principles of statistical design of experiments, have outlined four distinct but effective metrics for evaluating creativity: idea novelty, variety, quality, and quantity. Shah et al. (2003) further discussed these criteria. Novelty refers to the degree an idea is novel or unexpected, while quality assesses the feasibility of the idea and how well it responds to design requirements (Hernandez et al., 2010; Shah et al., 2003). Quantity is simply the number of concept sketches created within a given time frame; it is often referred to as fluency or productivity (Kudrowitz and Wallace, 2013). Given the absence of a universally accepted standard for assessing creativity in design (Laing and Masoodian, 2016), this study developed an evaluation framework based on the aforementioned literature. The framework considers five dimensions of creative performance: perceived creative support capability, novelty, quality, refinement of the design output, and the number of ideas generated.
Perceived creative support capability reflects participants’ subjective experience of how much the design process stimulated their creativity; higher scores indicate stronger perceived support. Quality assesses the alignment between the character design and its narrative context and artistic style, as well as the completeness of its details. Novelty evaluates the uniqueness of the character’s visual language, costume design, color scheme, and material details. Design refinement measures the richness and precision of the visual details presented. These four dimensions were rated using a standardized Likert scale, where 1 indicates poor, 2 indicates below average, 3 indicates average, 4 indicates above average, and 5 indicates excellent. Number of ideas generated refers to the number of character design concepts produced within a given time frame, indicating the level of creative productivity.
3.2.4 Experimental procedure and data collection
To ensure scientific rigor, as illustrated in Figure 3 and Table 2, this study strictly regulated the tools used in both the Traditional Creative Design Process (TCDP) and the Human–AI Co-Creative Design Process (HAI-CDP) in order to control experimental variables as much as possible and enhance the reliability of the results.

Figure 3. Experimental implementation steps. In the Traditional Creative Design Process, participants used search engines and design software to develop ideas and visuals. In the Human–AI Co-Creative Design Process, they used ChatGPT for conceptual ideation and AI image generators like Midjourney and stable diffusion for visual development.
Prior to the experiment, a brief online training session was conducted to ensure that all participants fully understood the experimental procedure, the tools permitted at each stage, and the specific objectives of the task. Participants were instructed to strictly follow the experimental workflow and tool configuration as outlined in Table 2 and Figure 3. To maintain consistency, they were required to document the tools used at each stage of the process. All participants first completed the TCDP phase and then proceeded to the HAI-CDP phase. This sequence was adopted to establish a baseline for the Traditional Creative Design Process before introducing AI support, thus preventing ideas generated under the Human–AI Co-Creative Design condition from carrying over into the traditional creative design context. This arrangement ensured that the human-only baseline remained uncontaminated and provided a clearer foundation for comparing the two processes.
During the experiment, all participants completed a character design task based on the assigned theme. In the TCDP, participants primarily relied on platforms such as Google Search and Pinterest during the concept exploration and definition stages to collect references, gather inspiration, and generate diverse creative ideas. In the design development and style refinement stages, they used digital illustration tools such as Adobe Photoshop and Procreate to refine character appearances and convey the intended artistic style.
In the HAI-CDP, participants used ChatGPT during the concept definition stage to generate ideas related to conceptual descriptions, design inspiration, and reference materials. During the visual exploration and design development stages, AI image-generation tools such as Midjourney and Stable Diffusion were employed to produce visual concepts through text-to-image generation, followed by iterative refinement. Upon completion of the experiment, all participating designers evaluated the creative support capability of the two design processes using a 5-point Likert scale.The number of ideas generated was determined by the total number of design outcomes ultimately submitted by the participants.
Finally, all submitted design outputs were independently evaluated by three experts, each with over 10 years of professional experience in visual design and character development. To ensure the objectivity and fairness of the evaluation process, the experts conducted their assessments individually, reviewing each participant’s design work one by one without any discussion or influence from one another. A strict blind review procedure was implemented. During the evaluation, the experts had no access to any information regarding participant identities, experimental group assignments, or the design methods used. Their judgments were based solely on the visual presentation and creative qualities of the submitted works. Each expert independently rated every design across three creativity-related dimensions: novelty, quality, and refinement. A 5-point Likert scale was used for all ratings, and the final score for each dimension was calculated as the arithmetic mean of the three experts’ evaluations. These aggregated scores were subsequently used for statistical analyses in the study.
