ORIGINAL RESEARCH article
Front. Endocrinol.
Sec. Reproduction
This article is part of the Research TopicAdvances in Medical Imaging and Artificial Intelligence: Diagnosis and TreatmentView all 6 articles
Analysis of Ultrasound Parameters Influencing Endometrial Receptivity and a Pregnancy Outcomes Predictive Model for Patients Undergoing In Vitro Fertilization and Embryo Transfer(IVF-ET): A Prospective Study
Provisionally accepted- 1Xiangtan Central Hospital, Xiangtan, China
- 2The Third Xiangya Hospital of Central South University, Changsha, China
Select one of your emails
You have multiple emails registered with Frontiers:
Notify me on publication
Please enter your email address:
If you already have an account, please login
You don't have a Frontiers account ? You can register here
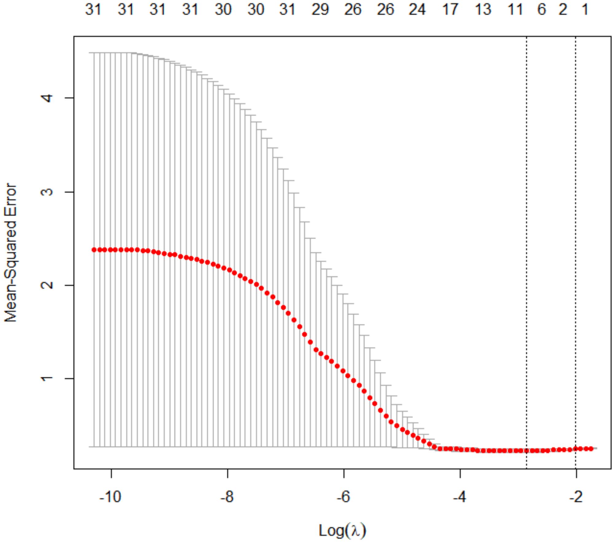
Abstract Purpose: This study aims to assess the impact of ultrasound parameters on endometrial receptivity in patients undergoing in vitro fertilization and embryo transfer (IVF-ET) and to establish a predictive model for ongoing pregnancy outcomes. Methods: A prospective cohort study was performed, enrolling 86 patients treated at the Reproductive Center of Xiangtan Central Hospital from May to December 2024. Participants underwent comprehensive ultrasonographic evaluations, including color Doppler ultrasound, three-dimensional power Doppler angiography (3D-PDA), and endometrial contrast-enhanced ultrasound (CEUS), on the day prior to embryo transfer. Data on endometrial morphology, blood flow characteristics, and parameters derived from 3D-PDA and CEUS were analyzed using lasso regression to construct a predictive model for ongoing pregnancy. Results: Of the 86 patients, 42 (48.8%) achieved ongoing pregnancy, while 44 (51.2%) did not. Significant intergroup differences were noted in the number of mature oocytes (MII oocytes) and endometrial blood flow grading (both P < 0.05). Lasso regression identified eight predictive variables: primary cause of infertility, baseline luteinizing hormone (LH) levels, number of MII oocytes, uterine cavity volume, endometrial blood flow grading, subendometrial flow index (FI) in 3D-PDA, and endometrial and subendometrial peak intensity (PI) in CEUS. These variables were integrated into eight machine learning models, with the Gradient Boosting model exhibiting superior predictive performance (AUC-ROC: 0.980; 95% CI: 0.951–1.000). SHapley Additive exPlanations (SHAP) analysis indicated that a higher number of MII oocytes, improved endometrial blood flow, specific infertility etiologies, elevated baseline LH levels, and reduced subendometrial/endometrial PI, subendometrial FI, and uterine cavity volume were associated with a greater likelihood of pregnancy. Conclusion: The developed predictive model demonstrates robust efficacy in forecasting ongoing pregnancy in IVF-ET patients. Refinement of treatment strategies, including optimization of MII oocyte yield, endometrial blood flow grading, and endometrial/subendometrial PI and FI, may further enhance pregnancy success rates.
Keywords: Ultrasound parameters, Endometrial contrast-enhanced ultrasound, IVF-ET, Ongoing pregnancy, Prediction model
Received: 01 Aug 2025; Accepted: 30 Oct 2025.
Copyright: © 2025 Wang, Lin, Zhao, Liu, Sun, Yang and Zhou. This is an open-access article distributed under the terms of the Creative Commons Attribution License (CC BY). The use, distribution or reproduction in other forums is permitted, provided the original author(s) or licensor are credited and that the original publication in this journal is cited, in accordance with accepted academic practice. No use, distribution or reproduction is permitted which does not comply with these terms.
* Correspondence: Chunlian  Wang, wangchunlian7801@163.com
Disclaimer: All claims expressed in this article are solely those of the authors and do not necessarily represent those of their affiliated organizations, or those of the publisher, the editors and the reviewers. Any product that may be evaluated in this article or claim that may be made by its manufacturer is not guaranteed or endorsed by the publisher.
