ORIGINAL RESEARCH article
Front. Endocrinol.
Sec. Thyroid Endocrinology
This article is part of the Research TopicMolecular Characterization of Thyroid Lesions in the Era of “Next Generation” Techniques: Volume IIIView all 5 articles
Nomogram for predicting lung metastases in patients with papillary thyroid cancer under 55 years old
Provisionally accepted- Hunan Cancer Hospital, Changsha, China
Select one of your emails
You have multiple emails registered with Frontiers:
Notify me on publication
Please enter your email address:
If you already have an account, please login
You don't have a Frontiers account ? You can register here
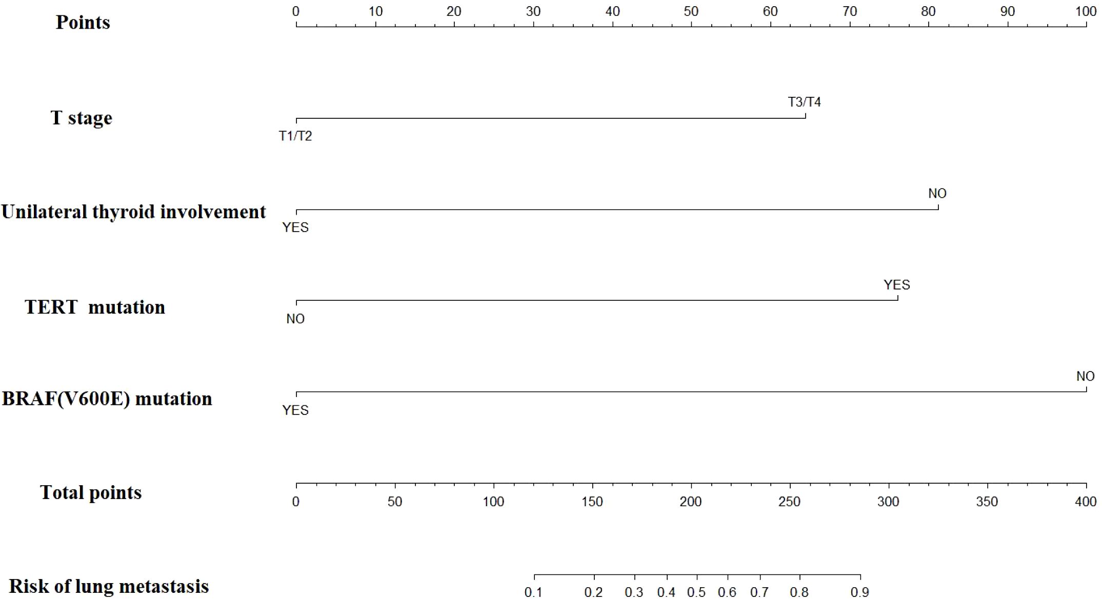
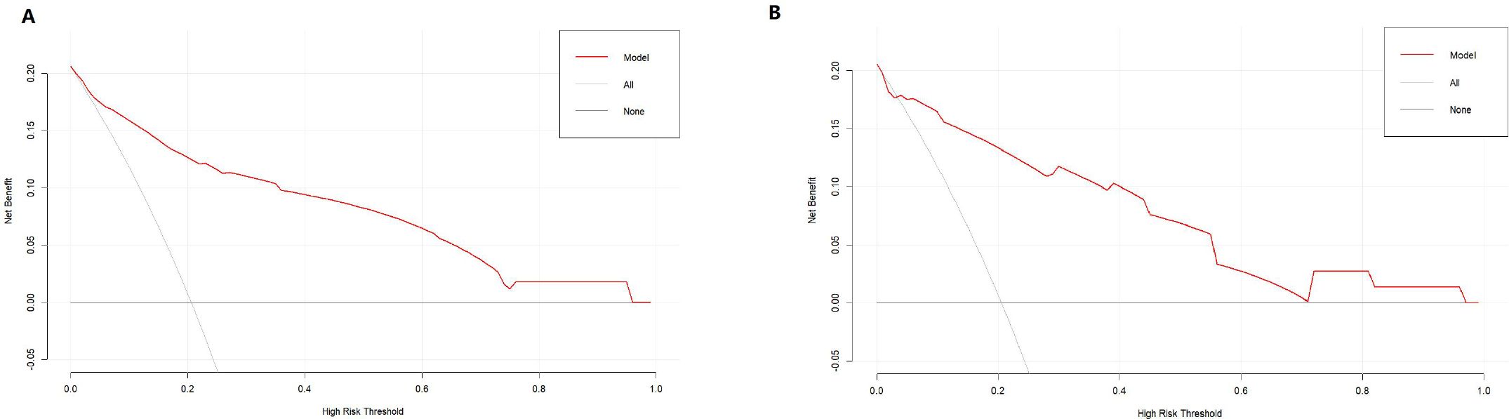
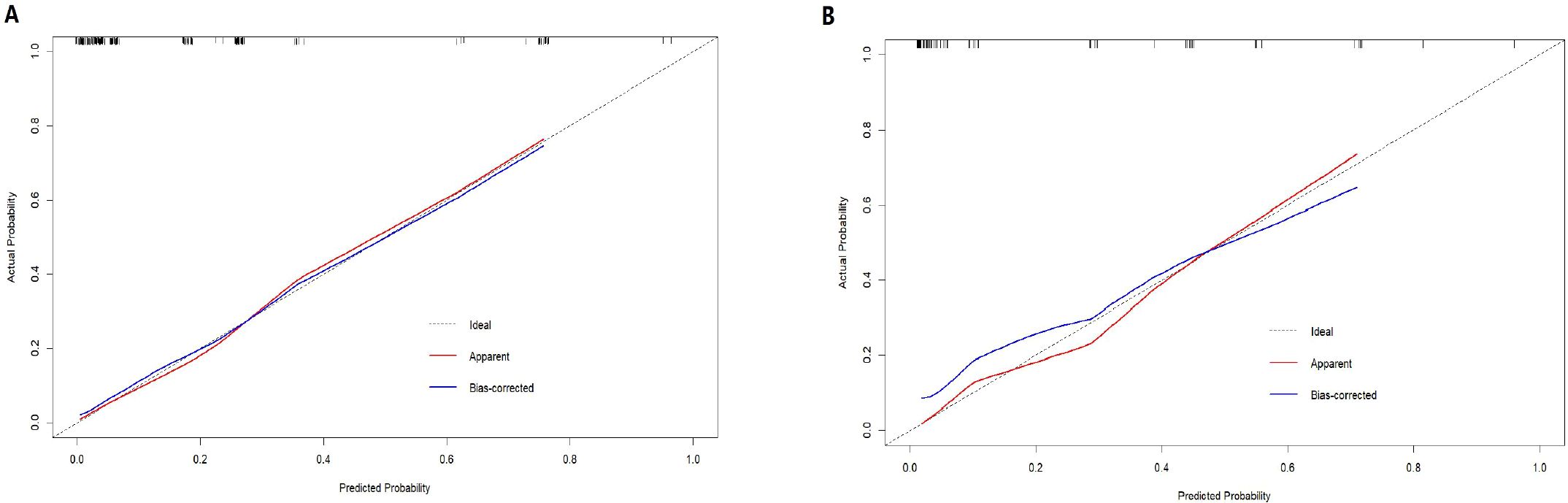
Objective: To develop and validate a nomogram for predicting the risk of lung metastasis in patients under 55 years old with papillary thyroid cancer (PTC). Methods: A total of 243 patients under 55 years old with PTC were retrospectively collected from January 2017 to June 2020 and randomly divided into a training group (n = 170) and a validation group (n = 73) in a 7:3 ratio. Genetic testing data and clinical information were compiled, and univariate and multivariate binary logistic regression analyses were performed. Based on the results, a nomogram predicting the risk of lung metastasis was constructed using the training cohort. The nomogram's performance was assessed using calibration curves, decision curve analysis (DCA), the concordance index (C-index), and the area under the receiver operating characteristic (ROC) curve (AUC) in both the training and validation groups. Results: T stage, unilateral