4 Results
A reliability analysis was conducted to assess the internal consistency of the measure across different dimensions. Such analysis was based on five principal aspects of creative assessment: perceived creative support capability, novelty, quality, level of refinement, and the number of ideas generated. The analysis was carried out using SPSS 27 and produced a Cronbach’s alpha coefficient of 0.878, exceeding the generally accepted 0.8 cutoff level (Cortina, 1993). This indicates that the data are highly reliable and suitable for further statistical analysis. As illustrated in Figure 4, expert evaluations of participants’ design outputs, specifically in terms of novelty, quality, and level of refinement, are briefly discussed. To further illustrate the evaluation, representative examples of design outcomes from this experiment rated low in novelty, refinement, and quality, as well as those rated high on these dimensions, are provided in the Supplementary Figures 1, 2.

Figure 4. Expert evaluations of participants’ design outcomes. Expert evaluations of participants’ design outputs, specifically in terms of novelty, quality, and level of refinement, are briefly discussed.
Given the balanced group sizes (n = 21 per group) and prior findings that parametric tests are robust to moderate deviations from normality (Blanca Mena et al., 2017), the use of t-tests and ANOVA was deemed appropriate.
4.1 Creativity analysis across two design processes
Paired sample t-test results indicated that the Human–AI Co-Creative Design Process (HAI-CDP) significantly outperformed the Traditional Creative Design Process (TCDP) across all dimensions of creativity (Supplementary material for analysis results). For novice designers, significant improvements were observed in creative support capability (t = 8.645, p < 0.001), quality (t = 13.974, p < 0.001), level of refinement (t = 19.481, p < 0.001), and the number of ideas generated (t = 8.919, p < 0.001). Among these, the most notable gains were in novelty and refinement, suggesting that the HAI-CDP offers substantial advantages in both fostering idea generation and enhancing the refinement of creative output.
Among experienced designers, the pattern of improvement under the HAI-CDP differed from that of novice participants. The most notable enhancements were observed in quality (t = 21.359, p < 0.001) and level of refinement (t = 21.855, p < 0.001), indicating that the design process primarily contributed to refining and enhancing the presentation of existing ideas, rather than generating novel concepts. While novelty also showed significant improvement (t = 17.426, p < 0.001), the effect was slightly less pronounced than that observed among novice designers, suggesting that experience level influences how designers benefit from different design process.
A steady improvement was also observed in creative support capability (t = 9.350, p < 0.001). Although there was also a significant increase in the number of ideas generated (t = 12.619, p < 0.001), this dimension was less affected compared to quality and refinement.
Taken together, for novice designers, HAI-CDP served primarily as a stimulus for idea generation, while for experienced designers, it functioned more as a means of improving execution and elevating design sophistication.
4.2 Analysis of the impact of design experience on creativity
In this study, independent samples t-tests were conducted to compare the creative performance of experienced designers and novice designers under both design process (Supplementary material for analysis results). The results revealed significant differences in the influence of design experience on creative outcomes across the Traditional Creative Design Process (TCDP) and the Human–AI Co-Creative Design Process (HAI-CDP).
Under the TCDP, experienced designers outperformed novice designers significantly in several dimensions, including novelty (t = 4.514, p < 0.001), quality (t = 5.972, p < 0.001), level of refinement (t = 11.073, p < 0.001), and number of ideas generated (t = 5.311, p < 0.001), all showing statistically significant differences (p < 0.05). However, no significant difference was found in creative support capability (t = 1.923, p = 0.062), indicating that participants’ perceived support for creativity did not vary substantially by experience level under the traditional process.
Under the HAI-CDP, the effect of experience on perceived creative support was not significant (t = −0.591, p > 0.05), indicating that the HAI-CDP helped narrow the gap in perceived creative support between novice and experienced designers. However, significant differences remained in other dimensions, including novelty (t = 6.526, p < 0.001), quality (t = 6.145, p < 0.001), level of refinement (t = 13.099, p < 0.001), and number of ideas generated (t = 6.460, p < 0.001).
