ORIGINAL RESEARCH article
Front. Endocrinol.
Sec. Cancer Endocrinology
Pre-existing subclinical hypothyroidism and low free thyroxine in patients undergoing immune checkpoint inhibitor therapies is a risk factor for overt hypothyroidism
Provisionally accepted- Beijing Cancer Hospital, Peking University, Beijing, China
Select one of your emails
You have multiple emails registered with Frontiers:
Notify me on publication
Please enter your email address:
If you already have an account, please login
You don't have a Frontiers account ? You can register here
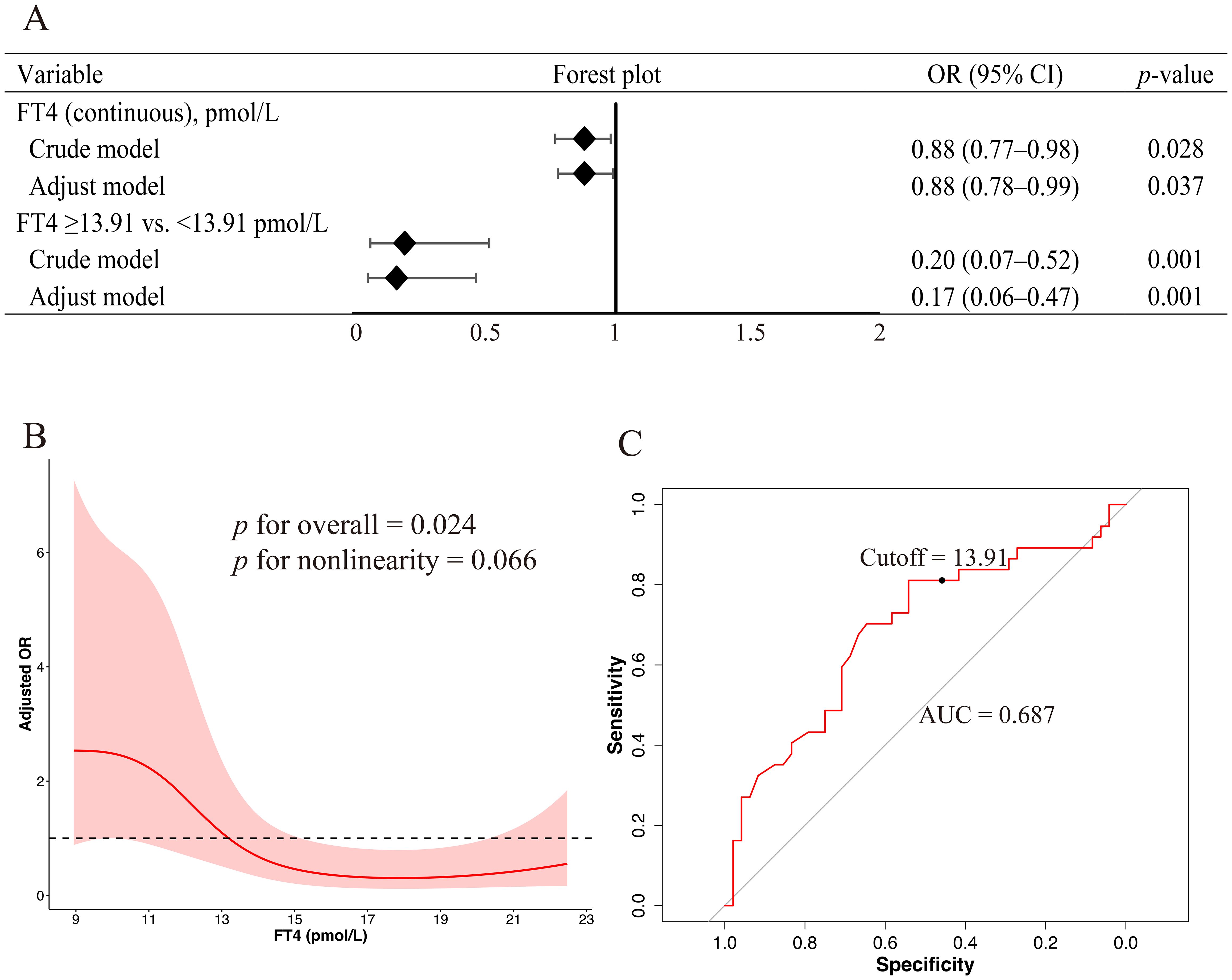
Background: Immune checkpoint inhibitors (ICIs) have transformed cancer therapy. However, these therapies commonly precipitate immune-related adverse events, with thyroid dysfunction being the most frequent manifestation of endocrine toxicity. Whether subclinical abnormal baseline thyroid function (sABTF) predisposes to overt thyroid dysfunction during ICI therapy—and if so, how it influences time-to-onset, phenotype, severity, and clinical decision have not been fully elucidated. Methods: We conducted a retrospective cohort study of 235 patients with cancer who underwent ICI therapy at Peking University Cancer Hospital between January 1, 2018, and September 30, 2024. Patients were stratified by baseline thyroid function status and monitored for ICI-induced overt thyroid dysfunction. Multivariate logistic regression analysis identified the risk factors for overt thyroid dysfunction. To examine baseline free thyroxine (FT4) cutoff, we used restricted cubic splines and receiver operating characteristic (ROC) analysis. Time-to-event was estimated using Kaplan-Meier curves and multivariate Cox models. Results: Among 99 patients with sABTF, 51.52% developed overt thyroid dysfunction during ICI therapy. Baseline FT4 was associated with overt hypothyroidism (adjusted odds ratio [OR], 0.88; 95% confidence interval [CI], 0.78–0.99; p = 0.037). A data-driven FT4 threshold of 13.91 pmol/L showed moderate discrimination (area under the ROC curve, 0.687). Using this