ORIGINAL RESEARCH article
Front. Endocrinol.
Sec. Clinical Diabetes
This article is part of the Research TopicHighlights in Diabetes NephropathyView all 25 articles
Development and Validation of a Risk Prediction Model for Painful Diabetic Peripheral Neuropathy in Type 2 Diabetes Mellitus: A Multicenter Retrospective Study
Provisionally accepted- 1Beijing University of Chinese Medicine, Beijing, China
- 2China-Japan Friendship Hospital, Beijing, China
- 3The Fourth Affiliated Hospital of Soochow University, Suzhou, China
Select one of your emails
You have multiple emails registered with Frontiers:
Notify me on publication
Please enter your email address:
If you already have an account, please login
You don't have a Frontiers account ? You can register here
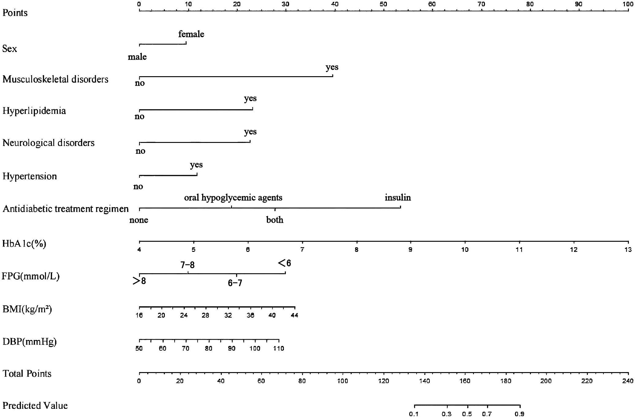
Objective: To construct and validate a clinical model to predict painful diabetic peripheral neuropathy (PDPN) risk in type 2 diabetes mellitus (T2DM) patients for early identification and intervention in primary care. Methods: A total of 1,984 patients with T2DM were included in the analysis. After data preprocessing and application of the Synthetic Minority Oversampling Technique (SMOTE) with a 200% oversampling ratio, feature selection was performed using Least Absolute Shrinkage and Selection Operator (LASSO) regression with 10-fold cross-validation. Six predictive models: multivariable logistic regression (LR), random forest (RF), extreme gradient boosting (XGBoost), Light Gradient Boosting Machine (LightGBM), artificial neural network (ANN), and support vector machine (SVM)—were developed and tuned using repeated 5-fold cross-validation. Model performance was evaluated on the independent test cohort using comprehensive discrimination and calibration metrics. To enhance clinical interpretability, a 2 / 27 nomogram and SHapley Additive exPlanations (SHAP) analysis were implemented to visualize predictor contributions. Results: Ten variables were selected as predictors. Among 1,984 patients, 81 (4.08%) had PDPN. LR model demonstrated the most favorable trade-off for screening purposes, with an area under the receiver operating characteristic curve (AUC-ROC) of 0.894 (95% CI: 0.814–0.964), area under the precision–recall curve (PR-AUC) of 0.470 (95% CI: 0.258–0.665), and balanced accuracy of 0.826 (95% CI: 0.667–0.932). SHAP analysis identified musculoskeletal disorders and HbA1c as the most influential predictors. A user-friendly dynamic web-based nomogram was constructed to support clinical implementation. Conclusion: We established and validated a clinically interpretable model for PDPN risk prediction in patients with T2DM. The dynamic nomogram enables individualized risk estimation and may assist timely intervention in routine practice.
Keywords: machine learning, SHAP analysis, Web-based nomogram, multivariable logistic regression, multicenter retrospective study
Received: 21 Jun 2025; Accepted: 05 Nov 2025.
Copyright: © 2025 李, Fan, Hu, Wang, Zhou, Hu, Liu, Zhang, Mao and Li. This is an open-access article distributed under the terms of the Creative Commons Attribution License (CC BY). The use, distribution or reproduction in other forums is permitted, provided the original author(s) or licensor are credited and that the original publication in this journal is cited, in accordance with accepted academic practice. No use, distribution or reproduction is permitted which does not comply with these terms.
* Correspondence: Yifan Li, liyifan1214@126.com
Disclaimer: All claims expressed in this article are solely those of the authors and do not necessarily represent those of their affiliated organizations, or those of the publisher, the editors and the reviewers. Any product that may be evaluated in this article or claim that may be made by its manufacturer is not guaranteed or endorsed by the publisher.
