ORIGINAL RESEARCH article
Front. Endocrinol.
Sec. Thyroid Endocrinology
Acute Immunometabolic Changes in First-Presentation Graves' Hyperthyroidism Patients Undergoing Strenuous Physical Activity
Provisionally accepted- 1Qingdao University, Qingdao, China
- 2Linyi People's Hospital, Dezhou, China
- 3Binzhou Medical University, Binzhou, China
Select one of your emails
You have multiple emails registered with Frontiers:
Notify me on publication
Please enter your email address:
If you already have an account, please login
You don't have a Frontiers account ? You can register here
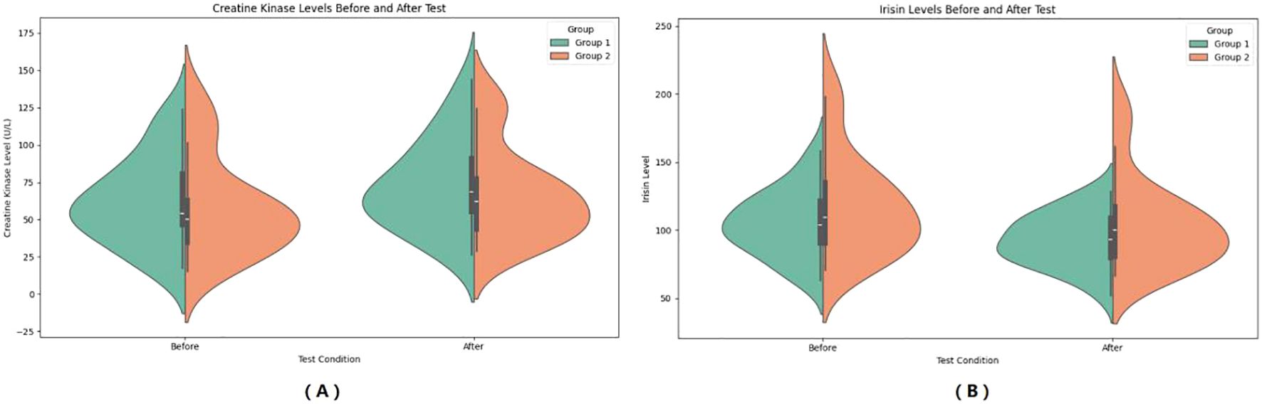
Objective This study systematically evaluated immunometabolic responses to repeated high-intensity intermittent exercise (HIIE, Wingate test) in newly diagnosed female Graves’ hyperthyroidism patients versus healthy controls, and explored associations of thyroid hormones and muscle mass with these responses. Methods Twenty-five patients and 25 matched healthy women completed three HIIE bouts. Blood samples were obtained before and immediately after the third test to assess glucose, lactate, leptin, irisin, creatine kinase (CK), interleukin-6 (IL‑6), interleukin‑15 (IL‑15) and tumor necrosis factor‑α (TNF‑α). Baseline skeletal muscle index (SMI) and thyroid hormone levels were measured. Data were analyzed using repeated‑measures ANOVA, Bayesian ANOVA, and Bayesian network analysis. Results Compared with controls, patients had higher FT3 and FT4, lower TSH (P < 0.001) and reduced SMI (P = 0.005). Peak and mean HIIE power significantly declined across repetitions (P < 0.001); mean power decline showed a significant Time × Group interaction (P < 0.001), indicating greater fatigue in hyperthyroid subjects. Post‑HIIE lactate and glucose rose markedly in both groups (P < 0.001) without inter‑group differences. Leptin increased in both groups (P < 0.001) with Bayesian evidence of distinct group patterns. CK and irisin increased (P < 0.001) without group trend differences. IL‑6 showed significant group differences and post‑exercise elevations (both P < 0.001) with a significant interaction (P = 0.017). IL‑15 and TNF‑α differed in overall levels (P < 0.05) but not in exercise‑induced changes. Bayesian network analysis revealed that in hyperthyroid patients, TSH strongly regulated inflammatory mediators (IL‑6, IL‑15, TNF‑α, leptin), and SMI influenced glucose responses, whereas the control network was simpler. Conclusion Female Graves’ hyperthyroidism patients exhibit distinctive immunometabolic adaptations to HIIE. Despite preserved short-term explosive power, muscle loss may impair endurance during repeated intense efforts. The hyperthyroid state modifies exercise‑induced inflammatory and metabolic dynamics, highlighting the need for individualized exercise strategies considering thyroid‑related physiological complexity.
Keywords: Graves' hyperthyroidism, High-intensity intermittent exercise, Immunometabolic response, muscle mass, Thyroid Hormones
Received: 14 Aug 2025; Accepted: 03 Nov 2025.
Copyright: © 2025 Ren, Liu, Wang, Wang and Wang. This is an open-access article distributed under the terms of the Creative Commons Attribution License (CC BY). The use, distribution or reproduction in other forums is permitted, provided the original author(s) or licensor are credited and that the original publication in this journal is cited, in accordance with accepted academic practice. No use, distribution or reproduction is permitted which does not comply with these terms.
* Correspondence: Yun Wang, thekampo@outlook.com
Disclaimer: All claims expressed in this article are solely those of the authors and do not necessarily represent those of their affiliated organizations, or those of the publisher, the editors and the reviewers. Any product that may be evaluated in this article or claim that may be made by its manufacturer is not guaranteed or endorsed by the publisher.