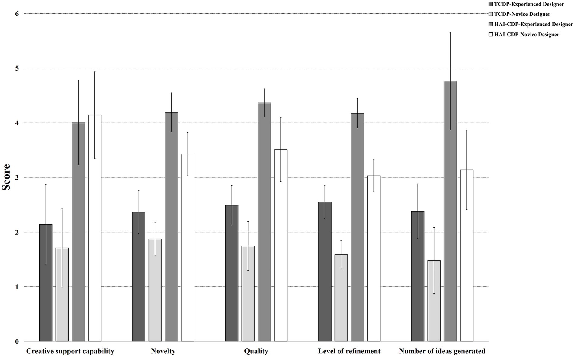
These results suggest that design experience continues to play a crucial role in determining the novelty, quality, and detail of creative outputs. As illustrated in Figure 5, the means and standard deviations of creative performance scores across different design processes and experience levels are illustrated. In the TCDP, novice designers exhibited relatively low performance across all dimensions, with particularly low scores in creative support capability (M = 1.71, SD = 0.72) and novelty (M = 1.87, SD = 0.31), suggesting that without AI assistance, their ability to generate ideas and explore divergent concepts was limited. However, under the HAI-CDP, novice designers demonstrated substantial improvements across all dimensions. The most pronounced gains were observed in creative support capability (M = 4.14, SD = 0.79) and the number of ideas generated (M = 3.14, SD = 0.73). Moreover, notable improvements were also found in novelty (M = 3.43, SD = 0.40) and level of refinement (M = 3.03, SD = 0.29), with markedly lower standard deviations in these dimensions. This indicates that the integration of AI not only enhanced creative performance but also promoted greater stability among novice designers’ outputs.

Figure 5. Creativity scores and standard deviations of experienced and novice designers. Mean and standard deviation of creative performance scores across experience levels in the Traditional Creative Design Process and the Human–AI Co-Creative Design Process.
By contrast, experienced designers also exhibited significant improvements under the HAI-CDP condition, but the performance trends differed from those of novice designers. The most substantial gains were observed in quality (M = 4.36, SD = 0.26) and level of refinement (M = 4.17, SD = 0.27) compared to the TCDP condition (quality: M = 2.49, SD = 0.36; level of refinement: M = 2.55, SD = 0.30). These results suggest that AI assistance enabled experienced designers to maintain a higher level of creative performance while producing outputs with greater stability. In addition, novelty also improved markedly under the HAI-CDP (M = 4.19, SD = 0.36), although the increase was less pronounced than that of novice designers, implying that experienced designers benefited less from AI when generating breakthrough ideas. Interestingly, the number of ideas generated by experienced designers under the HAI-CDP condition (M = 4.76, SD = 0.89) was substantially higher than under TCDP (M = 2.38, SD = 0.50), but the relatively large standard deviation suggests that, even with AI assistance, individual differences in large-scale idea generation remained pronounced among experienced designers.
To quantify the creativity gap between Novice Designers and Experienced Designers under the TCDP and the HAI-CDP, the study introduces the following calculation approach based on the experimental design. First, to clarify the differences in performance across various dimensions, the creativity gap is defined using the following formula:
The mean scores were calculated based on expert evaluations of each group’s performance across different dimensions during the experiment.
To further evaluate the effectiveness of the HAI-CDP in narrowing the creativity gap between designers, this study defines the following formula for calculating the gap reduction percentage:
This formula is used to measure the relative reduction in performance disparities between the Human–AI Co-Creative Design Process (HAI-CDP) and the Traditional Creative Design Process (TCDP). As illustrated in Figure 6, a higher percentage indicates a greater effectiveness of HAI-CDP in narrowing the creativity gap between the two groups of designers.

Figure 6. Gap between the two groups of designers. The Human–AI Co-Creative Design Process notably enhanced novice designers’ perceived creative support but failed to narrow the experience gap in key creative dimensions like novelty, quality, refinement, and idea generation.
As shown in the Figure 6, in the dimension of Creative Support Capability, the HAI-CDP significantly improved the performance of novice designers (Gap Reduction = +133.33%). However, in two key creative dimensions (Novelty and Quality) the gap widened, with Gap Reduction values of −55.09% and −14.54%, respectively. In the dimension of Number of Ideas Generated, the advantage of experienced designers was further amplified under the HAI-CDP condition, with a Gap Reduction of −78.95%.
