ORIGINAL RESEARCH article
Front. Endocrinol.
Sec. Endocrinology of Aging
This article is part of the Research TopicPreventing Cardiovascular Complications of Type 2 Diabetes - Volume IIView all 13 articles
The Association Between Residual Cholesterol to High-Density Lipoprotein Cholesterol Ratio and Type 2 Diabetes Risk in Elderly Populations
Provisionally accepted- 1Department of Endocrinology, Kunshan Hospital Affiliated to Jiangsu University, Kunshan, Jiangsu, 215300, China, The First People’s Hospital of Kunshan, Suzhou,, Jiangsu, China
- 2Kunshan First People's Hospital, Kunshan, China
- 3Department of Critical Care Medicine, Shanghai East Hospital, Tongji University School of Medicine, Tongji University, Shanghai, 200120, China, Tongji University Dongfang Hospital, Shanghai, China
- 4Department of Endocrinology, Kunshan Hospital Affiliated to Jiangsu University, Kunshan, Jiangsu, 215300, China, Kunshan First People's Hospital, Kunshan, China
- 5Department of General Medicine, Kunshan Hospital Affiliated to Jiangsu University, Kunshan, Jiangsu, 215300, China, Kunshan First People's Hospital, Kunshan, China
Select one of your emails
You have multiple emails registered with Frontiers:
Notify me on publication
Please enter your email address:
If you already have an account, please login
You don't have a Frontiers account ? You can register here
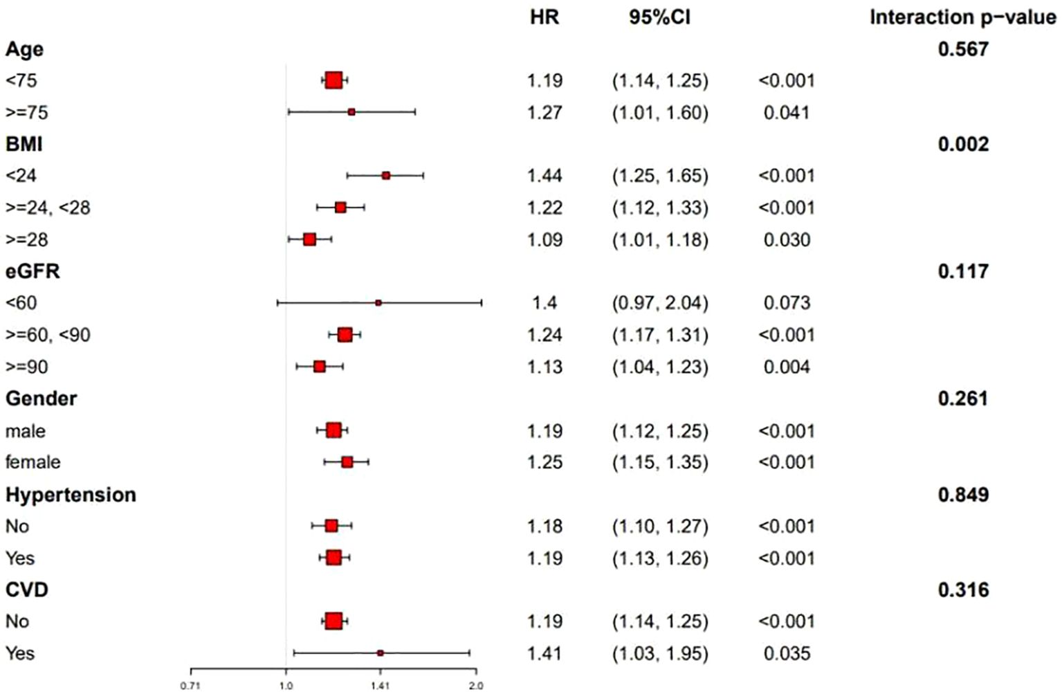
Purpose: The remnant cholesterol to high-density lipoprotein cholesterol ratio (RC/HDL-C) is a novel biomarker of metabolic disturbances. Prior studies have indicated a close association between elevated RC/HDL-C and the occurrence and progression of cardiovascular, cerebrovascular, and metabolic diseases. However, longitudinal data on the relationship between RC/HDL-C and type 2 diabetes (T2D) risk remain limited, particularly among high-risk elderly populations. This study aims to clarify the association between RC/HDL-C and incident T2D in Chinese adults, offering evidence for early prevention and detection of T2D. Patients and Methods: A follow-up study was conducted in Kunshan, China, from January 2018 to July 2021, involving 7655 participants aged 60 years or older. Cox proportional hazards models were used to evaluate the independent effect of the RC/HDL-C level on the risk of T2D. The relationship between RC/HDL-C and T2D risk was visually demonstrated using the Kaplan-Meier method and restricted cubic splines (RCS). Results: During a median follow-up of 3.87 years, 783 participants (10.23%) developed T2D. A fully adjusted Cox proportional hazards model showed a positive and independent association between RC/HDL-C and T2D risk (HR = 1.12, 95% CI: 1.06-1.17, P < 0.001). The highest RC/HDL-C quartile (Q4) had the highest cumulative incidence of T2D (Log-rank test, P < 0.001). Furthermore, RCS analysis revealed a non-linear relationship between RC/HDL-C and T2D risk. Receiver operating characteristic (ROC) curve analysis revealed that the RC/HDL-C ratio exhibited the largest area under the curve (AUC = 0.601, 95% CI: 0.580–0.623), indicating modest but statistically significant predictive ability. Subgroup analysis further validated the robustness of these results. Conclusion: We found that older adults with elevated RC/HDL-C levels have a higher risk of incident T2D. RC/HDL-C is an independent predictor of incident T2D in the elderly and may serve as a valuable adjunct to enhance risk stratification within existing prediction models.
Keywords: RC/HDL-C, T2D, cohort study, elderly population, incident T2D
Received: 21 Jun 2025; Accepted: 29 Oct 2025.
Copyright: © 2025 Zhang, Wang, Wang, Liu, Shao, Pan and Zhong. This is an open-access article distributed under the terms of the Creative Commons Attribution License (CC BY). The use, distribution or reproduction in other forums is permitted, provided the original author(s) or licensor are credited and that the original publication in this journal is cited, in accordance with accepted academic practice. No use, distribution or reproduction is permitted which does not comply with these terms.
* Correspondence:
Ying Pan, py97183@163.com
Shao Zhong, drzhong@163.com
Disclaimer: All claims expressed in this article are solely those of the authors and do not necessarily represent those of their affiliated organizations, or those of the publisher, the editors and the reviewers. Any product that may be evaluated in this article or claim that may be made by its manufacturer is not guaranteed or endorsed by the publisher.
