ORIGINAL RESEARCH article
Front. Endocrinol.
Sec. Pediatric Endocrinology
This article is part of the Research TopicAdvances in Abnormal Growth and Development: From Mechanisms to TherapeuticsView all articles
Metabolic changes after growth hormone treatment in children with growth hormone deficiency and small for gestational age: LG observational study
Provisionally accepted- Department of pediatrics, Yonsei University College of Medicine,, Seoul, Republic of Korea
Select one of your emails
You have multiple emails registered with Frontiers:
Notify me on publication
Please enter your email address:
If you already have an account, please login
You don't have a Frontiers account ? You can register here
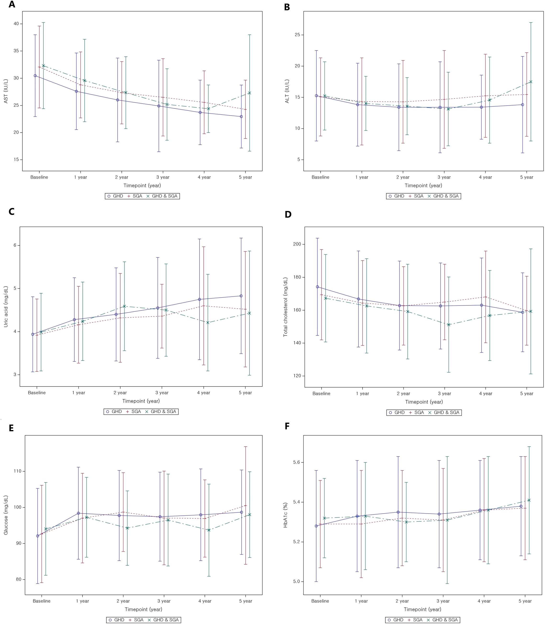
Purpose: Children with growth hormone deficiency (GHD) and small for gestational age (SGA) have major growth and metabolic issues. Growth hormone (GH) treatment promotes linear growth and improves metabolic parameters. However, the long-term metabolic effects of this treatment remain unclear. This study aimed to investigate metabolic changes after GH treatment in children with GHD and SGA. Methods: The study population included 1,788 patients: 1,364 with GHD, 318 with SGA, and 106 with GHD and SGA. Data on growth and metabolic parameters, age, sex, height, weight, body mass index (BMI), and various biochemical markers before and after at least one year of GH treatment were collected from the LG observational study. Results: GH treatment was initiated at 7.3±2.8 years (GHD: 7.4±2.9 years; SGA: 6.6±2.5 years), with an average treatment duration of 3.8±1.3 years. In the GHD and SGA patient groups, the height and weight standard deviation scores (SDS) significantly increased during treatment. BMI SDS significantly decreased in the first year in both groups; the SGA group showed improvement in years 1–5. AST levels significantly decreased over the 5-year treatment period in both groups. ALT levels significantly decreased in all follow-up years in the GHD group and in years 1–3 in the SGA group. In both groups, total cholesterol levels decreased and random glucose levels remained within the normal range, with no significant changes in HbA1c levels. Conclusion: These findings demonstrate a positive effect of GH treatment on growth and metabolic parameters in children with GHD and SGA.
Keywords: glucose metabolism, Growth Hormone, lipid profile, Metabolic health, short staturein children, Linear growth, Retrospective study
Received: 07 Jul 2025; Accepted: 31 Oct 2025.
Copyright: © 2025 Kim, Kim, Cho, Choi, Song, Byoul Lee, Chae and Suh. This is an open-access article distributed under the terms of the Creative Commons Attribution License (CC BY). The use, distribution or reproduction in other forums is permitted, provided the original author(s) or licensor are credited and that the original publication in this journal is cited, in accordance with accepted academic practice. No use, distribution or reproduction is permitted which does not comply with these terms.
* Correspondence: Junghwan Suh, suh30507@yuhs.ac
Disclaimer: All claims expressed in this article are solely those of the authors and do not necessarily represent those of their affiliated organizations, or those of the publisher, the editors and the reviewers. Any product that may be evaluated in this article or claim that may be made by its manufacturer is not guaranteed or endorsed by the publisher.