These results suggest that the effectiveness of the HAI-CDP varies significantly across dimensions. While it provides substantial support in enhancing perceived creative assistance, it falls short in bridging the experience gap in core creative aspects such as novelty, quality, refinement, and number of idea generation.
4.3 Analysis of the interaction between design process and designer experience
A two-way analysis of variance (Two-Way ANOVA) was conducted to examine the effects of design process (TCDP vs. HAI-CDP) and designer experience (Novice Designer, ND vs. Experienced Designer, ED) on creative performance (Supplementary material for analysis results).
The results revealed significant main effects of the design process across all dimensions of creative performance[Creative Support Capability: F(1,80) = 170, p < 0.001, Novelty: F(1, 80) = 448, p < 0.001, Quality: F(1, 80) = 377, p < 0.001, Refinement: F (1, 80) = 619, p < 0.001, Number of Ideas Generated: F(1, 80) = 178, p < 0.001]. These findings indicate that the HAI-CDP significantly enhances designers’ creative performance across multiple dimensions.
The main effect of designer experience was significant in the dimensions of Novelty (F(1, 80) = 61.6, p < 0.001), Quality (F(1, 80) = 73.3, p < 0.001), Level of Refinement (F(1, 80) = 292, p < 0.001), and Number of Ideas Generated (F(1, 80) = 69.3, p < 0.001), indicating that experienced designers outperformed novice designers in these dimensions. However, in the dimension of Creative Support Capability, the main effect of experience was not significant (F(1, 80) = 0.755, p = 0.388), suggesting that performance in this dimension was primarily influenced by the design process rather than by the designer’s level of experience.
The interaction effect analysis revealed that the interaction between design process and designer experience was significant only in the dimension of Number of Ideas Generated (F(1, 80) = 5.56, p = 0.021), as shown in Figure 7. No significant interaction effects were observed for Novelty (F(1, 80) = 2.88, p = 0.094), Quality (F(1, 80) = 0.34, p = 0.56), Level of Refinement (F(1, 80) = 2.12, p = 0.149), or Creative Support Capability (F(1, 80) = 3.02, p = 0.086).

Figure 7. Interaction effect. The interaction effect was significant only for the number of ideas generated, and the Human–AI Co-Creative Design Process particularly benefited novice designers in this dimension.
These results indicate that the effect of the design process differed by experience level, particularly in the number of idea generation dimension. Novice designers showed a more substantial increase in the number of ideas produced, while the improvement among experienced designers was comparatively smaller. This suggests that the HAI-CDP was especially helpful in stimulating number of idea generation for novice designers. In contrast, for novelty, quality, and refinement, the influence of the design process appeared more consistent across experience levels.
5 Discussion
This study developed a co-creative design process model that integrates generative artificial intelligence with human designers. It further investigated how this model influences designers’ creative performance in design tasks, in comparison to a traditional creative design process.
Regarding Research Question 1, as illustrated in Figure 8, the following analysis draws upon the actual workflow of experienced designers using the HAI-CDP. In the concept definition stage, designers employed text-based generative tools to articulate character identities and design contexts. At this stage, AI served as an auxiliary force—broadening imaginative possibilities and helping to establish a structured conceptual foundation to support downstream visual development. During the visual exploration stage, designers used image-generation tools to produce a variety of conceptual sketches. This phase was characterized by iterative interactions between human esthetic judgment and AI-generated suggestions, facilitating a shift from open-ended exploration to a more focused creative direction. In the design development stage, AI tools assist in enhancing detailed design features, costume elements, and body movements, while also generating multi-perspective visual representations. Designers then refined, adjusted, and synthesized these outcomes through personal esthetic judgment, ensuring consistency in design style and depth in expressive quality.

Figure 8. Practical workflow of experienced designers using the HAI-CDP. Experienced designers used the Human–AI Co-Creative Design Process as a flexible collaborator across stages, expanding concepts, supporting visual exploration, and refining details, while retaining creative control and judgment throughout the process.
Throughout the entire design process, AI is not positioned as the executor or decision-maker of the task, but rather plays different roles at different stages. In the early phase, AI supports creative expansion and concept divergence; in the middle phase, it facilitates the generation and exploration of visual forms; and in the later phase, it contributes to refining details and optimizing visual output. The co-creativity between designer and AI is most prominent during the integration phase, where the evaluation, selection, and synthesis of AI-generated content rely heavily on the designer’s experience and cognitive judgment.