thyroid involvement, TERT mutation, and BRAF mutation were identified as independent prognostic factors and were used to construct the nomogram. The C-index of the model was 0.89 in the training group and 0.88 in the validation group. The AUC, DCA, and calibration curves demonstrated favorable predictive accuracy. Using a cut-off value of 0.229, the nomogram achieved a sensitivity of 0.829 and a specificity of 0.793. Conclusion: A nomogram with strong predictive performance has been successfully developed and validated, which may assist clinicians in estimating the risk of lung metastasis in young patients with PTC.
Keywords: thyroid cancer, Lung metastasis, nomogram, Next-generation sequencing, prognosis
Received: 20 Aug 2025; Accepted: 24 Oct 2025.
Copyright: © 2025 Yang, Qian, Li, Wenjie, Peng, Zou, Zhu and Shi. This is an open-access article distributed under the terms of the Creative Commons Attribution License (CC BY). The use, distribution or reproduction in other forums is permitted, provided the original author(s) or licensor are credited and that the original publication in this journal is cited, in accordance with accepted academic practice. No use, distribution or reproduction is permitted which does not comply with these terms.
* Correspondence: Feng Shi, shifeng@hnca.org.cn
Disclaimer: All claims expressed in this article are solely those of the authors and do not necessarily represent those of their affiliated organizations, or those of the publisher, the editors and the reviewers. Any product that may be evaluated in this article or claim that may be made by its manufacturer is not guaranteed or endorsed by the publisher.
