ORIGINAL RESEARCH article
Front. Endocrinol.
Sec. Cardiovascular Endocrinology
Co-occurrence patterns and related risk factors of ischaemic heart disease and type 2 diabetes in burden of disability-adjusted life years among people aged 55 years and older across 203 countries and territories
Provisionally accepted- 1University of Science and Technology of China, Hefei, China
- 2Shanghai Jiao Tong University, Shanghai, China
Select one of your emails
You have multiple emails registered with Frontiers:
Notify me on publication
Please enter your email address:
If you already have an account, please login
You don't have a Frontiers account ? You can register here
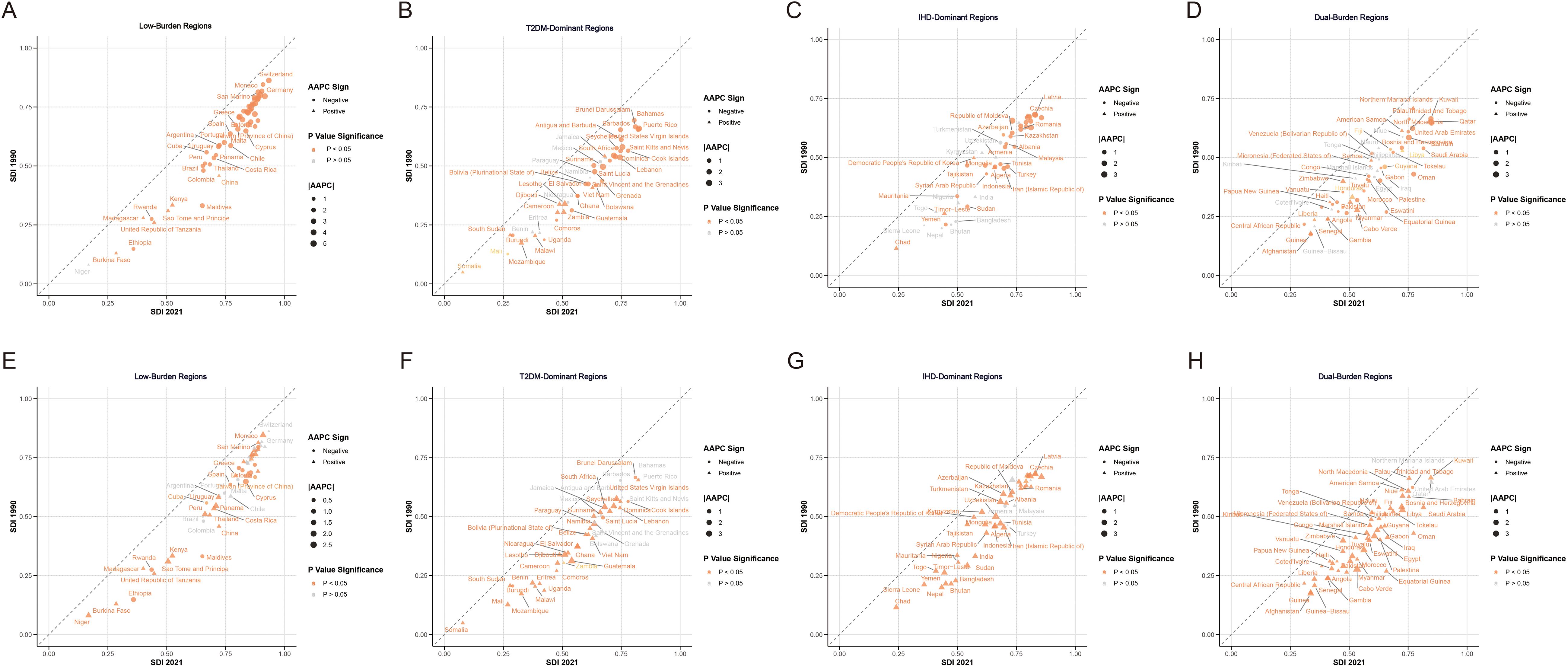
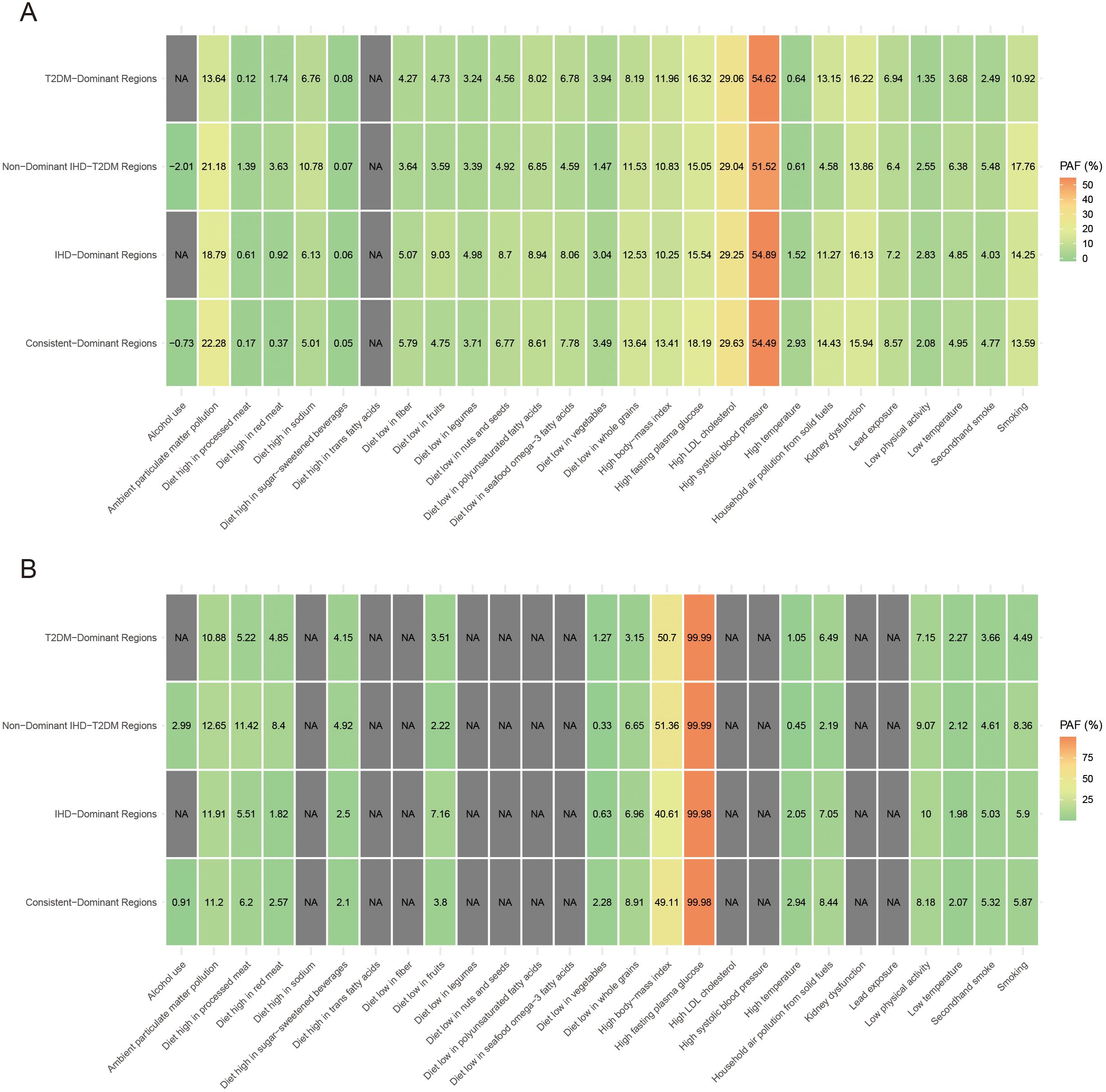
Background: Ischemic heart disease (IHD) and type 2 diabetes mellitus (T2DM) are leading causes of disability-adjusted life years globally among adults aged 55 years and older. Although both diseases share common risk factors and pathophysiological pathways, previous research has predominantly addressed these conditions in isolation. The co-occurrence patterns and regional variations of IHD and T2DM burden remain poorly understood. We aimed to characterize the global co-occurrence patterns of IHD and T2DM from a spatial perspective and to identify the corresponding risk factors distinguishing different burden regions. Methods: Using data from the Global Burden of Diseases, Injuries, and Risk Factors Study (GBD) 2021 database, we extracted age-standardized disability-adjusted life year (DALY) rates for IHD and T2DM among individuals aged 55 years and older from 204 countries and territories. Based on quartile distributions of global DALY rates for both diseases, we classified countries into four distinct burden regions: Low-Burden Regions (56 countries), T2DM-Dominant Regions (46 countries), IHD-Dominant Regions (46 countries), and Dual-Burden Regions (56 countries). We examined temporal trends from 1990-2021, computed population attributable fractions for major risk factors, and used machine learning-based SHAP (Shapley Additive