ORIGINAL RESEARCH article
Front. Endocrinol.
Sec. Reproduction
Impact of Late Follicular Luteinizing Hormone Levels on Live Birth Rate After Fresh Embryo Transfer: A Retrospective Cohort Study in GnRH Antagonist Cycles
Provisionally accepted- 1Hôpital de la Conception, Marseille, France
- 2Département de santé publique, AP-HM Aix Marseille Université, Marseille, France., marseille, France
- 3Laboratoire de biochimie, Hôpital de la Timone, Marseille, Provence-Alpes-Côte d'Azur, France
- 4Faculté de Médecine, Aix Marseille Université, Marseille, Provence-Alpes-Côte d'Azur, France
Select one of your emails
You have multiple emails registered with Frontiers:
Notify me on publication
Please enter your email address:
If you already have an account, please login
You don't have a Frontiers account ? You can register here
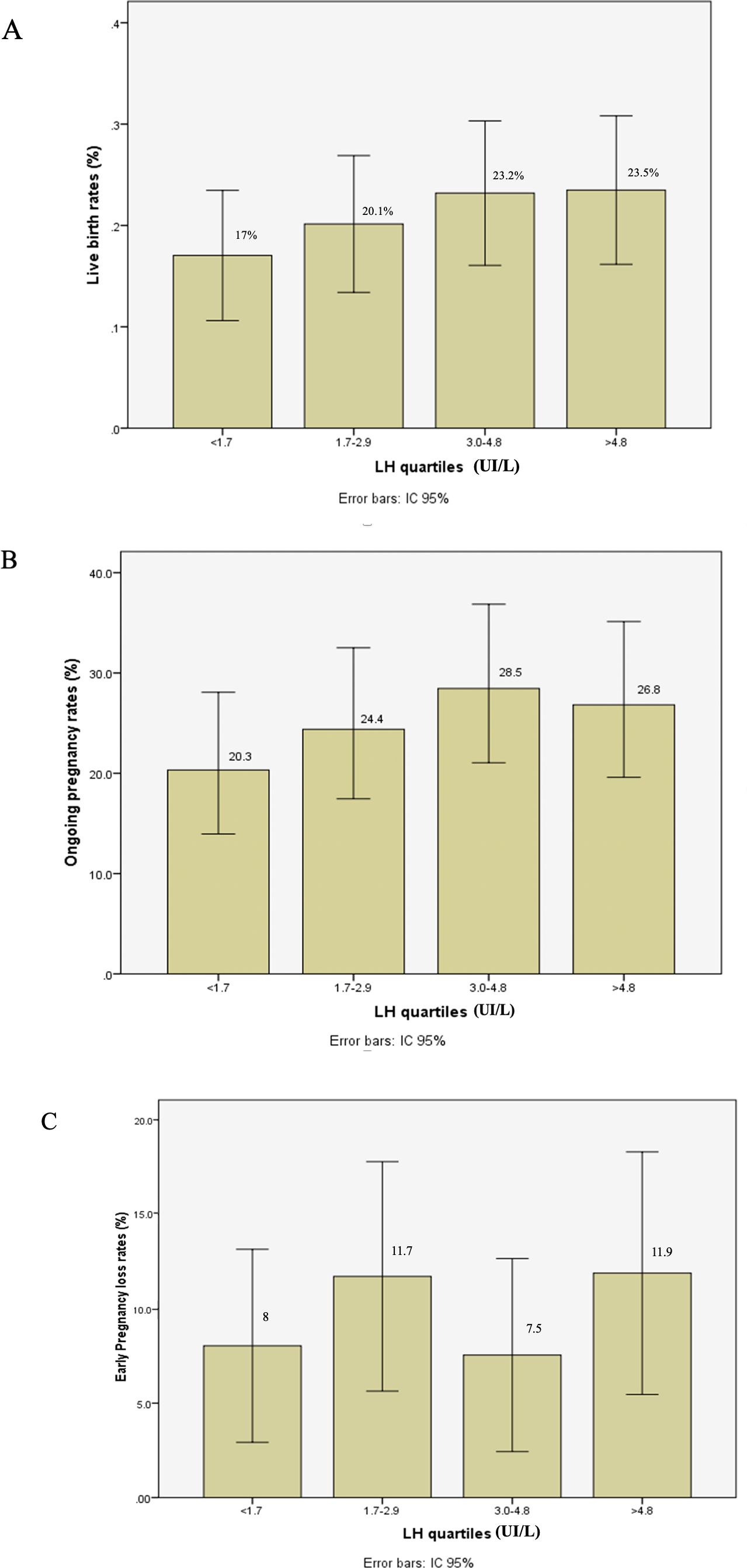
Objective: To investigate the impact of LH levels in the late follicular phase during the GnRH antagonist protocol on embryo implantation and IVF live birth rate (LBR) after fresh embryo transfer (ET). Design: Retrospective cohort study Subjects: Women who underwent controlled ovarian stimulation (COS) with a GnRH antagonist protocol at a Reproductive Medicine Center in a University Teaching Hospital between January 2020 and December 2022. Exposure: Monocentric study involving 544 IVF cycles with the GnRH antagonist protocol. Four groups were stratified based on preovulatory LH levels: Q1: LH < 25th percentile, Q2: LH 25-50th percentile, Q3: LH 50-75th percentile, and Q4: LH > 75th percentile. Main Outcome Measures: The primary outcome was the live birth rate after fresh embryo transfer. Secondary outcomes included embryo implantation, clinical pregnancy, and early pregnancy loss rates. Results: During the late follicular phase, estradiol levels were significantly correlated with preovulatory LH levels (P=0.03). The number of retrieved oocytes, 2PNs (two pronuclei), and usable embryos were similar across the groups. No significant differences were observed between the groups regarding implantation rate, clinical pregnancy rate, early pregnancy loss, and LBR (P > 0.05). Conclusion: In the antagonist protocol, pre-ovulatory LH levels had no impact on embryo implantation or IVF outcomes. A low LH level in the late follicular phase is not an indication for embryo freeze-all.
Keywords: IVF, GnRH antagonist, Embryo Implantation, live birth rate, Luteinizing hormone (LH), Fresh embryo transfer
Received: 21 Apr 2025; Accepted: 27 Oct 2025.
Copyright: © 2025 Jelassi, Zimmermann, Faust, Miquel, Buffat, Perrin and Courbiere. This is an open-access article distributed under the terms of the Creative Commons Attribution License (CC BY). The use, distribution or reproduction in other forums is permitted, provided the original author(s) or licensor are credited and that the original publication in this journal is cited, in accordance with accepted academic practice. No use, distribution or reproduction is permitted which does not comply with these terms.
* Correspondence: Nada Jelassi, jelassinada@hotmail.com
Disclaimer: All claims expressed in this article are solely those of the authors and do not necessarily represent those of their affiliated organizations, or those of the publisher, the editors and the reviewers. Any product that may be evaluated in this article or claim that may be made by its manufacturer is not guaranteed or endorsed by the publisher.
