ORIGINAL RESEARCH article
Front. Endocrinol.
Sec. Bone Research
This article is part of the Research TopicRecent Advances in the Management of Osteoporosis: Prevention, Diagnosis and TreatmentView all 13 articles
Trabecular Bone Score (TBS) in the assessment of bone health in Thalassemia Major
Provisionally accepted- 1Ospedale Vittorio Emenuele, Gela, Italy
- 2AOU Policlinico "G. Rodolico - San Marco", Catania, Italy
- 3Azienda Ospedaliera Universitaria G Martino di Messina, Messina, Italy
- 4Universita degli Studi di Catania, Catania, Italy
- 5University of Catania, Catania, Italy
Select one of your emails
You have multiple emails registered with Frontiers:
Notify me on publication
Please enter your email address:
If you already have an account, please login
You don't have a Frontiers account ? You can register here
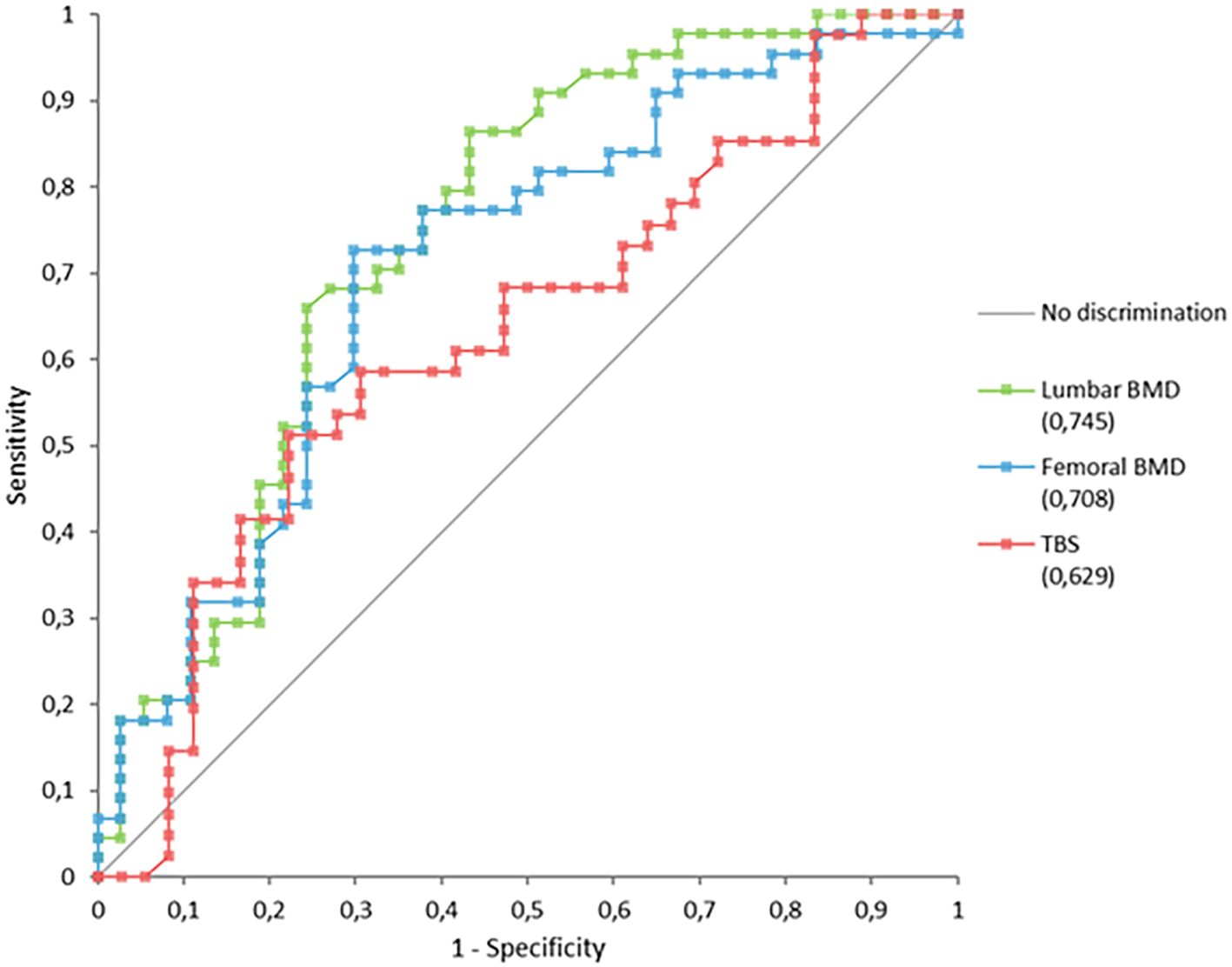
Thalassemia major (TM) has a significant impact on patients’ quality of life. Osteoporosis and osteopenia are common and important complications, yet they are often underestimated. Their etiology is multifactorial, culminating in reduced bone mass, impaired remodeling, and increased fracture risk. The reported prevalence of osteopenia and osteoporosis in TM is highly variable, reaching up to 90%. The trabecular bone score (TBS) is a relatively recent analytical tool that measures lumbar spine texture on dual X-ray absorptiometry (DXA) images. At present, only limited data are available on its use in TM. The aim of this retrospective study was to assess bone health in TM and to evaluate the TBS as a potential diagnostic and prognostic tool. Eighty-eight adult outpatients with TM (mean age: 41.9 ± 8.9 years) were evaluated. Patients underwent laboratory tests, DXA measurements, and thoracic–lumbar spine X-rays (assessed by Genant’s method). Reduced BMD was observed in 96.3% of patients. TBS values were also markedly reduced; however, their performance in discriminating fractures in this cohort appeared to have limited clinical utility. Further investigations are needed to clarify the role of the TBS in predicting fracture risk in TM.
Keywords: TBS, Thalassemia major, Osteoporosis, Bone health, DXA
Received: 25 May 2025; Accepted: 17 Oct 2025.
Copyright: © 2025 Di Noto, Xourafa, Rosso, Bulla, Catalano, Bellone, Zanoli, Buccheri, Castellino and Gaudio. This is an open-access article distributed under the terms of the Creative Commons Attribution License (CC BY). The use, distribution or reproduction in other forums is permitted, provided the original author(s) or licensor are credited and that the original publication in this journal is cited, in accordance with accepted academic practice. No use, distribution or reproduction is permitted which does not comply with these terms.
* Correspondence: Agostino Gaudio, agostino.gaudio@gmail.com
Disclaimer: All claims expressed in this article are solely those of the authors and do not necessarily represent those of their affiliated organizations, or those of the publisher, the editors and the reviewers. Any product that may be evaluated in this article or claim that may be made by its manufacturer is not guaranteed or endorsed by the publisher.