Explanations) analysis to screen and quantify the effects of corresponding risk factors distinguishing regional classifications. Results: Dual-Burden Regions were distributed across multiple geographic areas including the Caribbean and Central America, Persian Gulf states, Balkan Peninsula, Southeast Asia, West Africa, Eastern Mediterranean, and Northern Europe. The spatial distribution revealed distinct geographic clustering, with higher IHD rates in Eastern Europe and Central Asia, and elevated T2DM rates in Pacific Island nations and parts of the Middle East. Countries and territories with the highest burden for both diseases included North African countries (eg, Morocco: IHD 25,193.1/100,000 and T2DM 32,197.24/100,000) and Pacific Island nations such as Fiji exhibiting IHD burden of 24,758.17 per 100,000 and T2DM burden of 32,197.24 per 100,000. Marshall Islands showed IHD burden of 25,107.72/100,000 and T2DM burden of 22,122.46/100,000, while Nauru demonstrated the highest IHD burden (39,483.92/100,000). High systolic blood
Keywords: Ischemic Heart Disease, type 2 diabetes mellitus, Co-occurrence patterns, Risk factors, People aged 55 years and older, global
Received: 26 Aug 2025; Accepted: 03 Nov 2025.
Copyright: © 2025 Hu, Qiu, Sun, Wang, Meng, Gu and Ma. This is an open-access article distributed under the terms of the Creative Commons Attribution License (CC BY). The use, distribution or reproduction in other forums is permitted, provided the original author(s) or licensor are credited and that the original publication in this journal is cited, in accordance with accepted academic practice. No use, distribution or reproduction is permitted which does not comply with these terms.
* Correspondence: Likun Ma, lkma2024@163.com
Disclaimer: All claims expressed in this article are solely those of the authors and do not necessarily represent those of their affiliated organizations, or those of the publisher, the editors and the reviewers. Any product that may be evaluated in this article or claim that may be made by its manufacturer is not guaranteed or endorsed by the publisher.