Regarding whether the Human–AI Co-Creative Design Process enhances designers’ creative expression, the results of this study indicate that performance under the collaborative process was significantly higher than that under the traditional design process across all evaluated dimensions. This finding aligns with Shneiderman’s concept of ‘Human-Centered AI,’ which advocates for the use of artificial intelligence as a means to augment human capabilities rather than replace human creativity (Shneiderman, 2022).
In the HAI-CDP, generative AI tools serve different functions depending on the designer’s level of experience. For novice designers, they act as a source of inspiration, helping to break through cognitive barriers and stimulate idea generation. For experienced designers, the same AI tools contribute more to the refinement stage, enhancing the detail and overall quality of the design outcome. This distinction reflects the view of Runco and Jaeger (2012), who emphasized that creative support can operate at two levels: one focused on generation, the other on refinement. While novices benefit from the former by overcoming limitations in ideation, experienced designers are more likely to engage with the latter, using such tools to push their ideas toward greater precision and completeness (Runco and Jaeger, 2012).
Regarding Research Question 3, this study found that designers with different levels of experience performed differently within the Human–AI Co-Creative Design Process (HAI-CDP). In the Traditional Creative Design Process (TCDP), experience led to significant differences in novelty, output quality, and level of refinement. This aligns with existing views that experience enhances both the originality and execution quality of creative work (Ericsson et al., 1993).
Two primary cognitive explanations account for this: First, experience facilitates the development of more sophisticated creative schemas, which accelerate access to relevant concepts, visual forms, and design languages—thus supporting greater novelty in outcomes. Second, experience strengthens attention to refinement, enabling designers to exert more precise control over visual and conceptual details, thereby improving the overall quality of their work (Amabile, 2018).
Although the HAI-CDP helped reduce the gap in perceived creative support between novice and experienced designers, experienced designers still achieved higher scores in novelty, quality, and refinement. This shows that while AI tools can support novice designers in generating ideas, experience remains a key factor in creative performance.
This study examines how design methods interact with experience. The clearest difference appeared in the number of ideas produced. Novice designers generated more ideas when using the HAI-CDP. In contrast, experienced designers used AI more selectively. They focused on using it to improve the clarity and detail of their designs. These findings suggest that AI does not affect all designers in the same way. Its effect depends on how much experience the designer has.
After the task, both novice and experienced designers shared their feedback on the HAI-CDP. Many novice designers said that AI helped them most during the early stages. In particular, they found it useful in shaping ideas and creating first visual drafts. In these phases, AI worked as a key source of creative push. As one novice designer explained: “At the beginning of the task, I had no direction at all. It was ChatGPT that helped me build the background and key concepts for the character, and then Midjourney turned those into concept sketches. That’s when everything started to make sense.”
Another novice designer also noted: “The visual styles generated by AI were really diverse, and much faster than sketching by hand. It saved me a lot of time I would’ve spent on trial and error.”
In contrast, experienced designers exhibited a more differentiated attitude toward the use of generative AI. During the “Visual Exploration” and “Design Development” stages, they tended to treat AI as a supportive tool for rapidly presenting and adjusting visual content, rather than as a primary driver of creative ideation.
One experienced designer noted: “During the HAI-CDP, I used AI primarily to accelerate the visualization of compositional ideas, not to generate design solutions for me. I rely more on my own judgment.” This perspective underscores experienced designers’ heightened sensitivity to maintaining control over visual style and creative authorship.
Another participant remarked: “I actually discarded a lot of the AI-generated content because it was overly ornate—it interfered with my later-stage decision-making.”
Such views do not reject the capabilities of AI per se; rather, they reflect a preference among experienced designers to treat AI as a controllable tool rather than an autonomous creator. This aligns with findings by Longo et al. (2024), who observed that experienced designers tend to maintain a strong sense of control over the creative process, emphasizing the human-centered nature of co-creativity (Longo et al., 2024).
Overall, novice designers were more inclined to rely on generative AI during the early stages of the HAI-CDP to compensate for their cognitive limitations in problem framing and ideation. In contrast, experienced designers emphasized the instrumental value of AI in the later stages, particularly in execution and refinement. This experience-based divergence highlights how designers perceive “creative agency” within co-creative workflows, offering clear guidance for future Human–AI collaborative systems to better adapt to varying levels of user expertise.