threshold, higher FT4 (≥13.91 pmol/L) was associated with substantially lower odds of overt hypothyroidism (adjusted OR, 0.17; 95% CI, 0.06–0.47; p = 0.001), indicating that patients with FT4 <13.91 pmol/L were at This is a provisional file, not the final typeset article markedly elevated risk. Severe subclinical hypothyroidism at baseline (TSH ≥10 mIU/L) was associated with a shorter time to overt hypothyroidism (median 7.78 weeks; adjusted hazard ratio [HR], 2.84; 95% CI, 1.42–5.67; p = 0.003), with the highest risk observed among patients who also had FT4 <13.91 pmol/L (median 6.57 weeks; adjusted HR, 10.05; 95% CI, 3.13–32.23; p < 0.001). Conclusions: Pre-existing thyroid abnormalities, particularly severe subclinical hypothyroidism with concurrent FT4 <13.91 pmol/L, identify a high-risk subgroup prone to an earlier onset of ICI-induced overt hypothyroidism. These data support comprehensive baseline assessments and intensified early monitoring to enable timely detection and management during ICI therapy.
Keywords: immune checkpoint inhibitors, thyroid dysfunction, abnormal baseline thyroidfunction, Hypothyroidism, Immune-related adverse events
Received: 25 Aug 2025; Accepted: 27 Oct 2025.
Copyright: © 2025 Bai, Yin and Liu. This is an open-access article distributed under the terms of the Creative Commons Attribution License (CC BY). The use, distribution or reproduction in other forums is permitted, provided the original author(s) or licensor are credited and that the original publication in this journal is cited, in accordance with accepted academic practice. No use, distribution or reproduction is permitted which does not comply with these terms.
* Correspondence: Yu Bai, yubai_pharm@163.com
Disclaimer: All claims expressed in this article are solely those of the authors and do not necessarily represent those of their affiliated organizations, or those of the publisher, the editors and the reviewers. Any product that may be evaluated in this article or claim that may be made by its manufacturer is not guaranteed or endorsed by the publisher.
