ORIGINAL RESEARCH article
Front. Endocrinol.
Sec. Pituitary Endocrinology
PitNET Tissue Deconvolution: Tracing Normal Tissue Residues and Immune Dynamics
Provisionally accepted- 1Universita degli Studi di Padova Dipartimento di Biologia, Padua, Italy
- 2Universita degli Studi di Padova Dipartimento di Medicina, Padua, Italy
- 3Universita degli Studi di Padova Dipartimento di Neuroscienze, Padua, Italy
Select one of your emails
You have multiple emails registered with Frontiers:
Notify me on publication
Please enter your email address:
If you already have an account, please login
You don't have a Frontiers account ? You can register here
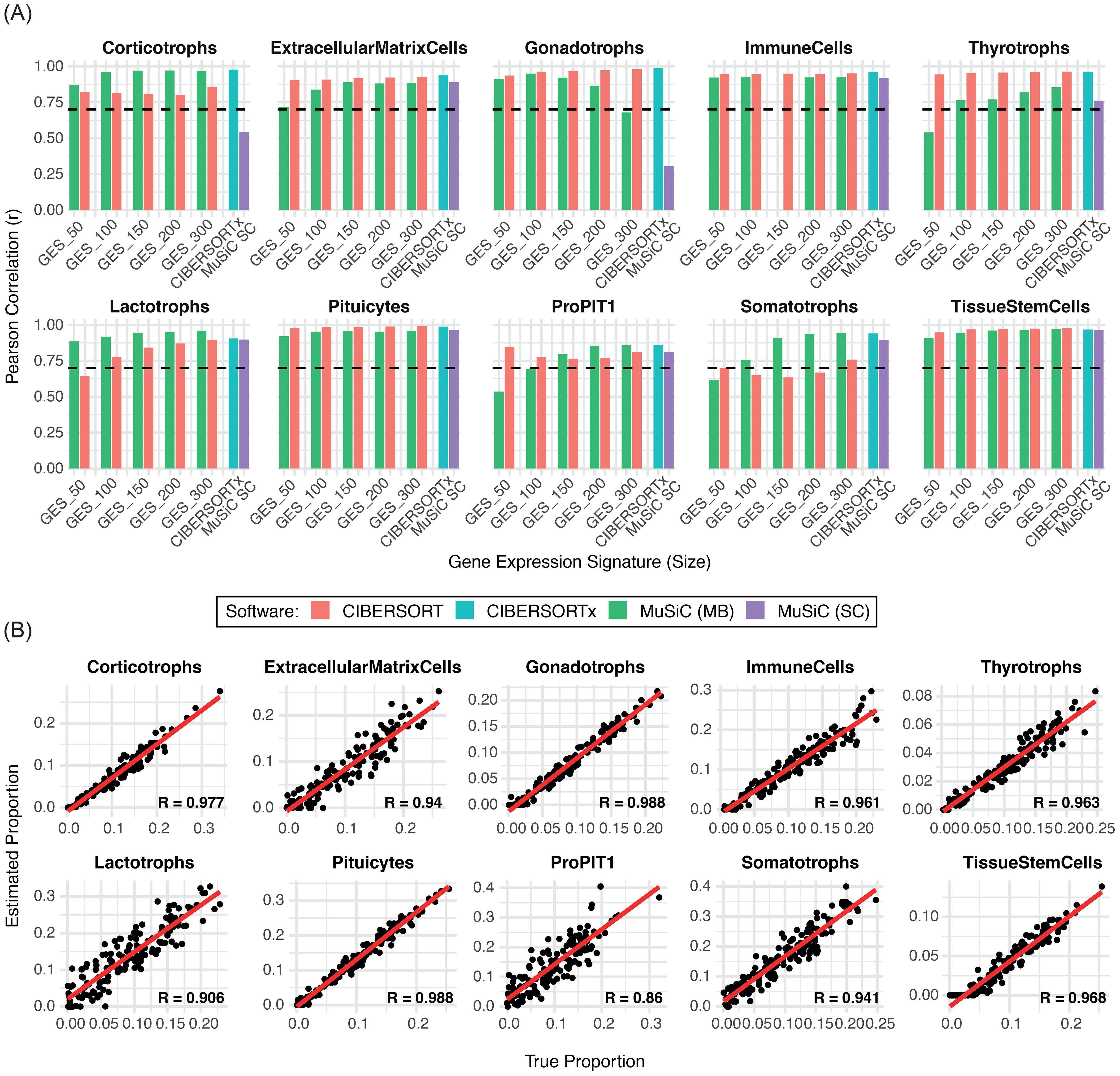
Background: Bulk RNA sequencing (RNA-seq) has substantially advanced the understanding of pituitary neuroendocrine tumors (PitNETs). However, its limited ability to resolve cellular heterogeneity – particularly in samples containing residual non-tumor pituitary cells – remains a significant challenge. Objective: We developed and validated a tissue deconvolution framework using a reference dataset derived from single-nucleus RNA sequencing (snRNA-seq) of normal pituitary tissue, aimed at estimating cellular composition in PitNETs from bulk RNA-seq data and characterizing the tumor microenvironment (TME). Methods: Marker-based (CIBERSORT, MuSiC) and single-cell–based (CIBERSORTx, MuSiC) deconvolution approaches were benchmarked across simulated, pseudobulk, and bulk RNA-seq datasets to identify the most reliable tools. Results: CIBERSORTx demonstrated the highest sensitivity (r > 0.85) for detecting pituitary cell types, although accuracy decreased for TME components. Application to ten GH-secreting PitNETs with known histological contamination and to public datasets consistently revealed residual normal tissue across hormone-secreting subtypes, excluding silent tumors. Contaminated samples – averaging 43% ± 19% with CIBERSORTx and 37% ± 22% with CIBERSORT – displayed distinct transcriptomic profiles compared to uncontaminated, lineage-matched tumors, based on clustering analyses. Conclusion: This study establishes snRNA-seq–based deconvolution as a robust strategy for reconstructing cellular composition in PitNETs, mitigating the impact of histological contamination and improving the reliability of downstream transcriptomic analyses.
Keywords: pituitary neuroendocrine tumors (PitNETs), bulk RNA sequencing (RNA-seq), Single-nucleus RNA sequencing (snRNA-seq), Deconvolution methods, Cellular heterogeneity
Received: 28 Jul 2025; Accepted: 07 Nov 2025.
Copyright: © 2025 Dalle Nogare, Avallone, Picello, Puggina, Denaro, Sales, Vazza and Occhi. This is an open-access article distributed under the terms of the Creative Commons Attribution License (CC BY). The use, distribution or reproduction in other forums is permitted, provided the original author(s) or licensor are credited and that the original publication in this journal is cited, in accordance with accepted academic practice. No use, distribution or reproduction is permitted which does not comply with these terms.
* Correspondence: Gianluca Occhi, gianluca.occhi@unipd.it
Disclaimer: All claims expressed in this article are solely those of the authors and do not necessarily represent those of their affiliated organizations, or those of the publisher, the editors and the reviewers. Any product that may be evaluated in this article or claim that may be made by its manufacturer is not guaranteed or endorsed by the publisher.