While the HAI-CDP demonstrated clear benefits in enhancing creativity across multiple dimensions, it is important to acknowledge potential risks identified in recent studies. Wadinambiarachchi et al. (2024) found that when designers rely too heavily on AI-generated outputs, they are more likely to experience design fixation and a reduction in divergent thinking (Wadinambiarachchi et al., 2024). Overall, these contrasting results highlight that the impact of generative AI on creativity is highly dependent on the specific collaborative approach.
In contrast, our findings suggest that these risks can be mitigated through the structured integration of AI within the HAI-CDP. By embedding AI into a designer-driven process, novice designers primarily used AI to overcome early-stage cognitive barriers, while experienced designers engaged with AI more selectively, focusing on refinement rather than ideation. Within the Human–AI Co-Creative Design Process (HAI-CDP), AI serves to augment human capabilities while preserving designers’ control over creative decision-making.
This study proposes a Human–AI co-creative design model and demonstrates its impact on creative performance, several limitations should be acknowledged. First, the participant pool was limited to students and designers in animation and visual design. Future research should expand to include a broader range of design professionals. Second, the relatively small sample size may constrain the generalizability of the findings. Lastly, although evaluation was not the primary focus of this study, the subjective nature of creative assessments may have influenced the outcomes. Future research could explore the application of generative AI in more complex and integrated design contexts, offering deeper insights into its role across a wider spectrum of design disciplines.
6 Conclusion
This study introduces a new design process model—the Human–AI Co-Creative Design Process (HAI-CDP). The results demonstrate that the Human–AI Co-Creative Design Process can substantially improve designers’ creative performance. In Traditional Creative Design Processes, creativity is usually closely related to the experience level of designers. The Human–AI Co-Creative Design Process seems to narrow this gap, enabling novice designers to produce results closer to those of experienced designers.
In addition, the study examined how the design process interacts with the level of design experience. The Human–AI Co-Creative Design Process (HAI-CDP) showed a more pronounced effect on stimulating idea generation among novice designers, whereas experienced designers benefited more in terms of enhancing the overall quality and refinement of their outcomes. These results indicate that although the co-creative process helps lower the threshold for engaging in creative tasks, experience continues to play a decisive role in determining the sophistication and depth of creative output.
Data availability statement
The original contributions presented in the study are included in the article/Supplementary material, further inquiries can be directed to the corresponding author.
Ethics statement
The studies involving humans were approved by Institutional Review Board of Hongik University. The studies were conducted in accordance with the local legislation and institutional requirements. The participants provided their written informed consent to participate in this study.
Author contributions
NW: Conceptualization, Data curation, Formal analysis, Methodology, Visualization, Writing – original draft, Writing – review & editing. HK: Methodology, Project administration, Supervision, Writing – review & editing. JP: Data curation, Investigation, Validation, Writing – original draft. JW: Data curation, Investigation, Validation, Writing – original draft.
Funding
The author(s) declare that no financial support was received for the research and/or publication of this article.
Acknowledgments
We would like to thank all participants for their valuable contributions. We also sincerely thank Hongik University and Professor Hyunsuk Kim for their generous support and insightful guidance during the research process.
Conflict of interest
The authors declare that the research was conducted in the absence of any commercial or financial relationships that could be construed as a potential conflict of interest.
Generative AI statement
The authors declare that no Gen AI was used in the creation of this manuscript.
Any alternative text (alt text) provided alongside figures in this article has been generated by Frontiers with the support of artificial intelligence and reasonable efforts have been made to ensure accuracy, including review by the authors wherever possible. If you identify any issues, please contact us.
Publisher’s note
All claims expressed in this article are solely those of the authors and do not necessarily represent those of their affiliated organizations, or those of the publisher, the editors and the reviewers. Any product that may be evaluated in this article, or claim that may be made by its manufacturer, is not guaranteed or endorsed by the publisher.
Supplementary material
The Supplementary material for this article can be found online at: https://www.frontiersin.org/articles/10.3389/fcomp.2025.1672735/full#supplementary-material
Abbreviations
TCDP, Traditional Creative Design Process; HAI-CDP, Human–AI Co-Creative Design Process.
