ORIGINAL RESEARCH article
Front. Endocrinol.
Sec. Endocrinology of Aging
Cardiometabolic Multimorbidity in Relation to the Metabolic Score for Insulin Resistance and Creatinine-to-Cystatin C Ratio in a Middle-aged and Aged Population
Provisionally accepted- The Second Affiliated Hospital of Chongqing Medical University, Chongqing, China
Select one of your emails
You have multiple emails registered with Frontiers:
Notify me on publication
Please enter your email address:
If you already have an account, please login
You don't have a Frontiers account ? You can register here
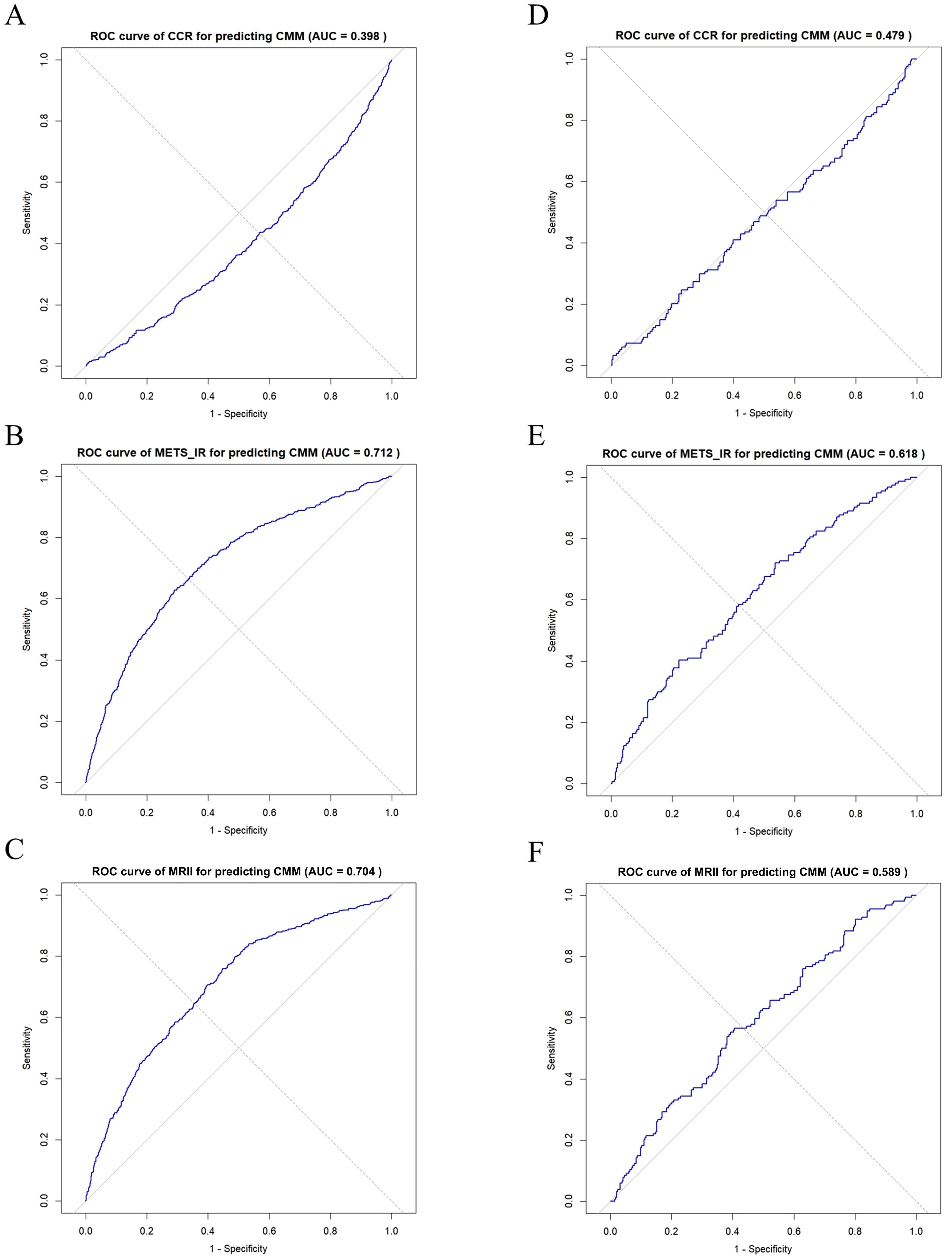
Objective With the aging population, cardiometabolic multimorbidity (CMM) has become a major public health concern, increasing disease burden and impairing quality of life. The metabolic score for insulin resistance (METS-IR) and creatinine-to-cystatin-c (CCR) are promising biomarkers linked to metabolic dysfunction and muscle-renal status, respectively. However, their combined effects on cardiometabolic multimorbidity (CMM), especially in both community and hospitalized populations, remain unclear. This study aims to explore the associations of METS-IR, CCR, and 1/CCR×METS-IR (MRII) with CMM using data from the China Health and Retirement Longitudinal Study (CHARLS) and clinical sources. Research Design and Methods This cross-sectional study included 10,811 participants from the 2014–2015 CHARLS follow-up and 437 elderly inpatients from the Second Affiliated Hospital of Chongqing Medical University. CMM was defined as the coexistence of two or more of heart disease, diabetes, and stroke. METS-IR and CCR were calculated using standard formulas. Logistic regression analyses with multi-model adjustment, restricted cubic spline (RCS) curves, receiver operating characteristic (ROC) curves, and subgroup analyses were performed to assess associations, nonlinear relationships, predictive value, and effect modification. Results In both datasets, participants with CMM had higher METS-IR, older age, and higher prevalence of metabolic risk factors. METS-IR was independently and dose-dependently associated with increased CMM risk. CCR showed context-dependent associations, with inverse links in partially adjusted CHARLS models but no significance in clinical data. The "Low CCR and High METS-IR" combination and highest quartile of MRII were consistently linked to elevated CMM risk. METS-IR had moderate predictive value (AUC = 0.712 in CHARLS, 0.618 in clinical data), outperforming CCR. RCS curves revealed linear associations for METS-IR and U-shaped patterns for CCR in CHARLS. Subgroup analyses showed heterogeneity by age, comorbidities, and hypertension. Conclusion METS-IR is a robust independent predictor of CMM in both community and hospitalized populations, while CCR's role is context-dependent. The MRII enhances CMM risk stratification, highlighting the value of concurrent assessment of metabolic and muscle-renal status for CMM prevention and personalized risk management.
Keywords: cardiometabolic multimorbidity, METS-IR, CCR, MRII, CHARLS (ChinaHealth and Retirement Longitudinal Study)
Received: 02 Sep 2025; Accepted: 10 Nov 2025.
Copyright: © 2025 Wang, Zhang and Ma. This is an open-access article distributed under the terms of the Creative Commons Attribution License (CC BY). The use, distribution or reproduction in other forums is permitted, provided the original author(s) or licensor are credited and that the original publication in this journal is cited, in accordance with accepted academic practice. No use, distribution or reproduction is permitted which does not comply with these terms.
* Correspondence: Li Wang, li_wang2010@yeah.net
Disclaimer: All claims expressed in this article are solely those of the authors and do not necessarily represent those of their affiliated organizations, or those of the publisher, the editors and the reviewers. Any product that may be evaluated in this article or claim that may be made by its manufacturer is not guaranteed or endorsed by the publisher.
