ORIGINAL RESEARCH article
Front. Comput. Sci.
Sec. Networks and Communications
This article is part of the Research TopicResource Coordination and Joint Optimization in Cloud-Edge-End SystemsView all 6 articles
A Hierarchical Optimization Model for Off-Peak Battery Swapping Scheduling of Electric Trucks in Open-Pit Mines
Provisionally accepted- Hunan University of Science and Engineering, Hunan, China
Select one of your emails
You have multiple emails registered with Frontiers:
Notify me on publication
Please enter your email address:
If you already have an account, please login
You don't have a Frontiers account ? You can register here
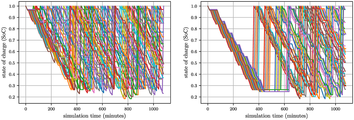
This study addresses the queuing inefficiencies caused by synchronized battery-swapping demands for electric trucks in open-pit mines. Through Discrete Event Simulation (DES), we identified systemic bottlenecks stemming from this synchronization. To mitigate this, we propose a hierarchical off-peak battery-swapping scheduling framework comprising an inner-layer Mixed-Integer Linear Programming (MILP) and an outer-layer Bayesian Optimization (BO) mechanism. Validated through three large-scale case studies, the model achieved 65% and 80% reductions in queuing times for single and dual loading platform scenarios, respectively, with 5.2%-5.7% improvements in transport throughput. Notably, expanding battery-swapping stations to four achieved equivalent efficiency gains (667 trips) as the optimization strategy (665 trips), highlighting the cost-effectiveness of intelligent scheduling over infrastructure scaling. Furthermore, in the third case study, by increasing loading platforms to alleviate con-straints from upstream processes, the optimized model boosts transportation trips by up to 10%, demonstrating its capability to eliminate battery-swapping bottlenecks and fully unlock the potential of energy replenishment workflows.
Keywords: Hierarchical optimization model, Off-peak battery swapping scheduling, Open-pitmines, Electric trucks, discrete event simulation
Received: 21 Oct 2025; Accepted: 17 Nov 2025.
Copyright: © 2025 Mao, Tan, Xie, Zhou, Zeng and Wang. This is an open-access article distributed under the terms of the Creative Commons Attribution License (CC BY). The use, distribution or reproduction in other forums is permitted, provided the original author(s) or licensor are credited and that the original publication in this journal is cited, in accordance with accepted academic practice. No use, distribution or reproduction is permitted which does not comply with these terms.
* Correspondence: Yonghong Tan, tyh2977@huse.edu.cn
Disclaimer: All claims expressed in this article are solely those of the authors and do not necessarily represent those of their affiliated organizations, or those of the publisher, the editors and the reviewers. Any product that may be evaluated in this article or claim that may be made by its manufacturer is not guaranteed or endorsed by the publisher.