References
Alipour, L. (2021). The relation between design expertise and the quality of design idea. Int. J. Architect. Eng. Urban Plan. 31, 1–11. doi: 10.22068/ijaup.31.1.585
Amabile, T. M. (2018). Creativity in context: Update to the social psychology of creativity. New York: Routledge.
Amershi, S., Weld, D., Vorvoreanu, M., Fourney, A., Nushi, B., Collisson, P., et al. (2019). Guidelines for human-AI interaction. In proceedings of the 2019 chi conference on human factors in computing systems. ACM, New York, NY, USA. 1–13.
Blanca Mena, M. J., Alarcón Postigo, R., Arnau Gras, J., Bono Cabré, R., and Bendayan, R. (2017). Non-normal data: Is ANOVA still a valid option? Psicothema 29, 552–557. doi: 10.7334/psicothema2016.383
Camba, J. D., Kimbrough, M., and Kwon, E. (2018). Conceptual product design in digital and traditional sketching environments: a comparative exploratory study. J. Des. Res. 16, 131–154. doi: 10.1504/jdr.2018.092810
Cortina, J. M. (1993). What is coefficient alpha? An examination of theory and applications. J. Appl. Psychol. 78, 98–104. doi: 10.1037/0021-9010.78.1.98
Cross, N. (2004). Expertise in design: an overview. Des. Stud. 25, 427–441. doi: 10.1016/j.destud.2004.06.002
Cross, N. (2023). Design thinking: Understanding how designers think and work. London, UK: Bloomsbury Publishing.
Design Council (2005). The ‘double diamond’ design process model, vol. 2: Design Council. Available online at: https://www.designcouncil.org.uk/our-resources/the-double-diamond/
Ericsson, K. A., Krampe, R. T., and Tesch-Römer, C. (1993). The role of deliberate practice in the acquisition of expert performance. Psychol. Rev. 100, 363–406. doi: 10.1037/0033-295X.100.3.363
Guo, X., Xiao, Y., Wang, J., and Ji, T., (2023). Rethinking designer agency: a case study of co-creation between designers and AI. ASDR, Milan, Italy.
Hernandez, N. V., Shah, J. J., and Smith, S. M. (2010). Understanding design ideation mechanisms through multilevel aligned empirical studies. Des. Stud. 31, 382–410. doi: 10.1016/j.destud.2010.04.001
Ho, J., Jain, A., and Abbeel, P. (2020). Denoising diffusion probabilistic models. Adv. Neural Inf. Process. Syst. 33, 6840–6851. doi: 10.48550/ARXIV.2006.11239
Huang, L., and Zheng, P. (2023). Human-computer collaborative visual design creation assisted by artificial intelligence. ACM Trans. Asian Low-Resour. Lang. Inf. Process. 22, 1–21. doi: 10.1145/3554735
Kim, J., and Maher, M. L. (2023). The effect of AI-based inspiration on human design ideation. Int. J. Des. Creat. Innov. 11, 81–98. doi: 10.1080/21650349.2023.2167124
Kudrowitz, B. M., and Wallace, D. (2013). Assessing the quality of ideas from prolific, early-stage product ideation. J. Eng. Des. 24, 120–139. doi: 10.1080/09544828.2012.676633
Laing, S., and Masoodian, M. (2016). A study of the influence of visual imagery on graphic design ideation. Des. Stud. 45, 187–209. doi: 10.1016/j.destud.2016.04.002
Lee, K. F. (2018). AI superpowers: China, Silicon Valley, and the new world order. Boston, Massachusetts, USA: Houghton Mifflin Harcourt.
Lin, Y., and Liu, H. (2024). “The impact of artificial intelligence generated content driven graphic design tools on creative thinking of designers” in International conference on human-computer interaction (Cham: Springer Nature Switzerland), 258–272.
Longo, L., Brcic, M., Cabitza, F., Choi, J., Confalonieri, R., Del Ser, J., et al. (2024). Explainable artificial intelligence (XAI) 2.0: a manifesto of open challenges and interdisciplinary research directions. Inf. Fusion 106:102301. doi: 10.1016/j.inffus.2024.102301
Lv, Y. (2023). Artificial intelligence-generated content in intelligent transportation systems: learning to copy, change, and create! [editor’s column]. IEEE Intell. Transp. Syst. Mag. 15, 2–3.9. doi: 10.1109/MITS.2023.3295392
Miller, A. I. (2012). Insights of genius: Imagery and creativity in science and art. Copernicus, New York, NY, USA: Springer Science & Business Media.
