ORIGINAL RESEARCH article
Front. Endocrinol.
Sec. Clinical Diabetes
This article is part of the Research TopicHighlights in Diabetes NephropathyView all 24 articles
Urinary lipid metabolites and progression of kidney disease in individuals with type 2 diabetes
Provisionally accepted- Second Affiliated Hospital, Nanjing Medical University, Nanjing, China
Select one of your emails
You have multiple emails registered with Frontiers:
Notify me on publication
Please enter your email address:
If you already have an account, please login
You don't have a Frontiers account ? You can register here
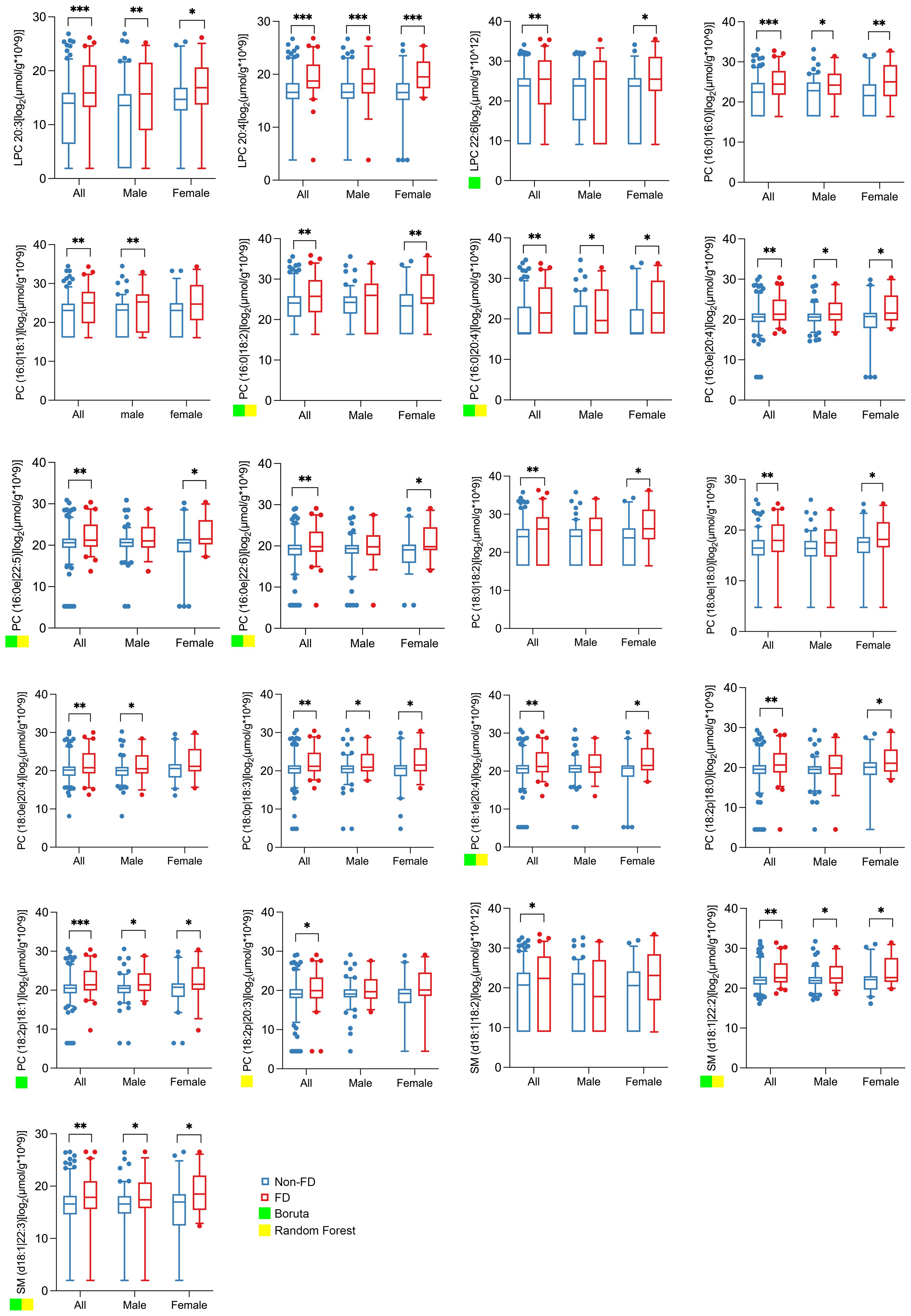
Objective A substantial proportion of individuals with type 2 diabetes (T2D) experience a fast decline (FD) in kidney function, a high-risk phenotype not reliably identified by current clinical markers. This study aimed to evaluate the potential of urinary lipid metabolites as novel predictors for the rapid progression of diabetic kidney disease (DKD). Methods This investigation employed a dual-phase design comprising cross-sectional screening and longitudinal validation. In the initial phase, targeted lipidomic profiling of urine samples from 152 patients with T2D and DKD and 152 age-and sex-matched individuals with uncomplicated diabetes revealed distinct metabolite patterns. The subsequent validation phase utilized an independent cohort of 248 T2D patients, in which rapid kidney function decline was defined as the highest quartile of annual estimated glomerular filtration rate (eGFR) reduction. Feature selection was performed using machine learning algorithms (Random Forest and Boruta) to identify potential biomarkers from the differentially expressed metabolites. The prognostic value of these lipid markers for predicting future renal function decline was assessed against clinical variables using receiver operating characteristic (ROC) analysis. Results Analysis of fasting spot urine specimens quantified 104 lipid metabolites out of 508 targeted species, with all concentrations normalized to urinary creatinine. The comparative analysis identified 21 lipid metabolites that were significantly upregulated in the DKD group. Feature selection algorithms isolated nine (Boruta) and eight (Random Forest) candidate biomarkers from this pool. During a median follow-up period of 33 months (IQR 17-47), 62 participants showing the most rapid eGFR decline were classified as FD group. These individuals exhibited significantly elevated baseline levels of the identified lipid metabolites. The lipid panel demonstrated superior predictive performance for future kidney function decline compared to traditional clinical predictors, including baseline eGFR, hemoglobin A1c, and albuminuria. Conclusions Our findings reveal a strong association between urinary lipid metabolites and DKD progression. Specifically, urinary lipid profiling shows promise as a non-invasive tool to identify T2D patients at high risk for rapid kidney function decline, outperforming the current clinical standard of albuminuria and eGFR.
Keywords: Diabetic kidney disease, Lysophosphatidylcholine, Phosphatidylcholine, Sphingomyelin, fast decline, Targeted lipidomics
Received: 20 Jun 2025; Accepted: 04 Nov 2025.
Copyright: © 2025 Xiao, Caifeng, Qin, He, Wu, Dai and Zhou. This is an open-access article distributed under the terms of the Creative Commons Attribution License (CC BY). The use, distribution or reproduction in other forums is permitted, provided the original author(s) or licensor are credited and that the original publication in this journal is cited, in accordance with accepted academic practice. No use, distribution or reproduction is permitted which does not comply with these terms.
* Correspondence: Yang Zhou, zhouyang@njmu.edu.cn
Disclaimer: All claims expressed in this article are solely those of the authors and do not necessarily represent those of their affiliated organizations, or those of the publisher, the editors and the reviewers. Any product that may be evaluated in this article or claim that may be made by its manufacturer is not guaranteed or endorsed by the publisher.
