ORIGINAL RESEARCH article
Front. Endocrinol.
Sec. Thyroid Endocrinology
Development and Validation of a Collagen Signature to Predict Central Lymph Node Metastasis in Papillary Thyroid Cancer
Provisionally accepted- Nanfang Hospital, Southern Medical University, Guangzhou, China
Select one of your emails
You have multiple emails registered with Frontiers:
Notify me on publication
Please enter your email address:
If you already have an account, please login
You don't have a Frontiers account ? You can register here
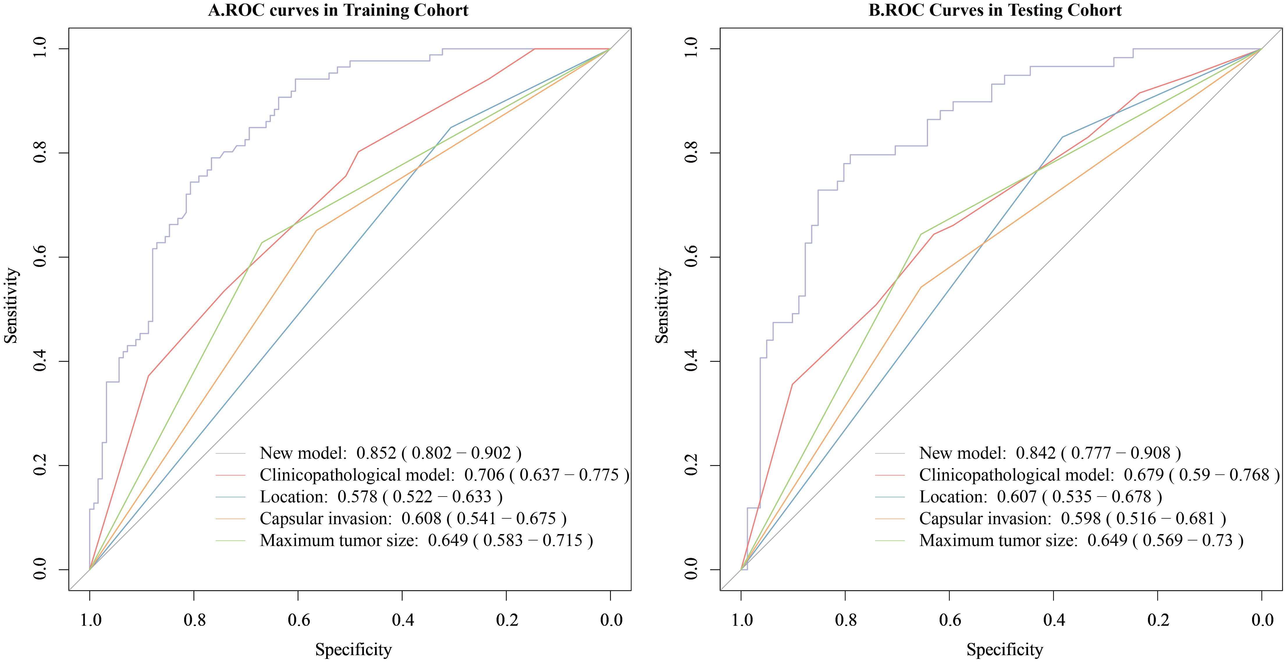
ABSTRACT Background: Current clinicopathological risk factors lack the precision necessary for accurate prediction of central lymph node metastasis (CLNM) in patients with papillary thyroid cancer (PTC). Structural remodeling of the tumor microenvironment (TME), particularly collagen organization, may play a pivotal role in metastatic dissemination. Objective: The objective of this study was to develop a collagen signature within the TME to predict CLNM in PTC and validate that the new model incorporating it into the assessment alongside clinicopathological risk factors would enhance the predictive accuracy. Methods: In this retrospective study, we included 350 patients with classic PTC, all of whom underwent thyroidectomy with prophylactic central lymph node dissection. The cases were randomly assigned to a training cohort and a testing cohort with a 6:4 ratio. A total of 142 collagen features in the TME were extracted from second harmonic generation images of tumor specimens. We constructed a collagen signature using a least absolute shrinkage and selection operator (LASSO) regression model. Multivariate logistic regression was used to integrate the signature with clinicopathological variables and construct a nomogram. Results: The predictive ability of collagen signature was also validated by AUC of 0.821 in training cohort and AUC of 0.793 in testing cohort. The collagen signature remained an independent predictor after adjustment for tumor size, capsular invasion, and tumor location in the multivariate analysis. Furthermore, the integrated model showed superior predictive performance compared to the clinicopathological model alone (0.842 vs. 0.679, p<0.001). Decision curve analysis confirmed higher net clinical benefit across a wide range of thresholds. Conclusions: The collagen signature within the TME represents a promising new biomarker that can effectively predict CLNM in PTC patients, potentially improving clinical decision-making and patient management.
Keywords: Collagen signature, Tumor Microenvironment, Papillary thyroid cancer, predictive model, lymph node metastasis
Received: 27 Aug 2025; Accepted: 13 Nov 2025.
Copyright: © 2025 Chen, Ge, Luo, Dong, Jiang, Wu, Ye, Zhang, He, Yan and Lei. This is an open-access article distributed under the terms of the Creative Commons Attribution License (CC BY). The use, distribution or reproduction in other forums is permitted, provided the original author(s) or licensor are credited and that the original publication in this journal is cited, in accordance with accepted academic practice. No use, distribution or reproduction is permitted which does not comply with these terms.
* Correspondence:
Jun Yan, yanjunfudan@163.com
Shangtong Lei, leisht781920@163.com
Disclaimer: All claims expressed in this article are solely those of the authors and do not necessarily represent those of their affiliated organizations, or those of the publisher, the editors and the reviewers. Any product that may be evaluated in this article or claim that may be made by its manufacturer is not guaranteed or endorsed by the publisher.