Mumford, M. D. (2001). Something old, something new: revisiting Guilford’s conception of creative problem solving. Creat. Res. J. 13, 267–276. doi: 10.1207/S15326934CRJ1334_04
Runco, M. A., and Jaeger, G. J. (2012). The standard definition of creativity. Creat. Res. J. 24, 92–96. doi: 10.1080/10400419.2012.650092
Sarkar, P., and Chakrabarti, A. (2011). Assessing design creativity. Des. Stud. 32, 348–383. doi: 10.1016/j.destud.2011.01.002
Shah, J. J., Smith, S. M., and Vargas-Hernandez, N. (2003). Metrics for measuring ideation effectiveness. Des. Stud. 24, 111–134. doi: 10.1016/S0142-694X(02)00034-0
Simonton, D. K. (2003). Scientific creativity as constrained stochastic behavior: the integration of product, person, and process perspectives. Psychol. Bull. 129, 475–494. doi: 10.1037/0033-2909.129.4.475
Tversky, B., Morrison, J. B., and Betrancourt, M. (2002). Animation: can it facilitate? International journal of human-computer studies 57, 247–262. doi: 10.1006/ijhc.2002.1017
Ullman, D. G., Wood, S., and Craig, D. (1990). The importance of drawing in the mechanical design process. Comput. Graph. 14, 263–274. doi: 10.1016/0097-8493(90)90037-X
Wadinambiarachchi, S., Kelly, R. M., Pareek, S., Zhou, Q., and Velloso, E. (2024). “The effects of generative ai on design fixation and divergent thinking” in Proceedings of the 2024 CHI conference on human factors in computing systems. ACM, New York, NY, USA. 1–18.
Wei, J., Bosma, M., Zhao, V. Y., Guu, K., Yu, A. W., Lester, B., et al. (2021). Finetuned language models are zero-shot learners. arXiv preprint. arXiv:2109.01652.
Wu, Z., Ji, D., Yu, K., Zeng, X., Wu, D., and Shidujaman, M. (2021). AI creativity and the human-AI co-creation model. In international conference on human-computer interaction. Cham: Springer International Publishing, 171–190.
Wu, Z., Tang, R., Wang, G., Li, H., Yang, S., and Shidujaman, M. (2024). The research and design of an AIGC empowered fashion design product. In international conference on human-computer interaction. Cham: Springer Nature Switzerland, 413–429.
Xu, S., Wei, Y., Zheng, P., Zhang, J., and Yu, C. (2024). LLM enabled generative collaborative design in a mixed reality environment. J. Manuf. Syst. 74, 703–715. doi: 10.1016/j.jmsy.2024.04.030
Yilmaz, S., and Seifert, C. M. (2011). Creativity through design heuristics: a case study of expert product design. Des. Stud. 32, 384–415. doi: 10.1016/j.destud.2011.01.003
Keywords: artificial intelligence, generative AI, Human–AI Co-Creative Design Process, Traditional Creative Design Process, design experience, creativity
Citation: Wang N, Kim H, Peng J and Wang J (2025) Exploring creativity in human–AI co-creation: a comparative study across design experience. Front. Comput. Sci. 7:1672735. doi: 10.3389/fcomp.2025.1672735
Edited by:
Athanasios Drigas, National Centre of Scientific Research Demokritos, GreeceReviewed by:
Kazunori Miyata, Japan Advanced Institute of Science and Technology, JapanPaweł Wawrzała, Silesian University of Technology, Poland
Copyright © 2025 Wang, Kim, Peng and Wang. This is an open-access article distributed under the terms of the Creative Commons Attribution License (CC BY). The use, distribution or reproduction in other forums is permitted, provided the original author(s) and the copyright owner(s) are credited and that the original publication in this journal is cited, in accordance with accepted academic practice. No use, distribution or reproduction is permitted which does not comply with these terms.
*Correspondence: Hyunsuk Kim, a3lsZWtpbUBnbWFpbC5jb20=